Skip to main content

DEEL 1 - Algemene voorschriften
Hoofdstuk 1    
1.1   Toepassingsgebied en toepasbaarheid
1.1.1   Structuur
1.1.2 Toepassingsgebied
1.1.3 Vrijstellingen
1.1.3.1 Vrijstellingen die samenhangen met de aard van het vervoersproces
1.1.3.2 Vrijstellingen in samenhang met het vervoer van gassen
1.1.3.3 Vrijstellingen in samenhang met het vervoer van vloeibare brandstoffen
1.1.3.4 Vrijstellingen in samenhang met bijzondere bepalingen of met gevaarlijke goederen, verpakt in gelimiteerde of vrijgestelde hoeveelheden
1.1.3.5 Vrijstellingen in samenhang met ongereinigde lege verpakkingen
1.1.3.6 Vrijstellingen in samenhang met de vervoerde hoeveelheden per transporteenheid
1.1.3.7 Vrijstellingen in samenhang met het vervoer van inrichtingen voor de opslag en productie van elektriciteit
1.1.3.8 Gereserveerd
1.1.3.9 Vrijstellingen in samenhang met gevaarlijke goederen die tijdens vervoer als koel- of conditioneringsmiddel worden gebruikt
1.1.3.10 Vrijstellingen in samenhang met het vervoer van lampen die gevaarlijke goederen bevatten
1.1.4 Toepasbaarheid van andere voorschriften
1.1.4.1 Gereserveerd
1.1.4.2 Vervoer in een transportketen die vervoer over zee of door de lucht omvat
1.1.4.3 Gebruik van transporttanks van het IMO-type, toegelaten voor het zeevervoer
1.1.4.4 Gereserveerd
1.1.4.5 Vervoer dat niet over de weg plaatsvindt
1.1.4.7 Hervulbare drukhouders toegelaten door de Verenigde Staten
1.1.5 Toepassing van normen
     
Hoofdstuk 2    
1.2 Definities, meeteenheden en afkortingen
1.2.1 Definities
1.2.2 Meeteenheden
     
Hoofdstuk 3    
1.3 Opleiding van personen die betrokken zijn bij het vervoer van gevaarlijke goederen Toepassingsgebied
1.3.1 Aard van de opleiding
1.3.2.1 Algemene bewustmaking
1.3.2.2 Functiespecifieke opleiding
1.3.2.3 Veiligheidsopleiding
1.3.3 Documentatie
     
Hoofdstuk 4    
1.4 Veiligheidsplichten van de betrokkenen
1.4.1 Algemene zorg voor de veiligheid
1.4.2 Plichten van de belangrijkste betrokkenen
1.4.2.1 Afzender
1.4.2.2 Vervoerder
1.4.2.3 Geadresseerde
1.4.3 Plichten van andere betrokkenen
1.4.3.1 Belader
1.4.3.2 Verpakker
1.4.3.3 Vuller
1.4.3.4 Exploitant van een tankcontainer of transporttank
1.4.3.5 Gereserveerd
1.4.3.6 Gereserveerd
1.4.3.7 Losser
     
Hoofdstuk 5    
1.5 Afwijkingen
1.5.1 Tijdelijke afwijkingen
1.5.2 Gereserveerd
     
Hoofdstuk 6    
1.6   Overgangsvoorschriften
1.6.1   Algemeen
1.6.2   Drukhouders en houders voor klasse 2
1.6.3 Vaste tanks (tankwagens), afneembare tanks en batterijwagens
1.6.4 Tankcontainers, transporttanks en MEGC’s
1.6.5 Voertuigen
1.6.6 Klasse 7
     
Hoofdstuk 7    
1.7 Algemene bepalingen voor radioactieve stoffen
1.7.1   Toepassingsgebied
1.7.1.5   Bijzondere voorschriften voor het vervoer van vrijgestelde colli
1.7.2   Stralingsbeschermingsprogramma
1.7.3   Beheersysteem
1.7.4   Speciale regeling
1.7.5   Radioactieve stoffen die bijkomende gevaarseigenschappen bezitten
1.7.6   Niet-naleving
     
Hoofdstuk 8    
1.8 Controlemaatregelen en andere maatregelen voor de ondersteuning van de naleving van de veiligheidsvoorschriften
1.8.1   Controles van gevaarlijke goederen van overheidswege
1.8.2   Ambtelijke hulp
1.8.3   Veiligheidsadviseur
1.8.3.12   Examens
1.8.3.16   Geldigheidsduur en verlenging van het certificaat
1.8.3.18   Model van het certificaat
1.8.3.19   Uitbreiding van het certificaat
1.8.4   Lijst van de bevoegde autoriteiten en de door hen aangewezen instanties
1.8.5   Meldingen van gebeurtenissen met gevaarlijke goederen
1.8.5.4   Model voor een rapport over gebeurtenissen tijdens het vervoer van gevaarlijke goederen
1.8.6   Administratieve controles voor de toepassing van conformiteitsbeoordelingen, periodieke onderzoeken, tussentijdse onderzoeken en buitengewone controles omschreven in 1.8.7
1.8.6.1   Erkenning van onderzoeksinstanties
1.8.6.2   Verplichtingen voor de werkwijze van de bevoegde autoriteit, haar gemachtigde of onderzoeksinstantie
1.8.6.3   Verplichting tot het verstrekken van informatie
1.8.6.4   Delegatie van onderzoekstaken
1.8.6.5   Verplichting tot het verstrekken van informatie door de onderzoeksinstanties
1.8.7   Procedures voor conformiteitsbeoordeling en periodiek onderzoek
1.8.7.1   Algemene bepalingen
1.8.7.2   Typegoedkeuring
1.8.7.3   Toezicht op de fabricage
1.8.7.4   Eerste onderzoek en beproevingen
1.8.7.5   Periodiek onderzoek, tussentijds onderzoek en buitengewone controles
1.8.7.6   Toezicht op de interne inspectiedienst van de aanvrager
1.8.7.7   Documenten
1.8.7.8   Producten vervaardigd, goedgekeurd, onderzocht en beproefd volgens normen
1.8.8   Procedures voor de conformiteitsbeoordeling van gaspatronen
1.8.8.1   Algemene bepalingen
1.8.8.2   Onderzoek van het ontwerptype
1.8.8.3   Toezicht op de fabricage
1.8.8.4   Dichtheidsproef
1.8.8.5   (Gereserveerd)
1.8.8.6   Toezicht op de interne inspectiedienst
1.8.8.7   Documenten
     
Hoofdstuk 9    
1.9 Beperkingen in het vervoer door de bevoegde autoriteiten
1.9.5   Beperkingen in tunnels
1.9.5.1   Algemene bepalingen
1.9.5.2   Vaststelling van de categorieën
1.9.5.3   Bepalingen voor verkeersborden en kennisgeving van beperkingen
     
Hoofdstuk 10    
1.10   Voorschriften voor de beveiliging
1.10.1   Algemene voorschriften
1.10.2   Opleiding met het oog op de beveiliging
1.10.3   Voorschriften voor gevaarlijke goederen met een hoog gevarenpotentieel
1.10.3.1   Definitie van gevaarlijke goederen met een hoog gevarenpotentieel
1.10.3.2   Beveiligingsplannen
DEEL 2 - Classificatie
Hoofdstuk 1    
2.1 Algemene voorschriften
2.1.1 Inleiding
2.1.2   Principes van de classificatie
2.1.3   Classificatie van niet met name genoemde stoffen met inbegrip van oplossingen en mengsels (zoals preparaten, formuleringen en afvalstoffen)
2.1.4   Classificatie van monsters
2.1.5   Classificatie van voorwerpen als voorwerpen die gevaarlijke stoffen bevatten, n.e.g.
2.1.6   Classificatie van afgedankte verpakkingen, leeg, ongereinigd
     
Hoofdstuk 2    
2.2   Bijzondere voorschriften voor de afzonderlijke klassen
2.2.1   Klasse 1 Ontplofbare stoffen en voorwerpen
2.2.1.1   Criteria
2.2.1.1.6   Definitie van de compatibiliteitsgroepen van de stoffen en voorwerpen
2.2.1.1.7   Indeling van vuurwerk in de subklassen
2.2.1.1.7.5   Defaulttabel voor de classificatie van vuurwerk
2.2.1.1.8   Uitzondering van klasse 1
2.2.1.2   Niet ten vervoer toegelaten stoffen en voorwerpen
2.2.1.3   Lijst van verzamelaanduidingen
2.2.1.4   Glossarium van de benamingen
     
2.2.2   Klasse 2 Gassen
2.2.2.1   Criteria
2.2.2.1.7   Chemische stoffen onder druk
2.2.2.2   Niet ten vervoer toegelaten gassen
2.2.2.3   Lijst van verzamelaanduidingen
     
2.2.3   Klasse 3 Brandbare vloeistoffen
2.2.3.1   Criteria
2.2.3.2   Niet ten vervoer toegelaten stoffen
2.2.3.3   Lijst van verzamelaanduidingen
     
2.2.41   Klasse 4.1: Brandbare vaste stoffen, polymeriserende stoffen, zelfontledende stoffen en vaste ontplofbare stoffen in niet explosieve toestand
2.2.41.1   Criteria
2.2.41.2   Niet ten vervoer toegelaten stoffen
2.2.41.3   Lijst van verzamelaanduidingen
2.2.41.4   Lijst van reeds ingedeelde zelfontledende stoffen in verpakkingen
     
2.2.42   Klasse 4.2: Voor zelfontbranding vatbare stoffen
2.2.42.1   Criteria
2.2.42.2   Niet ten vervoer toegelaten stoffen
2.2.42.3   Lijst van verzamelaanduidingen
     
2.2.43   Klasse 4.3: Stoffen die in contact met water brandbare gassen ontwikkelen
2.2.43.1   Criteria
2.2.43.2   Niet ten vervoer toegelaten stoffen
2.2.43.3   Lijst van verzamelaanduidingen
     
2.2.51   Klasse 5.1 Oxiderende stoffen
2.2.51.1   Criteria
2.2.51.2   Niet ten vervoer toegelaten stoffen
2.2.51.3   Lijst van verzamelaanduidingen
     
2.2.52   Klasse 5.2: Organische peroxiden
2.2.52.1   Criteria
2.2.52.2   Niet ten vervoer toegelaten stoffen
2.2.52.3   Lijst van verzamelaanduidingen
2.2.52.4   Lijst van reeds ingedeelde organische peroxiden in verpakkingen
     
2.2.61   Klasse 6.1 Giftige stoffen
2.2.61.1   Criteria
2.2.61.2   Niet ten vervoer toegelaten stoffen
2.2.61.3   Lijst van verzamelaanduidingen
     
2.2.62   Klasse 6.2 Infectueuze stoffen (besmettelijke stoffen)
2.2.62.1   Criteria
2.2.62.1.9   Biologische producten
2.2.62.1.10   Genetisch gemodificeerde micro-organismen en organismen
2.2.62.1.11   Ziekenhuis- of medisch afval
2.2.62.1.12   Besmette dieren
2.2.62.2   Niet ten vervoer toegelaten stoffen
2.2.62.3   Lijst van verzamelaanduidingen
     
2.2.7   Klasse 7 Radioactieve stoffen
2.2.7.1   Definities
2.2.7.1.2   Besmetting
2.2.7.1.3   Definities van specifieke termen
2.2.7.2   Classificatie
2.2.7.2.1   Algemene bepalingen
2.2.7.2.2   Grenswaarden van de activiteit
2.2.7.2.3   Bepaling van andere stofeigenschappen
2.2.7.2.3.1   Stoffen met geringe specifieke activiteit (LSA)
2.2.7.2.3.3   Radioactieve stoffen in speciale toestand
2.2.7.2.3.4   Gering verspreidbare radioactieve stoffen
2.2.7.2.3.5   Splijtbare stoffen
2.2.7.2.4   Classificatie van colli of onverpakte stoffen
2.2.7.2.4.1   Classificatie als vrijgesteld collo
2.2.7.2.5   Speciale regelingen
     
2.2.8   Klasse 8 Bijtende stoffen
2.2.8.1   Definitie, algemene voorschriften en criteria
2.2.8.2   Niet ten vervoer toegelaten stoffen
2.2.8.3   Lijst van verzamelaanduidingen
     
2.2.9   Klasse 9 Diverse gevaarlijke stoffen en voorwerpen
2.2.9.1   Criteria
2.2.9.2   Niet ten vervoer toegelaten stoffen en voorwerpen
2.2.9.3   Lijst van posities
     
Hoofdstuk 3    
2.3 Testmethoden
2.3.0   Algemeen
2.3.1   Beproeving van het uitzweten voor springstof, type A
2.3.2   Beproevingen betreffende genitreerde cellulosemengsels van klasse 4.1
2.3.2.9   Beproeving van de chemische stabiliteit bij verhoogde temperatuur
2.3.2.10   Ontbrandingstemperatuur (zie 2.3.2.1 en 2.3.2.2)
2.3.3   Beproevingen betreffende brandbare vloeistoffen van de klassen 3, 6.1 en 8.
2.3.3.1   Bepaling van het vlampunt
2.3.3.2   Bepaling van het beginkookpunt
2.3.3.3   Beproeving voor de bepaling van het peroxidegehalte
2.3.4   Beproeving voor de bepaling van het vloeigedrag
2.3.4.1   Meetapparaat
2.3.4.2   Beproevingsmethode
2.3.4.3   Beoordeling van de beproevingsresultaten
2.3.5   Indeling van metaalorganische stoffen in de klassen 4.2.en 4.3
     
DEEL 4 - Voorschriften voor verpakkingen en tanks
Hoofdstuk 1    
4.1 Gebruik van verpakkingen, met inbegrip van IBC’s en grote verpakkingen
4.1.1 Algemene voorschriften voor het verpakken van gevaarlijke goederen in verpakkingen, met inbegrip van IBC's en grote verpakkingen
4.1.1.18 Ontplofbare stoffen, zelfontledende stoffen en organische peroxiden
4.1.1.19 Gebruik van bergingsverpakkingen en grote bergingsverpakkingen
4.1.1.20 Gebruik van bergingsdrukhouders
4.1.1.21 Verificatie van de chemische compatibiliteit van kunststof verpakkingen, met inbegrip van IBC's, door assimilatie van vulstoffen aan standaardvloeistoffen
4.1.2 Aanvullende algemene voorschriften voor het gebruik van IBC's
4.1.3 Algemene voorschriften met betrekking tot verpakkingsinstructies 
4.1.3.6 Drukhouders voor vloeistoffen en vaste stoffen
4.1.3.8 Onverpakte voorwerpen met uitzondering van voorwerpen van klasse 1
4.1.4 Lijst met verpakkingsinstructies
4.1.4.1 Verpakkingsinstructies betreffende het gebruik van verpakkingen (uitgezonderd IBC's en grote verpakkingen)
4.1.4.2 Verpakkingsinstructies betreffende het gebruik van IBC's
4.1.4.3 Verpakkingsinstructies betreffende het gebruik van grote verpakkingen 
4.1.5 Bijzondere verpakkingsvoorschriften voor goederen van klasse 1
4.1.6 Bijzondere verpakkingsvoorschriften voor stoffen van klasse 2 en stoffen van andere klassen, waaraan verpakkingsinstructie P200 is toegekend
4.1.7 Bijzondere verpakkingsvoorschriften voor organische peroxiden van klasse 5.2 en zelfontledende stoffen van klasse 4.1
4.1.7.1 Gebruik van verpakkingen (met uitzondering van IBC’s)
4.1.7.2 Gebruik van IBC's
4.1.8 Bijzondere verpakkingsvoorschriften voor infectueuze stoffen (klasse 6.2)
4.1.9 Bijzondere verpakkingsvoorschriften voor radioactieve stoffen
4.1.9.1 Algemeen
4.1.9.2 Voorschriften en controlemaatregelen voor het vervoer van LSA-stoffen en SCO
4.1.9.3 Colli die splijtbare stoffen bevatten
4.1.10 Bijzondere voorschriften voor gezamenlijke verpakking 
     
Hoofdstuk 2    
4.2 Gebruik van transporttanks en un-gascontainers met verscheidene elementen (MEGC’s)
4.2.1 Algemene voorschriften voor het gebruik van transporttanks voor het vervoer van stoffen van klassen 1 en 3 t/m 9
4.2.1.9 Vullingsgraad
4.2.1.10 Aanvullende voorschriften die van toepassing zijn op het vervoer van klasse 3 stoffen in transporttanks
4.2.1.11 Aanvullende voorschriften die van toepassing zijn op het vervoer van stoffen van klassen 4.1, 4.2 of 4.3 (met uitzondering van zelfontledende stoffen van klasse 4.1) in transporttanks
4.2.1.12 Aanvullende voorschriften die van toepassing zijn op het vervoer van stoffen van klasse 5.1 in transporttanks
4.2.1.13 Aanvullende voorschriften die van toepassing zijn op het vervoer van stoffen van klasse 5.2 en zelfontledende stoffen van klasse 4.1 in transporttanks
4.2.1.14 Aanvullende voorschriften die van toepassing zijn op het vervoer van stoffen van klasse 6.1 in transporttanks
4.2.1.15 Aanvullende voorschriften die van toepassing zijn op het vervoer van stoffen van klasse 6.2 in transporttanks
4.2.1.16 Aanvullende voorschriften die van toepassing zijn op het vervoer van stoffen van klasse 7 in transporttanks
4.2.1.17 Aanvullende voorschriften die van toepassing zijn op het vervoer van stoffen van klasse 8 in transporttanks
4.2.1.18 Aanvullende voorschriften die van toepassing zijn op het vervoer van stoffen van klasse 9 in transporttanks
4.2.1.19 Aanvullende voorschriften die van toepassing zijn op het vervoer van vaste stoffen die worden vervoerd bij temperaturen boven hun smeltpunt
4.2.2 Algemene voorschriften voor het gebruik van transporttanks voor het vervoer van niet sterk gekoelde, vloeibaar gemaakte gassen en chemische stoffen onder druk
4.2.2.7 Het vullen
4.2.3 Algemene voorschriften voor het gebruik van transporttanks voor het vervoer van sterk gekoelde, vloeibaar gemaakte gassen
4.2.3.6 Het vullen
4.2.3.7 Werkelijke verblijftijd
4.2.4 Algemene voorschriften voor het gebruik van UN-gascontainers met verscheidene elementen (MEGC's)
4.2.4.5 Het vullen
4.2.5 Instructies en bijzondere bepalingen voor transporttanks
4.2.5.1 Algemeen
4.2.5.2 Transporttank-instructies
4.2.5.3 Bijzondere bepalingen voor transporttanks
     
Hoofdstuk 3    
4.3 Gebruik van vaste tanks (tankwagens), afneembare tanks, tankcontainers en wissellaadtanks met metalen reservoirs en batterijwagens en gascontainers met verscheidene elementen (MEGC’s)
4.3.1 Toepassingsgebied
4.3.2 Voorschriften van toepassing op alle klassen
4.3.2.1 Gebruik
4.3.2.2 Vullingsgraad
4.3.2.3 Bedrijf
4.3.2.4 Lege, ongereinigde tanks, batterijwagens en MEGC's
4.3.3 Bijzondere bepalingen van toepassing op klasse 2
4.3.3.1 De codering en hiërarchie van tanks
4.3.3.2 Voorwaarden voor het vullen en beproevingsdrukken
4.3.3.3 Bedrijf
4.3.4 Bijzondere bepalingen, van toepassing op de klassen 1 en 3 t/m 9
4.3.4.1 Codering, gerationaliseerde benadering en tankhiërarchie
4.3.4.2 Algemene voorschriften
4.3.5 Bijzondere bepalingen
     
Hoofdstuk 4    
4.4 Gebruik van vaste tanks (tankwagens), afneembare tanks, tankcontainers en wissellaadtanks van vezelgewapende kunststof
4.4.1 Algemeen
4.4.2 Bedrijf
     
Hoofdstuk 5    
4.5 Gebruik van druk/vacuümtanks (voor afvalstoffen)
4.5.1 Gebruik
4.5.2 Bedrijf
     
Hoofdstuk 6    
4.6 (Gereserveerd)
     
Hoofdstuk 7    
4.7 Gebruik van mobiele eenheden voor de fabricage van ontplofbare stoffen of voorwerpen (MEMU's)
4.7.1 Gebruik
4.7.2 Bedrijf
     
DEEL 5 - Procedures voor de verzending
Hoofdstuk 1    
5.1 Algemene voorschriften
5.1.1 Toepassing en algemene voorschriften
5.1.2 Het gebruik van oververpakkingen
5.1.3 Lege, ongereinigde verpakkingen (met inbegrip van IBC's en grote verpakkingen), tanks, MEMU’s, voertuigen en containers voor vervoer als los gestort goed
5.1.4 Gezamenlijke verpakking
5.1.5 Algemene voorschriften voor klasse 7
5.1.5.1 Goedkeuring van verzendingen en kennisgeving
5.1.5.1.1 Algemeen
5.1.5.1.2 Goedkeuring voor de verzending
5.1.5.1.3 Goedkeuring van een verzending op grond van een speciale regeling
5.1.5.1.4 Kennisgevingen
5.1.5.2 Certificaten, uitgegeven door de bevoegde autoriteit
5.1.5.3 Bepaling van de transportindex (TI) en de criticaliteits-veiligheidsindex (CSI)
5.1.5.4 Specifieke bepalingen voor vrijgestelde colli met radioactieve stoffen van klasse 7
5.1.5.5 Samenvatting van voorschriften inzake goedkeuring en voorafgaande kennisgeving
     
Hoofdstuk 2    
5.2 Kenmerking en etikettering
5.2.1 Kenmerking van colli
5.2.1.5 Aanvullende voorschriften voor goederen van klasse 1
5.2.1.6 Aanvullende voorschriften voor goederen van klasse 2
5.2.1.7 Bijzondere voorschriften voor het kenmerken van radioactieve stoffen
5.2.1.8 Bijzondere bepalingen voor de kenmerking van milieugevaarlijke stoffen
5.2.1.9 Kenmerking van lithiumbatterijen
5.2.1.10 Richtinggevende pijlen
5.2.2 De etikettering van colli
5.2.2.1 Etiketteringsvoorschriften
5.2.2.1.10 Bijzondere bepalingen voor de etikettering van colli met infectueuze stoffen.
5.2.2.1.11 Bijzondere bepalingen voor de etikettering van radioactieve stoffen
5.2.2.2 Voorschriften voor etiketten
5.2.2.2.2 Modellen van etiketten
     
Hoofdstuk 3    
5.3 Etikettering en kenmerking van containers, bulkcontainers, MEGC's, MEMU’s, tankcontainers, transporttanks en voertuigen
5.3.1 Het aanbrengen van grote etiketten
5.3.1.1 Algemene voorschriften
5.3.1.2 Het aanbrengen van grote etiketten op containers, bulkcontainers, MEGC’s, tankcontainers en transporttanks
5.3.1.3 Het aanbrengen van grote etiketten op voertuigen die containers, bulkcontainers, MEGC's, tankcontainers of transporttanks vervoeren
5.3.1.4 Het aanbrengen van grote etiketten op voertuigen voor vervoer als los gestort goed, tankwagens, batterijwagens, MEMU’s en voertuigen met afneembare tanks
5.3.1.5 Het aanbrengen van grote etiketten op voertuigen die uitsluitend colli vervoeren
5.3.1.6 Het aanbrengen van grote etiketten op lege tankwagens, batterijwagens, MEGC’s, MEMU’s, tankcontainers, transporttanks en op lege voertuigen en containers voor vervoer als los gestort goed
5.3.1.7 Specificaties voor grote etiketten
5.3.2 Oranje borden
5.3.2.1 Algemene voorschriften voor oranje borden
5.3.2.2 Specificaties voor de oranje borden
5.3.2.3 Betekenis van gevaarsidentificatienummers
5.3.3 Kenmerk voor stoffen die in verwarmde toestand worden vervoerd
5.3.6 Kenmerking voor milieugevaarlijke stoffen
     
Hoofdstuk 4    
5.4 Documentatie
5.4.0 Algemeen
5.4.1 Vervoersdocument voor gevaarlijke goederen en daarmee samenhangende informatie
5.4.1.1 Algemene informatie, die in het vervoersdocument moet staan
5.4.1.1.3 Bijzondere bepalingen voor afvalstoffen
5.4.1.1.5 Bijzondere bepalingen voor bergingsverpakkingen en bergingsdrukhouders
5.4.1.1.6 Bijzondere bepalingen voor lege, ongereinigde middelen van omsluiting
5.4.1.1.7 Bijzondere bepalingen voor vervoer in een transportketen die vervoer over zee of door de lucht omvat
5.4.1.1.11 Bijzondere bepalingen voor het vervoer van IBC's, tanks, batterijwagens of transporttanks en MEGC’s na het verstrijken van de termijn voor de laatste periodieke beproeving of inspectie
5.4.1.1.13 Bijzondere bepalingen voor het vervoer in tankwagens met meerdere compartimenten of in transporteenheden met meer dan één tank.
5.4.1.1.14 Bijzondere bepalingen voor het vervoer van stoffen die bij verhoogde temperatuur vervoerd worden
5.4.1.1.15 Bijzondere bepalingen voor het vervoer van stoffen die door middel van temperatuurbeheersing gestabiliseerd zijn
5.4.1.1.16 Informatie vereist volgens bijzondere bepaling 640 in hoofdstuk 3.3
5.4.1.1.17 Bijzondere bepalingen voor het vervoer van vaste stoffen in bulkcontainers conform 6.11.4
5.4.1.1.18 Bijzondere bepalingen voor het vervoer van milieugevaarlijke stoffen (aquatisch milieu)
5.4.1.1.19 Bijzondere bepalingen voor het vervoer van afgedankte verpakkingen, leeg, ongereinigd (UN 3509)
5.4.1.1.20 Bijzondere bepalingen voor het vervoer van stoffen die overeenkomstig 2.1.2.8 zijn ingedeeld
5.4.1.1.21 Bijzondere bepalingen voor het vervoer van UN-nrs. 3528, 3529 en 3530
5.4.1.2 Aanvullende of bijzondere informatie, vereist voor bepaalde klassen
5.4.1.2.1 Bijzondere bepalingen voor klasse 1
5.4.1.2.2 Aanvullende bepalingen voor klasse 2
5.4.1.2.3 Aanvullende bepalingen voor zelfontledende stoffen en polymeriserende stoffen van klasse 4.1 en organische peroxiden van klasse 5.2
5.4.1.2.4 Aanvullende bepalingen voor klasse 6.2
5.4.1.2.5 Aanvullende bepalingen voor klasse 7
5.4.1.3 (Gereserveerd)
5.4.1.4 Vereiste opmaak en taal
5.4.1.5 Niet-gevaarlijke goederen
5.4.2 Container-/voertuigbeladingscertificaat
5.4.3 Schriftelijke instructies
5.4.4 Bewaring van informatie over het vervoer van gevaarlijke goederen
5.4.5 Voorbeeld van een formulier voor multimodaal vervoer van gevaarlijke goederen
     
Hoofdstuk 5    
5.5 Bijzondere bepalingen
5.5.1 (Geschrapt)
5.5.2 Bijzondere bepalingen van toepassing op gegaste laadeenheden (UN 3359)
5.5.2.1 Algemeen
5.5.2.2 Opleiding
5.5.2.3 Kenmerking en grote etiketten
5.5.2.4 Documentatie
5.5.3 Bijzondere bepalingen van toepassing op colli en voertuigen en containers met stoffen die een verstikkingsgevaar vertonen wanneer zij voor koelings- of conditioneringsdoeleinden worden gebruikt (zoals droogijs [UN 1845] of stikstof, sterk gekoeld, vloeibaar [UN 1977] of argon, sterk gekoeld, vloeibaar [UN 1951])
5.5.3.1 Toepassingsgebied
5.5.3.2 Algemeen
5.5.3.3 Colli die een koel- of conditioneringsmiddel bevatten
5.5.3.4 Kenmerking van colli die een koel- of conditioneringsmiddel bevatten
5.5.3.5 Voertuigen en containers die onverpakt droogijs bevatten
5.5.3.6 Kenmerking van voertuigen en containers
5.5.3.7 Documentatie
     
DEEL 6 - Voorschriften voor de constructie en beproeving van verpakkingen, IBC’s, grote verpakkingen en tanks
Hoofdstuk 1    
6.1 Voorschriften voor de constructie en beproeving van verpakkingen
6.1.1 Algemeen
6.1.2 Code voor de aanduiding van typen van verpakkingen
6.1.3 Kenmerk
6.1.4 Eisen aan verpakkingen
6.1.4.0 Algemene voorschriften
6.1.4.1 Stalen vaten
6.1.4.2 Aluminium vaten
6.1.4.3 Vaten van een ander metaal dan staal of aluminium
6.1.4.4 Jerrycans van staal of aluminium
6.1.4.5 Vaten van gelamineerd hout
6.1.4.7 Kartonnen vaten
6.1.4.8 Vaten en jerrycans van kunststof
6.1.4.9 Kisten van natuurlijk hout
6.1.4.10 Kisten van gelamineerd hout
6.1.4.11 Kisten van houtvezelmateriaal
6.1.4.12 Kartonnen dozen
6.1.4.13 Dozen van kunststof
6.1.4.14 Kisten van staal, aluminium of ander metaal
6.1.4.15 Zakken van textiel
6.1.4.16 Zakken van kunststof weefsel
6.1.4.17 Zakken van kunststof folie
6.1.4.18 Papieren zakken
6.1.4.19 Combinatieverpakkingen (kunststof)
6.1.4.20 Combinatieverpakkingen (glas, porselein of aardewerk)
6.1.4.21 Samengestelde verpakkingen
6.1.4.22 Lichte metalen verpakkingen
6.1.5 Voorschriften voor de beproeving van de verpakkingen
6.1.5.1 Uitvoering en herhaling van de beproevingen
6.1.5.2 Voorbereiding van de verpakkingen en de colli voor de beproevingen
6.1.5.3 Valproef
6.1.5.4 Dichtheidsproef
6.1.5.5 Beproeving met inwendige druk (hydraulische proefpersing)
6.1.5.6 Stapelproef
6.1.5.7 Aanvullende beproeving van permeatie bij vaten en jerrycans van kunststof volgens 6.1.4.8 en combinatieverpakkingen (kunststof) volgens 6.1.4.19, bestemd voor het vervoer van vloeistoffen met een vlampunt £60 oC, met uitzondering van de verpakkingen 6HA1
6.1.5.8 Beproevingsrapport
6.1.6 Standaardvloeistoffen voor het aantonen van de chemische bestendigheid van verpakkingen, met inbegrip van IBC’s, van polyetheen, volgens respectievelijk 6.1.5.2.6 en 6.5.6.3.5.
     
Hoofdstuk 2    
6.2 Voorschriften voor de constructie en de beproeving van drukhouders, spuitbussen, houders, klein, met gas (gaspatronen) en patronen voor brandstofcellen met vloeibaar gemaakt, brandbaar gas
6.2.1 Algemene voorschriften
6.2.1.1 Ontwerp en constructie
6.2.1.2 Materialen
6.2.1.3 Bedrijfsuitrusting
6.2.1.4 Goedkeuring van drukhouders
6.2.1.5 Eerste onderzoek en beproeving
6.2.1.6 Periodiek onderzoek en beproeving
6.2.1.7 Voorschriften voor fabrikanten
6.2.1.8 Voorschriften voor onderzoeksinstanties
6.2.2 Voorschriften voor UN-drukhouders
6.2.2.1 Ontwerp, constructie en eerste onderzoek en beproeving
6.2.2.2 Materialen
6.2.2.3 Bedrijfsuitrusting
6.2.2.4 Periodiek onderzoek en beproeving
6.2.2.5 Conformiteitbeoordelingssysteem en goedkeuring voor de fabricage van drukhouders
6.2.2.6 Goedkeuringssysteem voor periodiek onderzoek en beproeving van drukhouders
6.2.2.7 Merktekens op hervulbare UN-drukhouders
6.2.2.8 Merktekens op niet-hervulbare UN-drukhouders
6.2.2.9 Merktekens op UN-opslagsystemen met metaalhydride
6.2.2.10 Merktekens op UN-flessenbatterijen
6.2.2.11 Equivalente procedures voor conformiteitsbeoordeling en periodiek onderzoek en beproeving
6.2.3 Algemene voorschriften voor niet-UN-drukhouders
6.2.3.1 Ontwerp en constructie
6.2.3.3 Bedrijfsuitrusting
6.2.3.4 Eerste onderzoek en beproeving
6.2.3.5 Periodiek onderzoek en beproeving
6.2.3.6 Goedkeuring van drukhouders
6.2.3.7 Voorschriften voor fabrikanten
6.2.3.8 Voorschriften voor onderzoeksinstanties
6.2.3.9 Merktekens op hervulbare drukhouders
6.2.3.10 Merktekens op niet-hervulbare drukhouders
6.2.3.11 Bergingsdrukhouders
6.2.4 Voorschriften voor niet-UN-drukhouders, die volgens normen waarnaar wordt verwezen, zijn ontworpen, geconstrueerd en beproefd
6.2.4.2 Periodiek onderzoek en beproeving
6.2.5 Voorschriften voor niet-UN-drukhouders die niet volgens normen zijn ontworpen, geconstrueerd en beproefd
6.2.5.1 Materialen
6.2.5.2 Bedrijfsuitrusting
6.2.5.3 Metalen flessen, grote cilinders, drukvaten en flessenbatterijen
6.2.5.4 Aanvullende bepalingen die betrekking hebben op drukhouders vervaardigd van een aluminiumlegering voor samengeperste gassen, vloeibaar gemaakte gassen, opgeloste gassen en drukloze gassen die aan bijzondere voorschriften onderworpen zijn (gasmonsters), alsmede op voorwerpen die gas onder druk bevatten met uitzondering van spuitbussen en houders, klein, met gas (gaspatronen)
6.2.5.5 Drukhouders van composietmaterialen
6.2.5.6 Gesloten cryo-houders
6.2.6 Algemene voorschriften voor spuitbussen, houders, klein, met gas (gaspatronen), alsmede voor patronen voor brandstofcellen die een vloeibaar gemaakt, brandbaar gas bevatten
6.2.6.1 Ontwerp en constructie
6.2.6.2 Hydraulische drukproef
6.2.6.3 Dichtheidsproef
6.2.6.4 Verwijzing naar normen
     
Hoofdstuk 3    
6.3 Voorschriften voor de constructie en de beproeving van verpakkingen voor infectueuze (besmettelijke) stoffen van categorie A van klasse 6.2
6.3.1 Algemeen
6.3.2 Voorschriften voor verpakkingen
6.3.3 Code voor de aanduiding van de typen verpakkingen
6.3.4 Kenmerk
6.3.4.4 Voorbeeld van kenmerk
6.3.5 Beproevingseisen voor verpakkingen
6.3.5.1 Uitvoering en frequentie van de beproevingen
6.3.5.2 Voorbereiding van verpakkingen voor de beproeving
6.3.5.3 Valproef
6.3.5.4 Doorstootproef
6.3.5.5 Beproevingsrapport
     
Hoofdstuk 4    
6.4 Voorschriften voor de constructie, beproeving en goedkeuring van colli voor radioactieve stoffen en voor de goedkeuring van dergelijke stoffen
6.4.1 (Gereserveerd)
6.4.2 Algemene bepalingen
6.4.3 (Gereserveerd)
6.4.4 Bepalingen voor vrijgestelde colli
6.4.5 Bepalingen voor industriële colli
6.4.6 Bepalingen voor colli die uraniumhexafluoride bevatten
6.4.7 Bepalingen voor colli van type A
6.4.8 Bepalingen voor colli van type B(U)
6.4.9 Bepalingen voor colli van type B(M)
6.4.10 Bepalingen voor colli van type C
6.4.11 Bepalingen voor colli met splijtbare stoffen
6.4.12 Beproevingsprocedures en bewijs van overeenstemming
6.4.13 Beproeving van de goede staat van de borghouder en de afscherming en beoordeling van de veiligheid ten aanzien van criticaliteit
6.4.14 Trefplaat voor valproeven
6.4.15 Beproeving met het doel aan te tonen dat het collo normale vervoersomstandigheden kan doorstaan
6.4.16 Bijkomende beproevingen voor colli van type A ontworpen voor vloeistoffen en gassen
6.4.17 Beproevingen met het doel om aan te tonen dat het collo ongevalsomstandigheden tijdens het vervoer kan doorstaan
6.4.18 Verzwaarde onderdompelingsbeproeving in water voor colli van type B(U) en van type B(M) die meer dan 105 A2 bevatten en colli van type C
6.4.19 Beproeving van waterlekkage voor colli die splijtbare stoffen bevatten
6.4.20 Beproevingen voor colli van type C
6.4.21 Keuringen van verpakkingen ontworpen om ten minste 0,1 kg uraniumhexafluoride te bevatten
6.4.22 Goedkeuring van het model van colli en stoffen
6.4.23 Aanvragen voor goedkeuring en goedkeuring voor het vervoer van radioactieve stoffen
     
Hoofdstuk 5    
6.5 Voorschriften voor de constructie en beproeving van IBC’s
6.5.1 Algemene voorschriften
6.5.1.1 Toepassingsgebied
6.5.1.4 Coderingssysteem voor de kenmerking van IBC's
6.5.2 Kenmerk
6.5.2.1 Basiskenmerk
6.5.2.2 Aanvullende kenmerking
6.5.2.3 Overeenstemming met het ontwerptype
6.5.2.4 Kenmerk van omgebouwde combinatie-IBC’s (31HZ1)
6.5.3 Voorschriften voor de constructie
6.5.3.1 Algemene voorschriften
6.5.4 Beproeving, certificering en inspectie
6.5.4.4 Inspectie en beproeving
6.5.4.5 Gerepareerde IBC's
6.5.5 Bijzondere voorschriften voor IBC’s
6.5.5.1 Bijzondere voorschriften voor metalen IBC's
6.5.5.2 Bijzondere voorschriften voor flexibele IBC's
6.5.5.3 Bijzondere voorschriften voor IBC's van stijve kunststof
6.5.5.4 Bijzondere voorschriften voor combinatie-IBC's met binnenhouder van kunststof
6.5.5.5 Bijzondere voorschriften voor kartonnen IBC's
6.5.5.6 Bijzondere voorschriften voor houten IBC's
6.5.6 Voorschriften voor de beproeving van IBC’s
6.5.6.1 Uitvoering en herhaling van de beproevingen
6.5.6.2 Beproevingen van het ontwerptype
6.5.6.3 Voorbereiding van de IBC's voor de beproevingen
6.5.6.4 Hefproef (onderzijde)
6.5.6.5 Hefproef (bovenzijde)
6.5.6.6 Stapelproef
6.5.6.7 Dichtheidsproef
6.5.6.8 Hydraulische drukproef (beproeving met inwendige druk)
6.5.6.9 Valproef
6.5.6.10 Scheurproef
6.5.6.11 Kantelproef
6.5.6.12 Oprichtproef
6.5.6.13 Vibratietest
6.5.6.14 Beproevingsrapport
     
Hoofdstuk 6    
6.6 Voorschriften voor de constructie en de beproeving van grote verpakkingen
6.6.1 Algemeen
6.6.2 Code voor het aanduiden van typen grote verpakkingen
6.6.3 Kenmerk
6.6.4 Bijzondere voorschriften voor grote verpakkingen
6.6.4.1 Bijzondere voorschriften voor metalen grote verpakkingen
6.6.4.2 Bijzondere voorschriften voor grote verpakkingen van flexibel materiaal
6.6.4.3 Bijzondere voorschriften voor grote verpakkingen van kunststof
6.6.4.4. Bijzondere voorschriften voor grote verpakkingen van karton
6.6.4.5 Bijzondere voorschriften voor grote verpakkingen van hout
6.6.5 Beproevingsvoorschriften voor grote verpakkingen
6.6.5.1 Uitvoering en frequentie van de beproevingen
6.6.5.2 Voorbereiding voor de beproeving
6.6.5.3 Beproevingsvoorschriften
6.6.5.4 Certificering en beproevingsrapport
     
Hoofdstuk 7    
6.7 Voorschriften voor het ontwerp, de constructie, het onderzoek en de beproeving van transporttanks en UN-gascontainers met verscheidene elementen (MEGC’s)
6.7.1 Toepassing en algemene voorschriften
6.7.2 Voorschriften voor het ontwerp, de constructie, het onderzoek en de beproeving van transporttanks, bestemd voor het vervoer van stoffen van de klassen 1 en 3 t/m 9
6.7.2.2 Algemene voorschriften voor ontwerp en constructie
6.7.2.3 Ontwerpcriteria
6.7.2.4 Minimale wanddikte van het reservoir
6.7.2.5 Bedrijfsuitrusting
6.7.2.6 Openingen aan de onderzijde
6.7.2.7 Veiligheidsinrichtingen
6.7.2.8 Drukontlastingsinrichtingen
6.7.2.9 Instelling van drukontlastingsinrichtingen
6.7.2.10 Smeltveiligheden
6.7.2.11 Breekplaten
6.7.2.12 Capaciteit van drukontlastingsinrichtingen
6.7.2.13 Kenmerking van drukontlastingsinrichtingen
6.7.2.14 Aansluitingen naar drukontlastingsinrichtingen
6.7.2.15 Plaatsing van drukontlastingsinrichtingen
6.7.2.16 Peilinrichtingen
6.7.2.17 Steunen voor transporttanks, raamwerken, hijs- en bevestigingsinrichtingen
6.7.2.18 Goedkeuring van het ontwerp
6.7.2.19 Onderzoek en beproeving
6.7.2.20 Kenmerking
6.7.3 Voorschriften voor het ontwerp, de constructie, het onderzoek en de beproeving van transporttanks, bestemd voor het vervoer van niet sterk gekoelde, vloeibaar gemaakte gassen
6.7.3.1 Definities
6.7.3.2 Algemene voorschriften voor ontwerp en constructie
6.7.3.3 Ontwerpcriteria
6.7.3.4 Minimale wanddikte van het reservoir
6.7.3.5 Bedrijfsuitrusting
6.7.3.6 Openingen aan de onderzijde
6.7.3.7 Drukontlastingsinrichtingen
6.7.3.8 Capaciteit van ontlastingsinrichtingen
6.7.3.9 Kenmerking van drukontlastingsinrichtingen
6.7.3.10 Aansluitingen naar drukontlastingsinrichtingen
6.7.3.11 Plaatsing van drukontlastingsinrichtingen
6.7.3.12 Peilinrichtingen
6.7.3.13 Steunen, raamwerken, hijs- en bevestigingsinrichtingen voor transporttanks
6.7.3.14 Goedkeuring van het ontwerp
6.7.3.15 Onderzoek en beproeving
6.7.3.16 Kenmerking
6.7.4 Voorschriften voor het ontwerp, de constructie, het onderzoek en de beproeving van transporttanks, bestemd voor het vervoer van sterk gekoelde, vloeibaar gemaakte gassen van klasse 2
6.7.4.1 Definities
6.7.4.2 Algemene voorschriften voor ontwerp en constructie
6.7.4.3 Ontwerpcriteria
6.7.4.4 Minimale wanddikte van het reservoir
6.7.4.5 Bedrijfsuitrusting
6.7.4.6 Drukontlastingsinrichtingen
6.7.4.7 Capaciteit en instelling van drukontlastingsinrichtingen
6.7.4.8 Kenmerking van drukontlastingsinrichtingen
6.7.4.9 Aansluitingen naar drukontlastingsinrichtingen
6.7.4.10 Plaatsing van drukontlastingsinrichtingen
6.7.4.11 Peilinrichtingen
6.7.4.12 Steunen voor transporttanks, raamwerken, hijs- en bevestigingsinrichtingen.
6.7.4.13 Goedkeuring van het ontwerp
6.7.4.14 Onderzoek en beproeving
6.7.4.15 Kenmerking
6.7.5 Voorschriften voor het ontwerp, de constructie, het onderzoek en de beproeving van UN-gascontainers met verscheidene elementen (MEGC's), bestemd voor het vervoer van niet sterk gekoelde gassen.
6.7.5.1 Definities
6.7.5.2 Algemene ontwerp- en constructievoorschriften
6.7.5.3 Bedrijfsuitrusting
6.7.5.4 Drukontlastingsinrichtingen
6.7.5.5 Capaciteit van drukontlastingsinrichtingen
6.7.5.6 Kenmerking van drukontlastingsinrichtingen
6.7.5.7 Aansluitingen naar drukontlastingsinrichtingen
6.7.5.8 Plaatsing van drukontlastingsinrichtingen
6.7.5.9 Peilinrichtingen
6.7.5.10 Steunen, raamwerken, hijs- en bevestigingsinrichtingen voor MEGC's
6.7.5.11 Goedkeuring van het ontwerp
6.7.5.12 Onderzoek en beproeving
6.7.5.13 Kenmerking
     
Hoofdstuk 8    
6.8 Voorschriften voor de constructie, uitrusting, typegoedkeuring, het onderzoek en de beproeving en de kenmerking van vaste tanks (tankwagens), afneembare tanks en tankcontainers en wissellaadtanks, met reservoirs van metaal, en batterijwagens en gascontainers met verscheidene elementen (MEGC's)
6.8.1 Toepassingsgebied
6.8.2 Voorschriften van toepassing op alle klassen
6.8.2.1 Constructie,Basisprincipes, Materialen van de reservoirs,Minimale wanddikte van het reservoir, Het lassen en het onderzoek van de lasverbindingen
6.8.2.2 Uitrustingsdelen
6.8.2.3 Typegoedkeuring
6.8.2.4 Onderzoek en beproevingen
6.8.2.5 Kenmerking
6.8.2.6 Voorschriften voor tanks die volgens normen waarnaar wordt verwezen, zijn ontworpen, geconstrueerd en beproefd
6.8.2.6.2 Onderzoek en beproeving
6.8.2.7 Voorschriften voor tanks die niet volgens normen waarnaar verwezen wordt, zijn ontworpen, geconstrueerd en beproefd
6.8.3 Bijzondere voorschriften van toepassing op klasse 2
6.8.3.1 Constructie van reservoirs, Constructie van batterijwagens en MEGC's
6.8.3.2 Uitrustingsdelen, Warmte-isolerende beschermingen, Uitrustingsdelen voor batterijwagens en MEGC's
6.8.3.3 Typegoedkeuring
6.8.3.4 Onderzoek en beproevingen, Onderzoek en beproevingen van batterijwagens en MEGC's
6.8.3.5 Kenmerking, Kenmerking van batterijwagens en MEGC's
6.8.3.6 Voorschriften voor batterijwagens en MEGC’s die worden ontworpen, geconstrueerd en beproefd overeenkomstig normen waarnaar wordt verwezen
6.8.3.7 Voorschriften voor batterijwagens en MEGC's die niet volgens normen waarnaar wordt verwezen zijn ontworpen, geconstrueerd en beproefd
6.8.4 Bijzondere bepalingen
6.8.5 Voorschriften betreffende de materialen en constructie van vaste gelaste tanks, afneembare gelaste tanks en gelaste reservoirs van tankcontainers waarvoor een beproevingsdruk van ten minste 1 MPa (10 bar) is voorgeschreven en van vaste gelaste tanks, afneembare gelaste tanks en gelaste reservoirs van tankcontainers bestemd voor het vervoer van sterk gekoelde, vloeibaar gemaakte gassen van klasse 2
6.8.5.1 Materialen en reservoirs
6.8.5.2 Beproevingsvoorschriften
6.8.5.2.1 Stalen reservoirs
6.8.5.2.2 Reservoirs van aluminium of van aluminiumlegeringen
6.8.5.2.3 Reservoirs van koper of koperlegeringen
6.8.5.3 Kerfslagproeven
6.8.5.4 Verwijzing naar normen
     
Hoofdstuk 9    
6.9 Voorschriften voor het ontwerp, de constructie, uitrusting, typegoedkeuring, beproeving en kenmerking van vaste tanks (tankwagens), afneembare tanks, tankcontainers en wissellaadtanks van vezelgewapende kunststof
6.9.1 Algemeen
6.9.2 Constructie
6.9.2.3 Grondstoffen
6.9.2.3.2 Harsen
6.9.2.3.3 Versterkingsvezels
6.9.2.3.4 Materiaal voor thermoplastische bekleding
6.9.2.3.5 Additieven
6.9.2.14 Bijzondere voorschriften voor het vervoer van stoffen met een vlampunt ten hoogste 60 oC
6.9.3 Uitrustingsdelen
6.9.4 Typekeuring en typegoedkeuring
6.9.4.2 Materiaalbeproeving
6.9.4.3 Typekeuring
6.9.4.4 Typegoedkeuring
6.9.5 Inspecties
6.9.6 Kenmerking
     
Hoofdstuk 10    
6.10 Voorschriften voor de constructie, de uitrusting, de typegoedkeuring, het onderzoek en de kenmerking van druk/vacuümtanks (voor afvalstoffen)
6.10.1 Algemeen
6.10.1.1 Definitie
6.10.1.2 Toepassingsgebied
6.10.2 Constructie
6.10.3 Uitrustingsdelen
     
Hoofdstuk 11    
6.11 Voorschriften voor het ontwerp, de constructie, het onderzoek en de beproeving van bulkcontainers
6.11.2 Toepassing en algemene voorschriften
6.11.2.3 Code voor het aanduiden van typen bulkcontainers
6.11.3 Voorschriften voor het ontwerp, de constructie, het onderzoek en de beproeving van BK1- of BK2-containers die voldoen aan de CSC en die als bulkcontainers gebruikt worden
6.11.3.1 Ontwerp- en constructievoorschriften
6.11.3.2 Bedrijfsuitrusting
6.11.3.3 Onderzoek en beproeving
6.11.3.4 Kenmerking
6.11.4 Voorschriften voor het ontwerp, de constructie en de goedkeuring van BK1- en BK2-bulkcontainers met uitzondering van containers die voldoen aan de CSC
6.11.5 Voorschriften voor het ontwerp, de constructie, het onderzoek en de beproeving van flexibele bulkcontainers (BK3)
6.11.5.1 Voorschriften voor ontwerp en constructie
6.11.5.2 Bedrijfsuitrusting en voorzieningen voor de behandeling
6.11.5.3 Onderzoek en beproeving
6.11.5.4 Beproevingsrapport
6.11.5.5 Kenmerking
     
Hoofdstuk 12    
6.12 Voorschriften voor de constructie, uitrusting, typegoedkeuring, onderzoeken en beproevingen en kenmerking van tanks, bulkcontainers en speciale compartimenten voor ontplofbare stoffen of voorwerpen van mobiele eenheden voor de fabricage van ontplofbare stoffen of voorwerpen (MEMU's)
6.12.1 Toepassingsgebied
6.12.2 Algemene bepalingen
6.12.3 Tanks
6.12.3.1 Tanks met een inhoud van 1000 liter of meer
6.12.3.2 Tanks met een inhoud van minder dan 1000 liter
6.12.4 Uitrustingsdelen
6.12.5 Speciale compartimenten voor ontplofbare stoffen en voorwerpen
     
Hoofdstuk 13    
6.13.1 Algemeen
6.13.2 Constructie
6.13.3 Uiitrustingsdelen
6.13.4 Typekeuring & Typegoedkeuring
6.13.5 Inspecties
6.13.6 Kenmerking
DEEL 7 - Voorschriften inzake het vervoer, het laden, lossen en de behandeling
Hoofdstuk 1    
7.1 Algemene voorschriften en bijzondere bepalingen voor temperatuurbeheersing
     
Hoofdstuk 2    
7.2 Voorschriften inzake het vervoer in colli
     
Hoofdstuk 3    
7.3 Voorschriften inzake het vervoer als los gestort goed
7.3.1 Algemene voorschriften
7.3.2 Voorschriften voor het vervoer als los gestort goed indien de voorschriften van 7.3.1.1 a) worden toegepast.
7.3.2.3 Goederen van klasse 4.2
7.3.2.4 Goederen van klasse 4.3
7.3.2.5 Goederen van klasse 5.1
7.3.2.6 Goederen van klasse 6.2
7.3.2.6.2 Afvalstoffen van klasse 6.2 (UN 3291)
7.3.2.7 Stoffen van klasse 7
7.3.2.8 Goederen van klasse 8
7.3.2.9 Goederen van klasse 9
7.3.2.10 Gebruik van flexibele bulkcontainers
7.3.3 Bijzondere bepalingen voor het vervoer als los gestort goed indien de voorschriften van 7.3.1.1 b) worden toegepast
     
Hoofdstuk 4    
7.4 Voorschriften inzake vervoer in tanks
     
Hoofdstuk 5    
7.5 Voorschriften inzake het laden, lossen en de behandeling
7.5.1 Algemene voorschriften inzake het laden, lossen en de behandeling
7.5.2 Samenladingsverboden
7.5.4 Voorzorgsmaatregelen met betrekking tot levens- en genotsmiddelen en voer voor dieren
7.5.5 Beperking van de vervoerde hoeveelheden
7.5.5.2 Beperkingen met betrekking tot ontplofbare stoffen en voorwerpen
7.5.5.2.1 Te vervoeren stoffen en hoeveelheden
7.5.5.2.3 Vervoer van ontplofbare stoffen en voorwerpen op MEMU's
7.5.7 Behandeling en stuwage
7.5.7.6 Laden van flexibele bulkcontainers
7.5.8 Reiniging na het lossen
7.5.9 Rookverbod
7.5.10 Voorzorgsmaatregelen tegen elektrostatische ladingen
7.5.11 Aanvullende voorschriften voor bepaalde klassen of specifieke goederen
     
Bijlage B   Bepalingen betreffende de vervoermiddelen en het vervoer
DEEL 8 - Voorschriften voor de bemanning, uitrusting en exploitatie van het voertuig en documentatie
Hoofdstuk 1    
8.1 Algemene voorschriften inzake transporteenheden en boorduitrusting
8.1.1 Transporteenheden
8.1.2 Aan boord van de transporteenheid mee te voeren documenten
8.1.3 Het aanbrengen van grote etiketten en kenmerking
8.1.4 Brandbestrijdingsuitrusting
8.1.5 Uitrusting van uiteenlopende aard en uitrusting voor persoonlijke bescherming
     
Hoofdstuk 2    
8.2 Voorschriften inzake de opleiding van de bemanning van het voertuig
8.2.1 Toepassing en algemene voorschriften inzake de opleiding van bestuurders
8.2.2 Bijzondere voorschriften inzake de opleiding van bestuurders
8.2.2.3 Structuur van de opleiding
8.2.2.4 Programma voor de aanvangscursus
8.2.2.5 Programma voor de herhalingsopleiding
8.2.2.6 Goedkeuring van de opleiding
8.2.2.7 Examens
8.2.2.7.1 Examens voor de basisopleidingscursus
8.2.2.7.2 Examens voor de specialisatieopleidingscursussen voor het vervoer in tanks of voor het vervoer van stoffen en voorwerpen van klasse 1 of radioactieve stoffen van klasse 7
8.2.2.8 Het vakbekwaamheidscertificaat van de bestuurder
8.2.2.8.5 Model van het opleidingscertificaat voor bestuurders van voertuigen die gevaarlijke goederen vervoeren
8.2.3 De opleiding van personen - met uitzondering van bestuurders die in het bezit zijn van een certificaat volgens 8.2.1 - die bij het vervoer van gevaarlijke goederen over de weg betrokken zijn
     
Hoofdstuk 3    
8.3 Diverse voorschriften waaraan de bemanning van het voertuig moet voldoen
8.3.1 Passagiers
8.3.2 Het gebruik van brandblusapparaten
8.3.3 Verbod op het openen van colli
8.3.4 Draagbare verlichtingsapparaten
8.3.5 Rookverbod
8.3.6 Het laten draaien van de motor tijdens laden of lossen
8.3.7 Gebruik van de parkeerrem en de stopblokken
8.3.8 Gebruik betrokken zijn
     
Hoofdstuk 4    
8.4 Voorschriften betreffende het toezicht op voertuigen
     
Hoofdstuk 5    
8.5 Aanvullende voorschriften met betrekking tot specifieke klassen of goederen
     
Hoofdstuk 6    
8.6 Beperkingen voor de doorgang door tunnels voor het wegverkeer van voertuigen die gevaarlijke goederen vervoeren
8.6.1 Algemene bepalingen
8.6.2 Verkeerstekens en symbolen voor het wegverkeer, van toepassing op de doorgang van voertuigen die gevaarlijke goederen vervoeren.
8.6.3 Codes voor beperkingen in tunnels
8.6.4 Beperkingen voor de doorgang van transporteenheden die gevaarlijke goederen vervoeren door tunnels
     
DEEL 9 - Voorschriften inzake de constructie en goedkeuring van voertuigen
Hoofdstuk 1    
9.1 Toepassingsgebied, definities en voorschriften voor de goedkeuring van voertuigen
9.1.1 Toepassingsgebied en definities
9.1.1.1 Toepassingsgebied
9.1.1.2 Definities
9.1.2 Goedkeuring van EX/II-, EX/III-, FL - en AT-voertuigen en MEMU’s
9.1.2.1 Algemeen
9.1.2.2 Voorschriften voor voertuigen met typegoedkeuring
9.1.2.3 Jaarlijks technisch onderzoek
9.1.3 Certificaat van goedkeuring
9.1.3.5 Model voor het certificaat van goedkeuring voor voertuigen die bepaalde gevaarlijke goederen vervoeren
     
Hoofdstuk 2    
9.2 Voorschriften inzake de constructie van voertuigen
9.2.1 Overeenstemming met de voorschriften van dit hoofdstuk
9.2.2 Elektrische uitrusting
9.2.2.1 Algemene voorschriften
9.2.2.2 Bedrading
9.2.2.3 Zekeringen en stroomonderbrekers
9.2.2.4 Accu's
9.2.2.5 Verlichting
9.2.2.6 Elektrische verbindingen tussen motorvoertuigen en aanhangwagens
9.2.2.7 Spanning
9.2.2.8 Hoofdschakelaar voor de accu
9.2.2.9 Stroomkringen met permanente voeding
9.2.3 Reminrichting
9.2.3.1 Algemene voorschriften
9.2.4 Voorkomen van brandgevaar
9.2.4.1 Algemene voorschriften
9.2.4.3 Brandstoftanks
9.2.4.5 Uitlaatsysteem
9.2.4.6 Duurremsysteem
9.2.4.7 Verwarmingssystemen op brandstof
9.2.5 Snelheidsbegrenzer
9.2.6 Koppelingen van motorvoertuigen en aanhangwagens
9.2.7 Voorkomen van andere risico's veroorzaakt door brandstoffen
     
Hoofdstuk 3    
9.3 Aanvullende voorschriften inzake complete of afgebouwde EX/II- of EX/III-voertuigen, bestemd voor het vervoer van ontplofbare stoffen en voorwerpen (klasse 1) in colli
9.3.1 Te gebruiken materialen voor de constructie van voertuigopbouwen
9.3.2 Verwarmingssystemen op brandstof
9.3.3 EX/II-voertuigen
9.3.4 EX/III-voertuigen
9.3.5 Motor en laadcompartiment
9.3.6 Uitwendige warmtebronnen en de laadruimte
9.3.7 Elektrische uitrusting
     
Hoofdstuk 4    
9.4 Aanvullende voorschriften inzake de constructie van de opbouwen van complete of afgebouwde voertuigen, bestemd voor het vervoer van gevaarlijke goederen in colli (met uitzondering van EX/II- en EX/III-voertuigen)
     
Hoofdstuk 5    
9.5 Aanvullende voorschriften inzake de constructie van de opbouwen van complete of afgebouwde voertuigen, bestemd voor het vervoer van gevaarlijke vaste stoffen als losgestort goed
     
Hoofdstuk 6    
9.6 Aanvullende voorschriften inzake complete of afgebouwde voertuigen, bestemd voor het vervoer van stoffen onder temperatuurbeheersing
     
Hoofdstuk 7    
9.7 Aanvullende voorschriften inzake tankwagens (vaste tanks) batterijwagens en complete of afgebouwde voertuigen, die worden gebruikt voor het vervoer van gevaarlijke goederen in afneembare tanks met een inhoud groter dan 1 m3 of in tankcontainers, transporttanks of MEGC’s met een inhoud groter dan 3 m3 (EX/III-, FL- en AT-voertuigen)
9.7.1 Algemene voorschriften
9.7.2 Voorschriften inzake tanks
9.7.3 Bevestiging
9.7.4 Equipotentiaalverbinding van FL-voertuigen
9.7.5 Stabiliteit van tankwagens
9.7.6 Bescherming aan de achterzijde van voertuigen
9.7.7 Verwarmingssystemen op brandstof
9.7.8 Elektrische uitrusting
9.7.9 Aanvullende veiligheidsvoorschriften betreffende EX/III-voertuigen
     
Hoofdstuk 8    
9.8 Aanvullende voorschriften inzake complete en afgebouwde MEMU’s
9.8.1 Algemene bepalingen
9.8.2 Voorschriften inzake tanks en bulkcontainers
9.8.3 Equipotentiaalverbinding van MEMU's
9.8.4 Stabiliteit van MEMU's
9.8.5 Bescherming aan de achterzijde van MEMU's
9.8.6 Verwarmingssystemen op brandstof
9.8.7 Aanvullende veiligheidsvoorschriften
9.8.8 Aanvullende beveiligingsvoorschriften
     

HOOFDSTUK 6.8
VOORSCHRIFTEN VOOR DE CONSTRUCTIE, UITRUSTING, TYPEGOEDKEURING, HET ONDERZOEK EN DE BEPROEVING EN DE KENMERKING VAN VASTE TANKS (TANKWAGENS), AFNEEMBARE TANKS EN TANKCONTAINERS EN WISSELLAADTANKS, MET RESERVOIRS VAN METAAL, EN BATTERIJWAGENS EN GASCONTAINERS MET VERSCHEIDENE ELEMENTEN (MEGC's)

Opmerking 1:
Voor transporttanks en UN-gascontainers met verscheidene elementen (MEGC’s) zie hoofdstuk 6.7; voor tanks van vezelgewapende kunststof zie hoofdstuk 6.9 of hoofdstuk 6.13 voor
zover van toepassing; voor druk/vacuümtanks (voor afvalstoffen) zie hoofdstuk 6.10.

Opmerking 2:
Voor vaste tanks (tankwagens) en afneembare tanks met inrichtingen voor additieven, zie bijzondere bepaling 664 van hoofdstuk 3.3.

Opmerking 3: 
In dit hoofdstuk wordt onder "onderzoeksinstantie" verstaan een instantie overeenkomstig 1.8.6.

 

6.8.1
25

Reikwijdte en algemene bepalingen

6.8.1.1

De voorschriften over de gehele breedte van de bladzijde zijn van toepassing op zowel vaste tanks (tankwagens), afneembare tanks en batterijwagens, als op tankcontainers, wissellaadtanks en MEGC's.
Voorschriften die zich in een enkele kolom bevinden, zijn alleen van toepassing op:

  1. vaste tanks (tankwagens), afneembare tanks en batterijwagens (linker kolom);
  2. tankcontainers, wissellaadtanks en MEGC's (rechter kolom).

 

6.8.1.2

Deze voorschriften zijn van toepassing op

vaste tanks (tankwagens), afneembare tanks en batterijwagens

 

tankcontainers, wissellaadtanks en MEGC's

 

die worden gebruikt voor het vervoer van gasvormige, vloeibare, poedervormige of korrelvormige stoffen.

 

6.8.1.3

In sectie 6.8.2 zijn de voorschriften opgesomd, die van toepassing zijn op vaste tanks (tankwagens), afneembare tanks, tankcontainers en wissellaadtanks, bestemd voor het vervoer van stoffen van alle klassen, en op batterijwagens en MEGC's, bestemd voor het vervoer van gassen van klasse 2.

De secties 6.8.3 tot en met 6.8.5 bevatten bijzondere bepalingen die een aanvulling vormen op of een afwijking inhouden van de voorschriften van sectie 6.8.2.

 

6.8.1.4

Voor voorschriften betreffende het gebruik van deze tanks zie hoofdstuk 4.3.

 

6.8.1.5

Procedures voor conformiteitsbeoordeling, typegoedkeuring en procedures voor onderzoeken

In de volgende bepalingen wordt beschreven hoe de procedures van 1.8.7 moeten worden toegepast.

Opmerking: Deze bepalingen zijn van toepassing, op voorwaarde dat de onderzoeksinstanties voldoen aan de bepalingen van 1.8.6, en onverminderd de rechten en verplichtingen, met name over kennisgeving en erkenning, die voor hen zijn vastgesteld in overeenkomsten of wetsbesluiten (bijv. Richtlijn 2010/35/EU) die anderszins bindend zijn voor Overeenkomstsluitende Partijen van ADR Voor de toepassing van deze subsectie wordt onder "land van registratie" verstaan:

 

  • Overeenkomstsluitende Partij van ADR voor registratie van het voertuig waarop de tank is gemonteerd;
  • voor afneembare tanks, de Overeenkomstsluitende Partij van ADR waar de eigenaar of exploitant van de onderneming is geregistreerd.

 

  • De Overeenkomstsluitende Partij van ADR waar de eigenaar of exploitant van de onderneming is geregistreerd.
  • Als de onderneming van de eigenaar of exploitant niet bekend is, de Overeenkomstsluitende Partij bij het ADR van de bevoegde autoriteit die de onderzoeksinstantie heeft erkend die het eerste onderzoek heeft uitgevoerd. Niettegenstaande 1.6.4.57 moeten deze onderzoeksinstanties zijn geaccrediteerd volgens EN ISO/IEC 17020:2012 (uitgezonderd bepaling 8.1.3) Type A.

 

 

Bij de conformiteitsbeoordeling van de tank wordt gecontroleerd of alle onderdelen ervan aan de voorschriften van het ADR voldoen, ongeacht waar zij zijn vervaardigd.

 

6.8.1.5.1

Onderzoek van het type overeenkomstig 1.8.7.2.1

  1. De fabrikant van de tank moet één enkele onderzoeksinstantie inschakelen en belasten met de verantwoordelijkheid voor het onderzoek van het type, die is erkend of toegelaten door de
    bevoegde autoriteit van of het land van vervaardiging van de tank of het eerste land van registratie van de eerste tank die overeenkomstig dat type is vervaardigd.

    Indien het land van vervaardiging geen Overeenkomstsluitende Partij bij het ADR is, moet de fabrikant één enkele onderzoeksinstantie inschakelen en belasten met de verantwoordelijkheid voor het onderzoek van het type, die is erkend of toegelaten door de bevoegde autoriteit van het land van
    registratie van de eerste tank die overeenkomstig dat type is vervaardigd.

    Opmerking: Tot en met 31 december 2028 moet het onderzoek van het type worden verricht door een onderzoeksinstantie die is erkend of toegelaten door het land van registratie.

  2. Indien het onderzoek van het type van de bedrijfsuitrusting afzonderlijk van de tank wordt verricht overeenkomstig 6.8.2.3.1, moet de fabrikant van de bedrijfsuitrusting één onderzoeksinstantie inschakelen en belasten met de verantwoordelijkheid voor het onderzoek van het type, die is erkend of toegelaten door een bevoegde autoriteit van een Overeenkomstsluitende Partij bij het ADR.

 

6.8.1.5.2

Afgifte van het typegoedkeuringscertificaat overeenkomstig 1.8.7.2.2

Het typegoedkeuringscertificaat wordt alleen afgegeven door de bevoegde autoriteit die de onderzoeksinstantie heeft erkend of toegelaten die het onderzoek van het type heeft uitgevoerd.

Wanneer echter de bevoegde autoriteit een onderzoeksinstantie heeft aangewezen om het typegoedkeuringscertificaat af te geven, moet het onderzoek van het type door die onderzoeksinstantie worden uitgevoerd.

 

6.8.1.5.3

Toezicht op fabricage overeenkomstig 1.8.7.3

  1. Voor het toezicht op de fabricage moet de fabrikant van de tank één onderzoeksinstantie inschakelen en belasten met de verantwoordelijkheid voor het onderzoek van het type, die is erkend of toegelaten door de bevoegde autoriteit van of het land van registratie of het land van fabricage.
    Indien het land van fabricage geen Overeenkomstsluitende Partij bij het ADR is, moet de fabrikant één onderzoeksinstantie inschakelen, die is erkend of toegelaten door de bevoegde autoriteit van het land van registratie.
  2. Indien het onderzoek van het type van de bedrijfsuitrusting afzonderlijk van de tank wordt verricht, moet de fabrikant van de bedrijfsuitrusting één onderzoeksinstantie inschakelen, die is erkend of toegelaten door een bevoegde autoriteit van een Overeenkomstsluitende Partij bij het ADR.
    De fabrikant mag voor de uitvoering van de procedures van 1.8.7.3 gebruik maken van een interne inspectiedienst overeenkomstig 1.8.7.7.

 

6.8.1.5.4

Eerste onderzoek en beproevingen overeenkomstig 1.8.7.4

  1. De fabrikant van de tank moet één onderzoeksinstantie inschakelen en belasten met de verantwoordelijkheid voor het eerste onderzoek en beproeving, die is erkend of toegelaten door de bevoegde autoriteit van of het land van registratie of het land van vervaardiging van de tank.
    Indien het land van vervaardiging geen Overeenkomstsluitende Partij bij het ADR is, moet een fabrikant één onderzoeksinstantie inschakelen en belasten met de verantwoordelijkheid voor het eerste onderzoek en beproeving, die is erkend of toegelaten door de bevoegde autoriteit van het land van registratie van de tank.

    Opmerking: Tot en met 31 december 2032 moet het eerste onderzoek worden verricht door een onderzoeksinstantie die door het land van registratie is erkend of toegelaten.

  2. Indien voor de bedrijfsuitrusting afzonderlijk van de tank typegoedkeuring wordt verleend, moet de fabrikant van de bedrijfsuitrusting dezelfde onderzoeksinstantie die voor de uitvoering van 6.8.1.5.3 b) is ingeschakeld, belasten met de verantwoordelijkheid voor het eerste onderzoek en beproeving.
    De fabrikant mag voor de uitvoering van de procedures van 1.8.7.4 gebruik maken van een interne inspectiedienst overeenkomstig 1.8.7.7.

 

6.8.1.5.5

Verificatie bij ingebruikname overeenkomstig 1.8.7.5

De bevoegde autoriteit van het land van eerste registratie mag , op incidentele basis, een controle bij ingebruikname van de tank eisen om na te gaan of aan de toepasselijke voorschriften wordt voldaan.

Wanneer het land van registratie van een tankwagen wordt gewijzigd, mag de bevoegde autoriteit van de Overeenkomstsluitende Partij bij het ADR waarnaar de tankwagen wordt overgebracht, op incidentele basis, een controle bij ingebruikneming van de tank eisen.

 

De bevoegde autoriteit van het land van eerste registratie mag, op incidentele basis, een controle bij ingebruikname van de tank eisen om na te gaan of aan de toepasselijke voorschriften wordt voldaan.

Wanneer het land van registratie van een tankcontainer wordt gewijzigd, mag de bevoegde autoriteit van de Overeenkomstsluitende Partij bij het ADR waarnaar de tankcontainer wordt overgebracht, op incidentele basis, een controle bij ingebruikneming van de tank eisen.

 

Voor het uitvoeren van de controle bij ingebruikneming moet de eigenaar of exploitant van de tank één onderzoeksinstantie inschakelen, die verschilt van de onderzoeksinstanties die werden ingeschakeld voor het onderzoek van het type, het toezicht op de fabricage of het eerste onderzoek.

De onderzoeksinstantie ingeschakeld voor de controle bij ingebruikname is erkend door de bevoegde autoriteit van het land van registratie of, indien een dergelijke onderzoeksinstantie niet bestaat, moet de onderzoeksinstantie zijn toegelaten door de bevoegde autoriteit van het land van registratie.

Bij de controle bij ingebruikneming wordt de staat van de tank in beschouwing genomen en wordt gecontroleerd of aan de voorschriften van het ADR is voldaan.

 

6.8.1.5.6

Tussentijds-, periodiek of buitengewoon onderzoek overeenkomstig 1.8.7.6

Het tussentijdse, periodieke of buitengewone onderzoek moet worden uitgevoerd:

in het land van registratie door een onderzoeksinstantie die door de bevoegde autoriteit van dat land is erkend of toegelaten.

Buitengewone onderzoeken mogen ook worden uitgevoerd in het land van vervaardiging door een onderzoeksinstantie die is erkend of toegelaten door de bevoegde autoriteit van het land van vervaardiging of het land van registratie.

 

 door een onderzoeksinstantie die is erkend of toegelaten door de bevoegde autoriteit van de Overeenkomstsluitende Partij bij het ADR waar het onderzoek wordt uitgevoerd of door een onderzoeksinstantie die is erkend of toegelaten door de bevoegde autoriteit van het land van registratie.

 

De eigenaar of exploitant van de tank, of diens  gemachtigde, schakelt één enkele onderzoeksinstantie in voor elk tussentijds-, periodiek of buitengewoon onderzoek.

 

6.8.2

Voorschriften van toepassing op alle klassen

6.8.2.1

Constructie

6.8.2.1.1

Basisprincipes

De reservoirs, hun bevestigingen, bedrijfsuitrusting en constructieve uitrusting moeten zodanig ontworpen zijn, dat zij zonder verlies van de inhoud (uitgezonderd hoeveelheden gas die uit de eventuele ontgassingsopeningen ontsnappen) ten minste weerstand kunnen bieden aan:

  • de statische en dynamische belastingen onder normale vervoersomstandigheden zoals gedefinieerd in 6.8.2.1.2 en 6.8.2.1.13;
  • de in 6.8.2.1.15 voorgeschreven minimumbelastingen.

 

6.8.2.1.2

De tanks en hun bevestigingsmiddelen moeten bij de hoogst toelaatbare belading de volgende krachten kunnen opnemen, die uitgeoefend worden door:

  • in de rijrichting: tweemaal de totale massa;
  • loodrecht op de rijrichting: eenmaal de totale massa;
  • verticaal, van beneden naar boven: eenmaal de totale massa;
  • verticaal, van boven naar beneden: tweemaal de totale massa.

 

 De tankcontainers* en hun bevestigingsmiddelen moeten bij de hoogst toelaatbare belading de volgende krachten kunnen opnemen, die gelijk zijn aan die, welke uitgeoefend worden door:

  • in de rijrichting: tweemaal de totale massa;
  • horizontaal loodrecht op de rijrichting: eenmaal de totale massa; (daar waar de rijrichting niet duidelijk is bepaald, tweemaal de totale massa in elke richting);
  • verticaal, van beneden naar boven: eenmaal de totale massa;
  • verticaal, van boven naar beneden: tweemaal de totale massa.

* Zie ook 7.1.3.

 

6.8.2.1.3

De wanddikten van de reservoirs moeten ten minste de waarden hebben, gespecificeerd in

6.8.2.1.4

Reservoirs moeten zijn ontworpen en geconstrueerd overeenkomstig de voorschriften van normen, opgesomd in 6.8.2.6, of technische regels erkend door de bevoegde autoriteit, overeenkomstig 6.8.2.7, waarbij voor de keuze van het materiaal en de vaststelling van de wanddikte van het reservoir rekening moet worden gehouden met de hoogste en de laagste vul- en bedrijfstemperatuur; de volgende minimumeisen van 6.8.2.1.6 t/m 6.8.2.1.26 moeten echter in acht worden genomen.

 

6.8.2.1.5

Reservoirs, bestemd voor bepaalde gevaarlijke stoffen, moeten voorzien zijn van een extra bescherming.

Deze kan bestaan uit een verhoogde wanddikte van het reservoir (verhoogde berekeningsdruk) vastgesteld op grond van de aard van de gevaren die de betreffende stoffen vertonen, of uit een beschermende voorziening (zie de bijzondere bepalingen van 6.8.4).

 

6.8.2.1.6

De lasverbindingen moeten volgens de regels der techniek zijn uitgevoerd en alle waarborgen van veiligheid bieden.

De uitvoering en de beproeving van de lasverbindingen moet voldoen aan de bepalingen van 6.8.2.1.23.

 

6.8.2.1.7

Er moeten maatregelen worden genomen om de reservoirs te beschermen tegen de gevaren van vervorming als gevolg van inwendige onderdruk.

Reservoirs, met uitzondering van reservoirs volgens 6.8.2.2.6, die bestemd zijn om met vacuümkleppen uitgerust te worden, moeten in staat zijn zonder blijvende vervorming een uitwendige overdruk van ten minste 21 kPa (0,21 bar) ten opzichte van de inwendige druk te doorstaan.

Reservoirs die alleen worden gebruikt voor het vervoer van vaste (poeder- of korrelvormige) stoffen van de verpakkingsgroepen II of III, die tijdens het vervoer niet vloeibaar worden, mogen worden ontworpen voor een lagere uitwendige overdruk, maar voor ten minste 5 kPa (0,05 bar).

De vacuümkleppen moeten zijn ingesteld om zich te openen bij een onderdruk die niet groter is dan de onderdruk waarvoor de tank is ontworpen.

Reservoirs die niet bestemd zijn om met een vacuümklep te worden uitgerust, moeten in staat zijn zonder blijvende vervorming een uitwendige overdruk van ten minste 40 kPa (0,4 bar) ten opzichte van de inwendige druk te doorstaan.

 

6.8.2.1.8

Materialen van de reservoirs

De reservoirs moeten zijn vervaardigd van geschikte metaalsoorten die, tenzij in de verschillende klassen andere temperatuurgebieden zijn voorzien, tussen -20 °C en +50 °C ongevoelig moeten zijn voor brosse breuk en spanningscorrosie.

 

6.8.2.1.9

De materialen van de reservoirs of hun beschermende binnen bekledingen, die met de inhoud in aanraking komen, mogen geen stoffen bevatten die op gevaarlijke wijze met de inhoud kunnen reageren  (zie "Gevaarlijke reactie" in 1.2.1), gevaarlijke producten kunnen vormen of het materiaal aanzienlijk kunnen verzwakken.

Indien het contact tussen de vervoerde stof en het voor de bouw van het reservoir gebruikte materiaal een voortdurende vermindering veroorzaakt van de wanddikte van het reservoir, moet de wanddikte bij de vervaardiging van het reservoir met een aangepaste waarde worden verhoogd.

Bij de berekening van de wanddikte van het reservoir mag deze corrosietoeslag niet in aanmerking worden genomen.

 

6.8.2.1.10

Voor gelaste reservoirs mogen slechts materialen worden gebruikt die zich zeer goed lenen voor het lassen en waarvoor een voldoende kerfslagwaarde kan worden gegarandeerd bij een omgevingstemperatuur van -20 °C, in het bijzonder in de lasnaden en in de warmtebeïnvloede zones.

Bij gebruik van fijnkorrelig staal mag, volgens de materiaalspecificatie, de gegarandeerde waarde van de rekgrens Re de 460 N/mm2 niet overschrijden en mag de bovenste grenswaarde van de gegarandeerde treksterkte Rm de 725 N/mm2 niet overschrijden.

 

6.8.2.1.11

Bij gelaste stalen reservoirs mag de verhouding Re/Rm niet groter zijn dan 0,85.

Re = vloeigrens voor staalsoorten met een duidelijk gedefinieerde vloeigrens, of 0,2%-rekgrens voor staalsoorten zonder duidelijk gedefinieerde vloeigrens (de 1%-rekgrens voor austenitische staalsoorten).
Rm = treksterkte.

Bij het vaststellen van deze verhouding moeten in elk geval de in het inspectiecertificaat van het materiaal vastgelegde waarden als grondslag worden genomen.

 

6.8.2.1.12

De rek bij breuk, uitgedrukt in procenten, moet bij staal ten minste overeenkomen met de waarde

6.8.2.1.12

maar mag echter bij fijnkorrelig constructiestaal niet minder bedragen dan 16% en bij andere staalsoorten niet minder dan 20%. Bij aluminiumlegeringen mag de rek bij breuk niet minder bedragen dan 12%.*

Bij metaalplaat moet de as van de proefstukken voor de trekproef loodrecht op de walsrichting liggen.

* De blijvende rek bij breuk moet worden gemeten aan proefstukken met een cirkelronde dwarsdoorsnede, waarbij de lengte tussen de merkstrepen l gelijk is aan vijfmaal de diameter d (l = 5d); indien proefstukken met een rechthoekige doorsnede worden gebruikt, moet de afstand tussen de merkstrepen worden berekend met de formule:

6.8.2.1.13

6.8.2.1.13

Berekening van de wanddikte van het reservoir

Bij het bepalen van de wanddikte van het reservoir moet worden uitgegaan van een druk die ten minste gelijk is aan de berekeningsdruk, daarbij tevens rekening houdend met de in 6.8.2.1.1 genoemde belastingen, alsmede, voor zover van toepassing, met de volgende belastingen:

Bij voertuigen waar de tank een zelfdragend deel van het voertuig uitmaakt, moet het reservoir zodanig zijn berekend dat het de belastingen die hiervan het gevolg zijn, kan weerstaan, naast de krachten die door andere oorzaken optreden.

Onder deze belastingen mag de spanning op het meest belaste punt van het reservoir en zijn bevestigingsmiddelen niet meer bedragen dan de waarde σ (sigma) gedefinieerd in 6.8.2.1.16.

 

Onder elk van deze belastingen moeten de in acht te nemen veiligheidsfactoren de volgende zijn:

  • voor metalen met een duidelijk gedefinieerde vloeigrens: een veiligheidsfactor 1,5 met betrekking tot de duidelijke vloeigrens; of
  • voor metalen zonder een duidelijk gedefinieerde vloeigrens: een veiligheidsfactor van 1,5 met betrekking tot de gegarandeerde 0,2%-rekgrens (1%-rekgrens voor austenitische staalsoorten).

 

 

 

6.8.2.1.14

De berekeningsdruk is aangegeven in het tweede deel van de code (zie 4.3.4.1) overeenkomstig kolom (12) van tabel A van hoofdstuk 3.2.
Indien een “G” is aangegeven, zijn de volgende voorschriften van toepassing:

  1. Reservoirs, waarbij het lossen plaatsvindt door de zwaartekracht en die zijn bestemd voor het vervoer van stoffen met een dampdruk van ten hoogste 110 kPa (1,1 bar) (absolute druk) bij 50 °C, moeten berekend zijn volgens een druk, gelijk aan tweemaal de statische druk van de te vervoeren stof, doch niet lager dan tweemaal de statische druk van water;
  2. Reservoirs, waarbij het laden of lossen plaatsvindt onder druk en die bestemd zijn voor het vervoer van stoffen met een dampdruk van ten hoogste 110 kPa (1,1 bar) (absolute druk) bij 50 °C, moeten berekend zijn volgens een druk, gelijk aan 1,3 maal de voor het laden of lossen benodigde druk.
    Indien de numerieke waarde van de laagste berekeningsdruk (overdruk) wordt aangegeven, moet het reservoir worden berekend voor deze druk, die echter niet lager mag zijn dan 1,3 maal de vul- of losdruk. De volgende minimumeisen zijn in deze gevallen van toepassing:
  3. Reservoirs, bestemd voor het vervoer van stoffen met een dampdruk hoger dan 110 kPa (1,1 bar) (absolute druk) bij 50 °C en een kookpunt hoger dan 35°C, moeten, ongeacht de wijze van laden of lossen, berekend zijn volgens een druk van ten minste 150 kPa (1,5 bar) (overdruk) of 1,3 maal de voor het laden of lossen benodigde druk, indien deze hoger is;
  4. Reservoirs, bestemd voor het vervoer van stoffen met een kookpunt van ten hoogste 35 °C, moeten, ongeacht de wijze van laden of lossen, berekend zijn volgens een druk, gelijk aan 1,3 maal de voor het laden of lossen benodigde druk, doch ten minste 0,4 MPa (4 bar) (overdruk).

 

6.8.2.1.15

Bij de beproevingsdruk moet de spanning  σ (sigma) op het meest belaste punt van het reservoir lager zijn dan of gelijk zijn aan de hierna genoemde grenswaarden, die afhankelijk van de materialen zijn vastgesteld.

Daarbij moet rekening worden gehouden met een eventuele verzwakking door de lasnaden.

 

6.8.2.1.16

Voor alle metalen en legeringen moet de spanning σ (sigma) bij de beproevingsdruk lager zijn dan de kleinste van de door de volgende formules gegeven waarden:

σ ≤ 0,75 Re of σ ≤ 0,5 Rm

waarin:

Re = vloeigrens voor staalsoorten met een duidelijk gedefinieerde vloeigrens, of 0,2%-rekgrens voor staalsoorten zonder duidelijk gedefinieerde vloeigrens (de 1%-rekgrens voor austenitische staalsoorten).
Rm = treksterkte.

De te gebruiken waarden van Re en Rm zijn de gespecificeerde minimumwaarden volgens de materiaalnormen. Indien voor het betreffende metaal of de legering geen materiaalnorm bestaat, moeten de gebruikte waarden van Re en Rm worden goedgekeurd door de bevoegde autoriteit.

De gespecificeerde minimumwaarden volgens de materiaalnormen mogen bij gebruik van austenitische staalsoorten hoogstens 15% worden overschreden, onder voorwaarde dat deze hogere waarden in het leveringscertificaat van het materiaal worden bevestigd.

De minimumwaarden mogen evenwel niet worden overschreden indien de in 6.8.2.1.18 gegeven formule toegepast wordt.

 

6.8.2.1.17

Minimale wanddikte van het reservoir

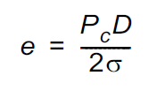
De dikte van de wand van het reservoir moet ten minste gelijk zijn aan de hoogste van de twee waarden, verkregen met de volgende formules:

6.8.2.1.17 1  6.8.2.1.17 2 

waarin:
e = mimimale wanddikte van het reservoir in mm
PT = beproevingsdruk in MPa
PC = berekeningsdruk in MPa zoals gespecificeerd in 6.8.2.1.14 of in de tabel in 4.3.3.1.1
D = inwendige diameter van het reservoir in mm;
σ = toelaatbare spanning, zoals gedefinieerd in 6.8.2.1.16, in N/mm2
λ = een coëfficiënt kleiner dan 1, afhankelijk van een eventuele verzwakking door de lasverbindingen en afhankelijk van de in 6.8.2.1.23 gedefinieerde onderzoeksmethoden.

In geen geval mag de dikte echter minder bedragen dan de waarden, vastgesteld in

 

6.8.2.1.18 t/m 6.8.2.1.21

 

6.8.2.1.18 t/m 6.8.2.1.20

 

 

 

6.8.2.1.18

Reservoirs met een cirkelvormige dwarsdoorsnede, uitgezonderd die genoemd zijn in 6.8.2.1.21, met een diameter van 1,80 m of minder moeten een wanddikte hebben van ten minste 5 mm, indien zij zijn vervaardigd van zacht staal*1, of een gelijkwaardige dikte bij gebruik van een ander metaal.

Indien de diameter groter is dan 1,80 m, dan moet, behalve bij reservoirs bestemd voor het vervoer van poedervormige of korrelvormige stoffen, deze dikte worden verhoogd tot 6 mm, indien zij zijn vervaardigd van zacht staal*1, of tot een gelijkwaardige dikte bij gebruik van een ander metaal.

 

Reservoirs moeten een wanddikte hebben van niet minder dan 5 mm, indien zij zijn vervaardigd van zacht staal*1 (conform de voorschriften van 6.8.2.1.11 en 6.8.2.1.12) of van een gelijkwaardige dikte, indien zij van een ander metaal zijn vervaardigd.

Indien de diameter groter is dan 1,80 m, dan moet, behalve bij tanks bestemd voor het vervoer van poedervormige of korrelvormige stoffen, deze dikte worden verhoogd tot 6 mm, indien zij zijn vervaardigd van zacht staal*2, of tot een gelijkwaardige dikte bij gebruik van een ander metaal.

Ongeacht het gebruikte metaal mag de wanddikte van het reservoir in geen geval minder zijn dan 3 mm.

 

Onder "gelijkwaardige dikte" wordt verstaan de dikte welke overeenkomstig de volgende formule*3 is vastgesteld:

6.8.2.1.18

 *1 Voor niet-cilindrische reservoirs, bijvoorbeeld koffervormige of elliptische reservoirs, moet de genoemde diameter overeenkomen met die diameters welke worden verkregen, uitgaande van een cilindrische diameter met dezelfde oppervlakte.
Voor deze typen dwarsdoorsnede mag de kromtestraal van het reservoir niet meer zijn dan 2000 mm aan de zijkanten of 3000 mm aan de boven- en onderzijde.

*2  Voor de definities van "zacht staal" en "referentiestaal" zie 1.2.1. Zacht staal” omvat in dit geval ook een staalsoort die in EN- materiaalnormen wordt aangeduid als “zacht staal”, met een minimum treksterkte tussen 360 N/mm² en 490 N/mm² en een minimale rek bij breuk overeenkomstig 6.8.2.1.12.

*3 Deze formule is ontleend aan de algemene formule:

6.8.2.1.18 2waarin:
e = minimale wanddikte van het reservoir voor het gekozen metaal in mm;
eo = minimale wanddikte van het reservoir voor zacht staal, in mm, volgens 6.8.2.1.18 en 6.8.2.1.19;
Rmo = 370 (treksterkte van referentiestaal, zie de definitie in 1.2.1, in N/mm2);
Ao = 27 (rek bij breuk van referentiestaal, in %);
Rm1 = minimale treksterkte van het gekozen metaal, in N/mm2; en
A1 = minimale rek bij breuk onder trekspanning van het gekozen metaal, in %.

 

6.8.2.1.19

Wanneer de tank overeenkomstig 6.8.2.1.20 is beschermd tegen beschadiging als gevolg van botsingen van opzij of kantelen, kan de bevoegde autoriteit een vermindering van de eerder genoemde minimumdikte toestaan in verhouding tot de aangebrachte bescherming; genoemde dikte mag echter niet minder zijn dan 3 mm bij gebruik van zacht staal, of een gelijkwaardige dikte bij gebruik van ander materiaal, voor reservoirs met een diameter van niet meer dan 1,80 m.

Bij reservoirs met een diameter van meer dan 1,80 m moet de eerdergenoemde minimum dikte worden verhoogd tot 4 mm bij gebruik van zacht staal en tot een gelijkwaardige dikte bij gebruik van een ander metaal.

Onder "gelijkwaardige dikte" wordt verstaan de dikte welke overeenkomstig de formule in 6.8.2.1.18 is vastgesteld.

Behalve in gevallen waarin 6.8.2.1.21 voorziet, mag de wanddikte van reservoirs met bescherming tegen beschadiging volgens 6.8.2.1.20 a) of b) niet minder zijn dan de in de tabel hieronder gegeven waarden.

 

Wanneer de tank overeenkomstig 6.8.2.1.20 is beschermd tegen beschadiging, kan de bevoegde autoriteit een vermindering van de eerdergenoemde minimumdikte toestaan in verhouding tot de aangebrachte bescherming; genoemde dikte mag echter niet minder zijn dan 3 mm bij gebruik van zacht staal, of een gelijkwaardige dikte bij gebruik van ander materiaal, voor reservoirs met een diameter van niet meer dan 1,80 m.

Bij reservoirs met een diameter van meer dan 1,80 m moet deze minimumdikte worden verhoogd tot 4 mm bij gebruik van zacht staal en tot een gelijkwaardige dikte bij gebruik van een ander metaal.

Onder "gelijkwaardige dikte" wordt verstaan de dikte welke overeenkomstig de formule in 6.8.2.1.18 is vastgesteld.

De wanddikte van reservoirs met bescherming tegen beschadiging volgens 6.8.2.1.20 mag niet minder zijn dan de in de tabel hieronder geven waarden.

 

 

  Diameter van het reservoir ≤ 1,80 m > 1,80 m
Minimale wanddikte van het reservoir Austenitische roestvrije staalsoorten 2,5 mm 3 mm
Austenitisch-ferritische roestvrije staalsoorten 3 mm 3,5 mm
Andere staalsoorten 3 mm 4 mm
Aluminiumlegeringen 4 mm 5 mm
99,80% zuiver aluminium 6 mm 8 mm

 

6.8.2.1.20

Voor tanks die zijn gebouwd na 1 januari 1990 is er sprake van bescherming tegen beschadiging in de zin van 6.8.2.1.19 indien de volgende, of gelijkwaardige*2, maatregelen zijn genomen:

  1. In geval van reservoirs, bestemd voor het vervoer van poedervormige of korrelvormige stoffen, moet de bescherming tegen beschadiging ten genoegen van de bevoegde autoriteit zijn.
  2. In geval van reservoirs, bestemd voor het vervoer van andere stoffen, is er sprake van bescherming tegen beschadiging indien:
    1. Bij reservoirs met een cirkelvormige dwarsdoorsnede of elliptische dwarsdoorsnede waarvan de kromtestraal ten hoogste 2 m is, het reservoir is voorzien van verstevigingselementen bestaande uit scheidingswanden,slingerschotten of uitwendige of inwendige ringen, die op zodanige wijze zijn geplaatst dat ten minste aan een van de volgende voorwaarden wordt voldaan:
      • De afstand tussen twee aangrenzende versterkingselementen is ten hoogste 1,75 m;
      • Het volume dat zich bevindt tussen twee scheidingswanden of slingerschotten welke worden gebruikt als verstevigingselementen is ten hoogste 7500 l is.

De dwarsdoorsnede van een ring tezamen met het daarmee geassocieerde rompdeel moet een weerstandsmoment van ten minste 10 cm3 hebben.

De uitwendige ringen mogen geen scherpe kanten hebben met een straal kleiner dan 2,5 mm.

De scheidingswanden en slingerschotten moeten voldoen aan de voorschriften van 6.8.2.1.22.

De dikte van de scheidingswanden en slingerschotten mag in geen geval minder zijn dan die van het reservoir.

    1. Bij dubbelwandige tanks met vacuümisolatie, de som van de wanddikte van de metalen buitenwand en van het reservoir overeenkomt met de wanddikte die is voorgeschreven in 6.8.2.1.18 en de wanddikte van het reservoir zelf niet minder is dan de minimum wanddikte, voorgeschreven in 6.8.2.1.19.
    2. Bij dubbelwandige tanks met een tussenlaag van vaste stoffen met een dikte van ten minste 50 mm, de buitenwand een dikte bezit van ten minste 0,5 mm indien deze is vervaardigd van zacht staal*1, of van ten minste 2 mm indien deze is vervaardigd van glasvezelversterkte kunststof. Als tussenlaag van vaste stoffen kan gebruik gemaakt worden van hard schuim (met schokabsorberend vermogen, zoals bijvoorbeeld polyurethaanschuim).
    3. Reservoirs met een andere vorm dan onder 1. bedoeld, in het bijzonder koffervormige reservoirs, geheel rondom het reservoir ter hoogte van de middellijn en over ten minste 30% van hun hoogte zijn voorzien van een aanvullende bescherming, die zodanig is dat een specifieke weerstand wordt geboden die ten minste gelijk is aan die van een van zacht staal3 vervaardigde tank met een wanddikte van 5 mm (indien de diameter van het reservoir niet groter is dan 1,80 m) of van 6 mm (indien de diameter van het reservoir groter is dan 1,80 m). De aanvullende bescherming moet op duurzame wijze aan het reservoir zijn aangebracht.

      Aan deze eis wordt geacht te zijn voldaan zonder verdere beproeving van de specifieke weerstand indien de aanvullende bescherming inhoudt dat een plaat van hetzelfde materiaal als het reservoir op het te versterken gedeelte wordt gelast, zodat de minimum wanddikte voldoet aan 6.8.2.1.18.

      Deze bescherming is afhankelijk van de bij een ongeval mogelijk optredende krachten, uitgeoefend op reservoirs van zacht staal, waarvan de bodems en wanden een dikte hebben van ten minste 5 mm indien de diameter niet groter is dan 1,80 m of van ten minste 6 mm indien de diameter groter is dan 1,80 m.

      Bij gebruik van een ander metaal moet de gelijkwaardige dikte overeenkomstig de formule van 6.8.2.1.18 worden vastgesteld.

      In geval van afneembare tanks is deze bescherming niet vereist, indien zij aan alle kanten worden beschermd door de laadbak schotten van het dragende voertuig.

 

De bescherming bedoeld in 6.8.2.1.19 kan bestaan uit:

  • een totale uitwendige structurele bescherming zoals bij een “sandwich” -constructie, waar de uitwendige bescherming aan het reservoir is bevestigd; of
  • een constructie waarbij het reservoir is ondersteund door een volledig raamwerk met inbegrip van constructieve elementen in de lengte- en dwarsrichting, of
  • een dubbelwandige uitvoering van de tank.

Bij dubbelwandige tanks met vacuümisolatie moet de som van de wanddikte van de metalen buitenwand en van het reservoir overeenkomen met de wanddikte die is voorgeschreven in 6.8.2.1.18 en de wanddikte van het reservoir zelf niet minder is dan de minimum wanddikte, voorgeschreven in 6.8.2.1.19.

Bij dubbelwandige tanks met een tussenlaag van vaste stoffen met een dikte van ten minste 50 mm moet de buitenwand een dikte bezitten van ten minste 0,5 mm indien deze is vervaardigd van zacht staal*1, of van ten minste 2 mm indien deze is vervaardigd van glasvezelversterkte kunststof.

Als tussenlaag van vaste stoffen kan gebruik gemaakt worden van hard schuim met schokabsorberend vermogen, zoals bijvoorbeeld polyurethaanschuim.

 

*1 Voor de definities van "zacht staal" en "referentiestaal" zie 1.2.1. Zacht staal” omvat in dit geval ook een staalsoort die in EN-materiaalnormen wordt aangeduid als “zacht staal”, met een minimum treksterkte tussen 360 N/mm² en 490 N/mm² en een minimale rek bij breuk overeenkomstig 6.8.2.1.12.

*2 Onder gelijkwaardige maatregelen wordt verstaan maatregelen voorgeschreven in normen waarnaar wordt verwezen in 6.8.2.6.

 

6.8.2.1.21

Dit artikel is van toepassing op
- vaste tanks (tankwagens), afneembare tanks en batterijwagens

die worden gebruikt voor het vervoer van gasvormige, vloeibare, poedervormige of korrelvormige stoffen.

De reservoirs die zijn ontworpen overeenkomstig 6.8.2.1.14 a), die óf een totale inhoud hebben van niet meer dan 5000 liter óf die zijn verdeeld in vloeistofdichte compartimenten met een inhoud van niet meer dan 5000 liter per compartiment, mogen een wanddikte hebben die niet minder is dan de van toepassing zijnde waarden in de volgende tabel, tenzij in 6.8.3 of 6.8.4 anders is voorgeschreven:

Maximale kromtestraal    van het reservoir (m) Inhoud      van het   reservoir of    reservoir- compartiment (m3) Minimale wanddikte (mm)
Zacht staal
≤ 2 ≤5,0 3
2 - 3 ≤3,5 3
  >3,5 maar ≤5,0 4

Indien een ander metaal dan zacht staal*1 wordt toegepast, moet de wanddikte worden bepaald aan de hand van de in 6.8.2.1.18 vermelde gelijkwaardigheidsformule; de dikte mag niet minder zijn dan de in de volgende tabel gegeven waarden:

  Maximale kromtestraal van het
reservoir (m)
≤ 2 2-3 2-3
Inhoud van het reservoir  of  reservoir- compartiment (m3) ≤ 5,0 ≤ 3,5 >3,5 maar
≤ 5,0

Minimale wanddikte
van het reservoir

Austenitsche roestvrije staalsoorten 2,5 mm 2,5 mm 3 mm
Austenitsch-ferritische roestvrije staalsoorten 3 mm 3 mm 3,5 mm
Andere staalsoorten 3 mm 3 mm 4 mm
Aluminiumlegeringen 4 mm 4 mm 5 mm
99,80% zuiver aluminium 6 mm 6 mm 8 mm

De dikte van de scheidingswanden en slingerschotten mag nooit minder zijn dan de dikte van het reservoir.

*1 Voor de definities van "zacht staal" en "referentiestaal" zie 1.2.1. Zacht staal” omvat in dit geval ook een staalsoort die in EN-materiaalnormen wordt aangeduid als “zacht staal”, met een minimum treksterkte tussen 360 N/mm² en 490 N/mm² en een minimale rek bij breuk overeenkomstig 6.8.2.1.12.

 

6.8.2.1.22

Slingerschotten en scheidingswanden moeten een bolling van ten minste 10 cm hebben, dan wel gegolfd, geprofileerd of anderszins versterkt zijn, opdat een gelijkwaardige stevigheid wordt geboden.

De oppervlakte van een slingerschot moet ten minste 70% bedragen van de oppervlakte van de doorsnede van de tank op de plaats waar het is aangebracht.

 

 

 

 

 

6.8.2.1.23

Het lassen en het onderzoek van de lasverbindingen

De inspectie-instelling die inspecties uitvoert in overeenstemming met 6.8.2.4.1 of 6.8.2.4.4, moet verifiëren en bevestigen dat de fabrikant of de onderhouds- of reparatiewerkplaats in staat is om laswerkzaamheden uit te voeren en een las-kwaliteitsborgingssysteem te hanteren. Lassen dient te worden uitgevoerd door gekwalificeerde lassers met een gekwalificeerd lasproces, waarvan de effectiviteit (inclusief eventuele vereiste warmtebehandelingen) door middel van tests is aangetoond.

De onderzoeksinstantie moet overeenkomstig 6.8.2.4.5 verifiëren en bevestigen dat het reparatie- en onderhoudsbedrijf in staat is laswerk uit te voeren. De fabrikant of het reparatie- en onderhoudsbedrijf moet een laskwaliteitsborgingssysteem hanteren.

Opmerking: Indien 6.8.5 van toepassing is, moet de kerfslagproef uitgevoerd voor de goedkeuring van het lasproces voldoen aan de voorschriften van 6.8.5.3.

Voor het bepalen van de wanddikten van het reservoir volgens 6.8.2.1.17 moeten overeenkomstig de waarde van de coëfficiënt λ (lambda) de volgende controles worden uitgevoerd van lassen die gemaakt zijn volgens elk door de fabrikant toegepast procedé. De laswerkzaamheden moeten door gekwalificeerde lassers worden uitgevoerd volgens een gekwalificeerd lasprocedé waarvan de kwaliteit (met inbegrip van de eventueel vereiste warmtebehandeling) door beproevingen van het procedé is aangetoond.

λ = 0,8: alle lasnaden moeten aan beide zijden zo veel mogelijk visueel zijn onderzocht en moeten niet-destructieve onderzoeken hebben ondergaan. De niet-destructieve onderzoeken moeten alle gelaste "T"-verbindingen omvatten, alle inzetstukken ter voorkoming van kruisende lassen en alle lassen in de kleine omhaling (radius) van de tankeindbodems.

De totale lengte van de te onderzoeken lasverbindingen mag niet minder zijn dan:
10 % van de som van de lengten van alle langsnaden,
10 % van de som van de lengten van alle rondnaden,
10 % van de som van de lengten van alle rondnaden in de tankbodems, en
10 % van de som van de lengten van alle radiale naden in de tankbodems.

λ = 0,9: alle lasnaden moeten aan beide zijden zo veel mogelijk visueel zijn onderzocht en moeten niet-destructieve onderzoeken hebben ondergaan. De niet-destructieve onderzoeken moeten alle verbindingen omvatten, alle inzetstukken ter voorkoming van kruisende lassen, alle lassen in de kleine omhaling (radius) van de tankeindbodems en alle lassen voor het samenstel van uitrustingsdelen met een grote diameter.

De totale lengte van de te onderzoeken lasverbindingen mag niet minder zijn dan:
100 % van de som van de lengten van alle langsnaden,
25 % van de som van de lengten van alle rondnaden,
25 % van de som van de lengten van alle rondnaden in de tankbodems, en
25 % van de som van de lengten van alle radiale naden in de tankbodems.

λ = 1,0: alle lasnaden moeten over de gehele lengte niet-destructief en zo veel mogelijk aan beide zijden visueel onderzocht zijn. De beproeving van meegelaste proefstukken is verplicht.

De niet-destructieve controles van de omtreklassen, de lengterichtingslassen en de radiale lassen worden uitgevoerd door middel van radiografie of ultrasoon geluid.

Andere lassen die zijn toegestaan in de toepasselijke ontwerp- en constructienorm moeten worden beproefd met alternatieve methoden in overeenstemming met de relevante norm(en) waarnaar wordt verwezen in 6.8.2.6.2. De controles moeten bevestigen dat de kwaliteit van het laswerk geschikt is voor de belastingen.

Lassen die zijn gemaakt tijdens reparaties of wijzigingen moeten worden beoordeeld zoals hierboven beschreven en in overeenstemming met de niet-destructieve beproevingen die zijn gespecificeerd in de desbetreffende norm(en) waarnaar wordt verwezen in 6.8.2.6.2.

Indien in een gedeelte van een las een onaanvaardbaar gebrek wordt vastgesteld, moeten bij zowel λ = 0,8 als λ = 0,9 de niet-destructieve onderzoeken worden uitgebreid naar een gedeelte van gelijke lengte aan beide zijden van het deel dat het gebrek vertoont.

Indien niet-destructieve onderzoeken een bijkomend onaanvaardbaar gebrek aan het licht brengen, moeten de niet-destructieve onderzoeken worden uitgebreid naar alle resterende lassen van hetzelfde soort lasprocédé.

Indien de keuringsinstantie twijfels heeft ten aanzien van de kwaliteit van de lassen, waaronder de lassen die gemaakt zijn om gebreken te herstellen die bij niet-destructieve onderzoeken zijn vastgesteld, kunnen aanvullende onderzoeken verplicht worden.

 

6.8.2.1.24

Andere constructievoorschriften

De beschermende binnenbekleding moet zodanig ontworpen zijn dat bij elke vervorming die onder normale vervoersomstandigheden (zie 6.8.2.1.2) kan optreden, de dichtheid van de bekleding is gewaarborgd.

 

6.8.2.1.25

Warmte-isolerende beschermingen moeten zodanig zijn ontworpen dat de toegang tot de inrichtingen voor het laden en lossen, alsmede de veiligheidskleppen en het functioneren van deze inrichtingen niet wordt belemmerd.

 

6.8.2.1.26

Indien reservoirs, bestemd voor het vervoer van brandbare vloeistoffen met een vlampunt van ten hoogste 60 °C zijn voorzien van niet-metalen beschermende bekledingen (binnenbekledingen), moeten de reservoirs en de beschermende bekledingen zodanig worden ontworpen dat geen gevaar van ontsteking door middel van elektrostatische ladingen kan optreden.

 

6.8.2.1.27

Reservoirs, bestemd voor het vervoer van vloeistoffen met een vlampunt van ten hoogste 60 °C of voor het vervoer van brandbare gassen, of van UN 1361 (1,2) kool of UN 1361 (1,2) roet van verpakkingsgroep II, moeten geleidend verbonden zijn met het chassis van het voertuig door middel van ten minste één goede elektrische verbinding.

Elk contact tussen metalen, dat elektrochemische corrosie kan veroorzaken, moet vermeden worden. De reservoirs moeten zijn voorzien van ten minste één aardpunt, die duidelijk is gemerkt met het symbool "6.8.2.1.27 ", geschikt om elektrisch te worden aangesloten.

 

Alle delen van een tankcontainer, bestemd voor het vervoer van vloeistoffen met een vlampunt van ten hoogste 60 °C of voor het vervoer van brandbare gassen, of van UN 1361 (1,2) kool of UN 1361 (1,2) roet van verpakkingsgroep II, moeten elektrisch kunnen worden geaard.

Elk contact tussen metalen, dat elektrochemische corrosie kan veroorzaken, moet vermeden worden.

 

 

 

6.8.2.1.28

Bescherming van armaturen, gemonteerd op het bovendeel van de tank De armaturen en appendages aan de bovenzijde van de tank moeten zijn beschermd tegen beschadiging als gevolg van kantelen.

Deze bescherming kan bestaan uit versterkingsringen, beschermkappen of in de lengte of dwarsrichting aangebrachte profielen van zodanige vorm dat afdoende bescherming wordt geboden.

 

 

 

6.8.2.2

Uitrustingsdelen

6.8.2.2.1

Voor de vervaardiging van bedrijfsuitrusting en constructieve uitrusting mogen ook geschikte nietmetalen materialen worden gebruikt.

Gelaste elementen moeten op zodanige wijze aan het reservoir worden bevestigd dat scheuren van het reservoir wordt voorkomen.

Gelaste elementen moeten op zodanige wijze aan het reservoir worden bevestigd dat scheuren van het reservoir wordt voorkomen.

De uitrustingsdelen moeten zodanig zijn aangebracht, dat zij tijdens het vervoer en de behandeling beschermd zijn tegen de gevaren van afbreken of beschadiging.

De uitrustingsdelen moeten veiligheidswaarborgen bieden, die zijn aangepast aan en vergelijkbaar zijn met die van de reservoirs zelf en moeten in het bijzonder:

  • verenigbaar zijn met de vervoerde stoffen; en
  • voldoen aan het bepaalde in 6.8.2.1.1.

Buisleidingen moeten zodanig zijn ontworpen, geconstrueerd en gemonteerd dat het gevaar van beschadiging als gevolg van thermische uitzetting en krimp, mechanische schokken en trillingen wordt vermeden.

 

Een zo groot mogelijk aantal inrichtingen moet op een zo klein mogelijk aantal openingen van de reservoirwand verzameld zijn.

De dichtheid van de bedrijfsuitrusting met inbegrip van de sluiting (deksel) van de inspectieopeningen moet zelfs bij kantelen van de tank zijn gewaarborgd, rekening houdend met de krachten die ontstaan als gevolg van een botsing (zoals acceleratie en dynamische druk).

Het in beperkte mate vrijkomen van de tankinhoud als gevolg van een drukpiek tijdens een botsing is echter toegestaan.

 

De dichtheid van de bedrijfsuitrusting moet zijn gewaarborgd, zelfs in het geval van kantelen van de tankcontainer.

 

De pakkingen moeten van een materiaal vervaardigd zijn dat verenigbaar is met de vervoerde stof en moeten worden vervangen zodra hun goede werking, bijv. door veroudering, is verminderd.

De pakkingen die de dichtheid waarborgen van de inrichtingen, die bij normaal gebruik van de tank bediend worden, moeten zodanig zijn ontworpen en aangebracht dat het bedienen van de inrichting, waar zij deel van uitmaken, hen niet beschadigt

 

6.8.2.2.2

Elke laad- of losopening aan de onderzijde van tanks waarvoor in kolom (12) van tabel A van hoofdstuk 3.2 een tankcode is aangegeven met de letter "A" als derde deel van de code (zie 4.3.4.1.1), moet zijn voorzien van ten minste twee van elkaar onafhankelijke in serie gemonteerde sluitingen, bestaande uit:

  • een uitwendige afsluiter, die buiten de tank is aangebracht, met een pijp van een vervormbare soort metaal, en
  • een afsluitinrichting aan het uiteinde van elke pijp; dit mag een schroefdop, een blindflens of een andere gelijkwaardige inrichting zijn. Deze afsluitinrichting moet voldoende dicht zijn, zodat geen lekkage van de stof mogelijk is. Er moeten maatregelen worden getroffen om het mogelijk te maken de druk in de lospijpop veilige wijze te reduceren, voordat de afsluitinrichting volledig wordt verwijderd.

Elke laad- of losopening aan de onderzijde van tanks waarvoor in kolom (12) van tabel A van hoofdstuk 3.2 een tankcode is aangegeven met de letter "B" als derde deel van de code (zie 4.3.3.1.1 of 4.3.4.1.1), moet zijn voorzien van ten minste drie van elkaar onafhankelijke in serie gemonteerde sluitingen, bestaande uit:

  • een inwendige afsluiter, d.w.z. een afsluiter die binnen het reservoir is gemonteerd, of in een aangelaste flens of contraflens
  • een uitwendige afsluiter of een andere gelijkwaardige inrichting *1

 

die zich bevindt aan het uiteinde van de laad- en lospijpen

 

zo dicht mogelijk bij het reservoir

 

en

  • een afsluitinrichting aan het uiteinde van elke pijp; dit mag een schroefdop, een blindflens of een andere gelijkwaardige inrichting zijn. Deze afsluitinrichting moet voldoende dicht zijn, zodat geen lekkage van de stof mogelijk is.

    Er moeten maatregelen worden getroffen om het mogelijk te maken de druk in de lospijp op veilige wijze te reduceren, voordat de afsluitinrichting volledig wordt verwijderd.

    Bij tanks, bestemd voor het vervoer van bepaalde kristalliseerbare of zeer viskeuze stoffen en bij reservoirs, voorzien van een beschermende bekleding, mag de inwendige afsluiter echter zijn vervangen door een uitwendige afsluiter, voorzien van een aanvullende bescherming.

    De inwendige afsluiter mag zowel van boven als van onderen bedienbaar zijn. In beide gevallen moet de stand - open of dicht - van de afsluiter zo mogelijk staande op de grond controleerbaar zijn.

    De bedieningsapparatuur van de inwendige afsluiter moet zodanig uitgevoerd zijn, dat elk ontijdig openen als gevolg van een schok of een niet opzettelijke handeling is uitgesloten.

    In geval van beschadiging van de uitwendige bedieningsapparatuur moet de inwendige afsluiter werkzaam blijven.

    Teneinde elk verlies van de inhoud in geval van beschadiging van de uitwendige laad- en losinrichtingen (pijpen, zijafsluiters) te vermijden, moeten de inwendige afsluiter en de zitting daarvan zodanig ontworpen of beschermd zijn dat zij niet kunnen afbreken ten gevolge van uitwendig belastingen.

    De laad- en losrichtingen (met inbegrip van flenzen of schroefdoppen) alsmede de eventuele beschermkappen moeten beveiligd kunnen worden tegen elk ontijdig openen.

    De stand en/of de sluitrichting van de afsluiters moet duidelijk herkenbaar zijn.

    Alle openingen van tanks waarvoor in kolom (12) van tabel A van hoofdstuk 3.2 een tankcode is aangegeven met de letter "C" of "D" in het derde deel van de code (zie 4.3.3.1.1 en 4.3.4.1.1), moeten zich boven de vloeistofspiegel bevinden.

    Deze tanks mogen niet voorzien zijn van pijpen of aansluitingen voor pijpen onder de vloeistofspiegel.

    Voor tanks waarvoor een tankcode is aangegeven met de letter “C” in het derde deel van de code, zijn reinigingsopeningen ("fist-holes") in het onderste deel van het reservoir evenwel toegestaan.

    Deze opening moet kunnen worden afgesloten door een dicht sluitende flens, waarvan het ontwerp door de bevoegde autoriteit moet zijn goedgekeurd.

*1 In het geval van tankcontainers met een inhoud van minder dan 1 m3 mag de uitwendige afsluiter of andere gelijkwaardige inrichting worden vervangen door een blindflens.

 

6.8.2.2.3

Tanks die niet hermetisch gesloten zijn, mogen zijn voorzien van vacuümkleppen om een ontoelaatbare inwendige onderdruk te vermijden; deze vacuümkleppen moeten zodanig worden ingesteld dat zij zich bij een onderdruk openen, die niet hoger is dan de onderdruk waarvoor de tank is ontworpen (zie 6.8.2.1.7).

Hermetisch gesloten tanks mogen niet van vacuümkleppen zijn voorzien.

Tanks met de tankcodes SGAH, S4AH of L4BH, die zijn uitgerust met vacuümkleppen die opengaan bij een onderdruk van ten minste 21 kPa (0,21 bar), moeten echter worden beschouwd als zijnde hermetisch gesloten.

Bij tanks, bestemd voor het vervoer van vaste stoffen (poeder- of korrelvormig) uitsluitend van verpakkingsgroepen II of III, die tijdens het vervoer niet vloeibaar kunnen worden, mag deze onderdruk worden verlaagd tot ten minste 5 kPa (0,05 bar).

Vacuümkleppen en be- en ontluchtingsinrichtingen (zie 6.8.2.2.6) die op tanks worden gebruikt, bestemd voor het vervoer van stoffen die voldoen aan de criteria van klasse 3 voor het vlampunt, moeten directe vlamdoorslag in het reservoir voorkomen door middel van een geschikte beschermende inrichting, of het reservoir van de tank moet bestand zijn tegen de schokdruk van een explosie, wat betekent dat het in staat is een explosie als gevolg van vlamdoorslag te doorstaan, waarbij vervorming mogelijk is maar geen lekkage optreedt.

Indien de beschermende inrichting bestaat uit een geschikte vlamdemper of vlamkerende inrichting, moet deze zo dicht mogelijk bij het reservoir of het compartiment van het reservoir zijn aangebracht.

Voor tanks met meerdere compartimenten moet elk compartiment afzonderlijk zijn beschermd.

Vlamkerende inrichtingen voor be- en ontluchtingsopeningen moeten geschikt zijn voor de damp die de vervoerde stoffen uitstoten (genormaliseerde spleetwijdte – NSW), het temperatuurbereik en de toepassing.

Ze moeten voldoen aan de voorschriften en beproevingseisen van EN ISO 16852:2016 (Vlamkerende inrichtingen – Prestatie-eisen, beproevingsmethoden en begrenzingen bij gebruik) voor de in onderstaande tabel beschreven situaties: 

Toepassing/Installatie Beproevingseisen
In directe verbinding met de atmosfeer EN ISO 16852:2016, 7.3.2.1
In verbinding met leidingwerksysteem EN ISO 16852:2016, 7.3.3.2 (van toepassing op combinaties van afsluiters/vlamkerende inrichtingen wanneer deze samen worden beproefd)
EN ISO 16852:2016, 7.3.3.3 (van toepassing op vlamkerende inrichtingen die onafhankelijk van de afsluiters worden beproefd)

6.8.2.2.4

Het reservoir of elk compartiment daarvan moet zijn voorzien van een opening die groot genoeg is om inspectie mogelijk te maken.

 

 

Deze openingen van extra grote tankcontainers bestemd voor het vervoer van stoffen in vloeibare toestand die niet door scheidingswanden of slingerschotten in secties met een inhoud van ten hoogste 7500 liter zijn verdeeld, moeten zijn voorzien van sluitingen die zijn ontworpen voor een beproevingsdruk van ten minste 0,4 MPa (4 bar).

Scharnierende koepeldeksels zijn niet toegestaan voor extra grote tankcontainers met een beproevingsdruk van meer dan 0,6 MPa (6 bar).

 

6.8.2.2.5

Gereserveerd

 

6.8.2.2.6

Tanks, bestemd voor het vervoer van vloeistoffen met een dampdruk van ten hoogste 110 kPa (1,1 bar) (absolute druk) bij 50 oC, moeten voorzien zijn van een be- en ontluchtingsinrichting, en een veiligheidsinrichting die voorkomt dat de inhoud uit de tank ontsnapt, indien de tank kantelt; zo niet, dan moeten zij voldoen aan de bepalingen van 6.8.2.2.7. of 6.8.2.2.8.

 

6.8.2.2.7

Tanks, bestemd voor het vervoer van vloeistoffen met een dampdruk hoger dan 110 kPa (1,1 bar) (absolute druk) bij 50°C en een kookpunt hoger dan 35 °C, moeten voorzien van een veiligheidsklep die is afgesteld op een druk van ten minste 150 kPa (1,5 bar) (overdruk) en die geheel open moet zijn bij een druk die ten hoogste gelijk is aan die beproevingsdruk; zo niet, dan moeten zij voldoen aan de bepalingen van 6.8.2.2.8.

 

6.8.2.2.8

Tanks, bestemd voor het vervoer van vloeistoffen met een kookpunt van ten hoogste 35 °C, moeten voorzien van een veiligheidsklep die is afgesteld op een druk van ten minste 300 kPa (3 bar) overdruk
en die geheel open moet zijn bij een druk die ten hoogste gelijk is aan die beproevingsdruk; zo niet, dan moeten zij hermetisch zijn gesloten

Voor de definitie van “hermetisch gesloten tank”, zie 1.2.1.

 

6.8.2.2.9

Reservoirs van aluminium, bestemd voor het vervoer van brandbare vloeistoffen met een vlampunt van ten hoogste 60 oC of voor het vervoer van brandbare gassen, mogen geen van onbeschermd, voor roesten gevoelig staal vervaardigde beweeglijke delen zoals deksels, sluitingsinrichtingen enz. bezitten, die door wrijving of schokken met het reservoir in aanraking kunnen komen.

 

6.8.2.2.10

Indien tanks die hermetisch gesloten moeten zijn, van veiligheidskleppen zijn voorzien, moeten deze worden voorafgegaan door een breekplaat en moeten de volgende voorwaarden in acht worden genomen:

Met uitzondering van tanks bestemd voor het vervoer van samengeperste, vloeibaar gemaakte of opgeloste gassen waarbij de breekplaat en veiligheidsklep zodanig zijn geplaatst dat zij voldoen aan de vereisten van 6.8.3.2.9, moeten de barstdrukken van de breekplaat aan de volgende vereisten voldoen:

  1. de minimum barstdruk bij 20 °C, inclusief toleranties, moet hoger zijn dan of gelijk zijn aan 0,8 maal de beproevingsdruk,
  2. de maximum barstdruk bij 20 °C, inclusief toleranties, moet lager zijn dan of gelijk zijn aan 1,1 maal de beproevingsdruk, en
  3. de barstdruk bij de maximale bedrijfstemperatuur moet hoger zijn dan de hoogste bedrijfsdruk.

De ruimte tussen de breekplaat en de veiligheidsklep moet zijn voorzien van een manometer of een ander geschikt aanwijsinstrument om een breuk, perforatie of lekkage van de plaat te kunnen vaststellen.

 

6.8.2.2.11

Peilinrichtingen mogen geen deel uitmaken noch zijn aangebracht aan het reservoir indien zij transparant materiaal bevatten welke, op elk moment, in contact kan komen met de stof vervoerd in het reservoir.

 

6.8.2.3

Onderzoek van het type en typegoedkeuring

6.8.2.3.1

Onderzoek van het type
De bepalingen van 1.8.7.2.1 zijn van toepassing.

Een fabrikant van bedrijfsuitrusting waarvoor een norm is opgenomen in de tabel in 6.8.2.6.1 of 6.8.3.6 mag om een apart onderzoek van het type verzoeken. Met dit aparte onderzoek van het type moet rekening worden gehouden bij het onderzoek van het type van de tank."

 

6.8.2.3.2

Typegoedkeuring

De bevoegde autoriteit moet in aanvulling op de punten genoemd in 1.8.7.2.2.1 voor elk nieuw type tankwagon/tankwagen, afneembare tank, tankcontainer, wissellaadtank, batterijwagon/batterijwagen of gascontainer met verscheidene elementen (MEGC's) een verklaring afgeven, waaruit blijkt dat het onderzochte type, met inbegrip van de bevestigingen, geschikt is voor het doel waarvoor het bestemd is en voldoet aan de constructievoorschriften van 6.8.2.1, de uitrustingsvoorschriften van 6.8.2.2 en de bijzondere voorwaarden voor de klassen van vervoerde stoffen.

  1. de tankcode volgens 4.3.3.1.1 of 4.3.4.1.1;
  2. de alfanumerieke codes van de bijzondere bepalingen voor de constructie (TC), de uitrustingsdelen (TE) en de typegoedkeuring (TA) in sectie 6.8.4, die in kolom (13) van tabel A van hoofdstuk 3.2 zijn aangegeven, voor de stoffen voor het vervoer waarvan de tank is goedgekeurd;
  3. zo nodig, de stoffen en/of de groepen van stoffen, voor het vervoer waarvan de tank is goedgekeurd. De toegelaten stoffen of groepen van stoffen moeten worden aangegeven met hun chemische benaming of betreffende verzamelaanduiding (zie 2.1.1.2) tezamen met hun indeling (klasse, classificatiecode en verpakkingsgroep). Met uitzondering van stoffen van klasse 2 en de in 4.3.2.1.3 genoemde stoffen, kan worden afgezien van het aangeven van toegelaten stoffen in het certificaat. In dat geval zijn groepen stoffen, toegestaan op grond van de in de gerationaliseerde benadering in 4.3.4.1.2 aangegeven tankcode, ten vervoer toegelaten met inachtneming van alle toepasselijke bijzondere bepalingen.

Opmerking: Bijlage B van EN 12972:2018 + A1:2024, waarin het type wordt beschreven, alsmede de lijst van toegestane bedrijfsuitrusting voor het type tank, of daarmee overeenstemmende documenten moeten bij het certificaat worden gevoegd of daarin worden opgenomen.

De stoffen waarnaar in het certificaat verwezen wordt, of de groepen stoffen, toegelaten overeenkomstig de gerationaliseerde benadering moeten in het algemeen verenigbaar zijn met de eigenschappen van de tank. In het certificaat moet een voorbehoud worden opgenomen, indien het niet mogelijk was om deze verenigbaarheid uitputtend te onderzoeken bij de typegoedkeuring.

Een kopie van het certificaat moet worden toegevoegd aan het tankdossier van elke gebouwde tank, batterijwagen of MEGC (zie 4.3.2.1.7).

De keuringsinstantie moet op verzoek van de aanvrager voor bedrijfsuitrusting waarvoor in de tabel van 6.8.2.6.1 een norm wordt vermeld, een afzonderlijke typegoedkeuring overeenkomstig die norm uitvoeren. Deze afzonderlijke typegoedkeuring moet in aanmerking worden genomen bij de afgifte van het certificaat voor de tank indien de beproevingsresultaten voorliggen en de bedrijfsuitrusting geschikt is voor het beoogde gebruik.

 

6.8.2.3.3

Indien de tanks, batterijwagens of MEGC’s ongewijzigd in serie worden gebouwd, geldt deze goedkeuring voor de tanks, batterijwagens, of MEGC’s die in serie of volgens dit prototype worden gebouwd.

Wanneer de fabrikant van de bedrijfsuitrusting een afzonderlijk onderzoek van het type heeft laten verrichten en wanneer de fabrikant daarom verzoekt, geeft de bevoegde autoriteit een certificaat af waaruit blijkt dat het onderzochte type voldoet aan de norm die is opgenomen in de tabel in 6.8.2.6.1 of 6.8.3.6.

 

6.8.2.3.4

Overeenkomstig 1.8.7.2.2.3 geeft de bevoegde autoriteit een aanvullend goedkeuringscertificaat af voor de wijziging in het geval van een wijziging van een tank, batterijwagen/batterijwagen of gascontainer met verscheidene elementen (MEGC) met een geldige, verlopen of ingetrokken typegoedkeuring.

 

6.8.2.4

Onderzoek en beproevingen

6.8.2.4.1

De reservoirs en hun uitrustingsdelen moeten, hetzij tezamen, hetzij afzonderlijk, voordat zij in gebruik worden gesteld, aan een eerste onderzoek onderworpen worden.
Dit onderzoek omvat:

  • een controle van de overeenstemming met het goedgekeurde type;
  • een controle van de constructiekenmerken*1;
  • een onderzoek naar de inwendige en uitwendige toestand;
  • een hydraulische proefpersing bij de druk die op de in 6.8.2.5.1 beschreven plaat staat aangegeven

    (Noot: in bijzondere gevallen mag, met toestemming van de bevoegde autoriteit, de hydraulische proefpersing vervangen worden door een proefpersing met gas, of met toestemming van de onderzoeksinstantie, met een andere vloeistof, voor zover deze methode niet gevaarlijk is) ; en

  • een dichtheidsproef en een controle van het naar behoren functioneren van de uitrusting.

Behalve in het geval van klasse 2, hangt de beproevingsdruk voor de hydraulische proefpersing af van de berekeningsdruk en moet ten minste gelijk zijn aan de hieronder aangegeven druk.

Berekeningsdruk (bar) Beproevingsdruk (bar)
G*2 G*2
1,5 1,5
2,65 2,65
4 4
10 4
15 4
21 10*3

De minimale beproevingsdrukken voor klasse 2 worden onder 4.3.3.2.5 opgegeven in de tabel met gassen en mengsels van gassen.
De hydraulische proefpersing moet voor het gehele reservoir en voor elk compartiment van in compartimenten verdeelde reservoirs gescheiden worden uitgevoerd.

*1 De controle van de constructiekenmerken omvat bij reservoirs met een beproevingsdruk van ten minste 1 MPa (10 bar) ook de monstername van proefstukken (productielassen) volgens 6.8.2.1.23 en de beproevingen voorgeschreven in 6.8.5.

*2 G= minimale berekeningsdruk overeenkomstig de algemene voorschriften van 6.8.2.1.14 (zie 4.3.4.1).

*3 Minimale beproevingsdruk voor UN 1744 broom of UN 1744 broom, oplossing

De beproeving moet worden uitgevoerd op elk compartiment met een druk die ten minste gelijk is aan:

  • 1,3 maal de hoogste bedrijfsdruk; of
  • 1,3 maal de statische druk van de te vervoeren stof maar niet minder dan 1,3 maal de statische druk van water met een minimum van 20 kPa (0,2 bar) voor reservoirs waarbij het lossen plaatsvindt door de zwaartekracht overeenkomstig 6.8.2.1.14 a).

 

 

 

De hydraulische proefpersing moet worden uitgevoerd vóór het aanbrengen van een eventueel noodzakelijke warmte-isolerende bescherming.

Indien de reservoirs en hun uitrustingsdelen afzonderlijk worden beproefd, moeten zij samengebouwd aan een dichtheidsproef volgens 6.8.2.4.3 onderworpen worden.

Bij reservoirs die uit meerdere compartimenten bestaan, moet de dichtheidsproef per compartiment afzonderlijk worden uitgevoerd.

*1 De controle van de constructiekenmerken omvat bij reservoirs met een beproevingsdruk van ten minste 1 MPa (10 bar) ook de monstername van proefstukken (productielassen) volgens 6.8.2.1.23 en de beproevingen voorgeschreven in 6.8.

*2 In bijzondere gevallen en na toestemming van de deskundige, erkend door de bevoegde autoriteit, mag de hydraulische proefpersing worden vervangen door een proefpersing met een andere vloeistof of een gas, indien deze werkwijze ongevaarlijk is.

*3 G= minimale berekeningsdruk overeenkomstig de algemene voorschriften van 6.8.2.1.14 (zie 4.3.4.1).

*4  Minimale beproevingsdruk voor UN 1744 broom of UN 1744 broom, oplossing.

 

6.8.2.4.2

De reservoirs en hun uitrustingsdelen moeten uiterlijk elke

zes jaar

 

vijf jaar

 

Periodiek worden onderzocht. Deze periodieke onderzoeken moeten omvatten:

  • een uitwendig en inwendig onderzoek;
  • een dichtheidsproef van het reservoir en de uitrusting ervan overeenkomstig 6.8.2.4.3 en een controle van de goede werking van de gehele uitrusting;
  • als algemene regel, een hydraulische proefpersing

    (Noot: In bijzondere gevallen mag, met toestemming van de bevoegde autoriteit, de hydraulische proefpersing vervangen worden door een proefpersing met gas, of met toestemming van de onderzoeksinstantie, met een andere vloeistof, voor zover deze methode niet gevaarlijk is.)

    (zie 6.8.2.4.1 voor de beproevingsdruk van de reservoirs en de compartimenten, indien van toepassing).

    Warmtewerende, warmte-isolerende of andere omhullingen behoeven slechts zover te worden verwijderd, als noodzakelijk is voor een gedegen beoordeling van de eigenschappen van het reservoir.

    In het geval van tanks, bestemd voor het vervoer van poedervormige of korrelvormige stoffen, mogen met toestemming van de onderzoeksinstantie, erkend door de bevoegde autoriteit, de periodieke hydraulische proefpersingen achterwege gelaten worden en vervangen worden door dichtheidsproeven overeenkomstig 6.8.2.4.3, bij een effectieve inwendige druk die ten minste gelijk moet zijn aan de hoogste bedrijfsdruk. Beschermende bekleding moet visueel worden onderzocht op defecten.

    In geval van defecten moet de staat van de bekleding worden beoordeeld aan de hand van (een) geschikte beproeving(en).

 

6.8.2.4.3

De reservoirs en hun uitrustingsdelen moeten niet later dan elke

drie jaar

 

twee en een half jaar

 

na het eerste onderzoek en elk periodiek onderzoek tussentijdse onderzoeken ondergaan.

Het tussentijds onderzoek mag echter op elk moment vóór de aangegeven datum worden uitgevoerd.

Indien een tussentijds onderzoek meer dan drie maanden vóór de aangegeven datum is uitgevoerd, moet nog een tussentijds onderzoek uiterlijk

drie jaar

 

twee en een half jaar

 

na deze eerdere datum worden uitgevoerd, of als alternatief mag een periodiek onderzoek worden uitgevoerd overeenkomstig 6.8.2.4.2.

Deze tussentijdse onderzoeken moeten een dichtheidsproef van het reservoir met de uitrusting ervan en een controle van de goede werking van alle uitrustingsdelen omvatten.

Voor dit doel moet de tank worden onderworpen aan een effectieve inwendige druk die ten minste gelijk moet zijn aan de hoogste bedrijfsdruk. Voor tanks, bestemd voor het vervoer van vloeistoffen of van vaste stoffen in korrel- of poedervormige toestand, moet de dichtheidsproef, indien een gas gebruikt wordt, uitgevoerd worden bij een druk die ten minste gelijk is aan 25 % van de hoogste bedrijfsdruk.

In geen geval mag deze lager zijn dan 20 kPa (0,2 bar) (overdruk).

Bij tanks, uitgerust met be- en ontluchtingsinrichtingen en een veiligheidsinrichting, die voorkomt dat de inhoud vrijkomt indien de tank kantelt, moet de dichtheidsproef worden uitgevoerd bij een druk die ten minste gelijk is aan de statische druk van de dichtste te vervoeren stof, de statische druk van water of 20 kPa (0,2 bar), afhankelijk van welke de hoogste is.

Bij reservoirs die uit meerdere compartimenten bestaan, moet de dichtheidsproef per compartiment afzonderlijk worden uitgevoerd.

Beschermende bekleding moet visueel worden onderzocht op defecten.

In geval van defecten moet de staat van de bekleding worden beoordeeld aan de hand van (een) geschikte beproeving(en).

 

6.8.2.4.4

Indien de veiligheid van een tank of zijn uitrustingsdelen door reparatie, ombouw of een ongeval mogelijk verminderd is, moet een buitengewoon onderzoek worden uitgevoerd.

Indien een buitengewoon onderzoek is uitgevoerd dat voldoet aan de voorschriften van 6.8.2.4.2, dan kan het buitengewoon onderzoek worden beschouwd als periodiek onderzoek.

Indien een buitengewoon onderzoek is uitgevoerd dat voldoet aan de voorschriften van 6.8.2.4.3, dan kan het buitengewoon onderzoek worden beschouwd als een tussenonderzoek.

 

6.8.2.4.5

Certificaten moeten door de in 6.8.1.5.4 of 6.8.1.5.6 bedoelde onderzoeksinstantie worden afgegeven en moeten de resultaten van de onderzoeken overeenkomstig 6.8.2.4.1 t/m 6.8.2.4.4 weergeven, ook in het geval van negatieve resultaten.

Deze certificaten moeten verwijzen naar de lijst van de stoffen die in deze tank vervoerd mogen worden of naar de tankcode en de alfanumerieke codes van de bijzondere bepalingen overeenkomstig 6.8.2.3.2.

Een kopie van het certificaat moet worden toegevoegd aan het tankdossier van elke beproefde tank, batterijwagen of MEGC (zie 4.3.2.1.7).

 

6.8.2.5

Kenmerking

6.8.2.5.1

Elke tank moet zijn voorzien van een plaat van corrosiebestendig metaal, die blijvend op de tank is aangebracht op een gemakkelijk voor inspectie toegankelijke plaats. Ten minste de volgende aanduidingen moeten op de plaat worden aangebracht door middel van inslaan of een andere soortgelijke methode.
Deze aanduidingen mogen rechtstreeks in de wanden van het reservoir worden ingeslagen, indien deze zodanig versterkt zijn dat daardoor de weerstand van het reservoir niet wordt beïnvloed*:

  • goedkeuringsnummer;
  • naam of merkteken van de fabrikant;
  • serienummer van de fabrikant;
  • bouwjaar;
  • beproevingsdruk (overdruk);
  • uitwendige ontwerpdruk (zie 6.8.2.1.7);
  • inhoud van het reservoir - in het geval van reservoirs met verscheidene compartimenten, de inhoud van elk compartiment -, gevolgd door de letter "S" indien de reservoirs of de compartimenten van meer dan 7500 liter door slingerschotten in afdelingen van ten hoogste 7500 liter inhoud zijn verdeeld;
  • berekeningstemperatuur (slechts indien deze hoger is dan +50 °C of lager dan -20 °C);
  • datum en soort van de laatste uitgevoerde inspectie: "maand, jaar" gevolgd door de letter "P" indien de inspectie de eerste inspectie of een periodieke inspectie overeenkomstig 6.8.2.4.1 en 6.8.2.4.2 is, of "maand, jaar" gevolgd door de letter "L" indien de inspectie een tussentijdse inspectie omvatte overeenkomstig 6.8.2.4.3;
  • stempel van de onderzoeksinstantie die de inspectie heeft uitgevoerd;
  • materiaal van het reservoir en verwijzing naar materiaalnormen, indien beschikbaar en eventueel van de beschermende binnenbekleding.
  • beproevingsdruk voor het reservoir in zijn geheel en beproevingsdruk per compartiment in MPa of bar (overdruk) indien de druk per compartiment lager is dan de druk voor het reservoir.

 

 

 

Op tanks die onder druk worden geladen of gelost, moet bovendien de hoogste toegestane bedrijfsdruk zijn aangegeven. (voor klasse 2, zie 6.8.3.5.)

* Na de numerieke waarden moeten de meeteenheden worden toegevoegd.

 

6.8.2.5.2

De volgende aanduidingen moeten op de tankwagen zijn aangegeven (op de tank zelf of op platen)*:

  • naam van de eigenaar of exploitant;
  • eigen massa van de tankwagen; en
  • grootste toelaatbare massa van de tankwagen.

De volgende aanduidingen moeten op een afneembare tank zijn aangegeven (op de tank zelf of op platen)*:

  • naam van de eigenaar of exploitant;
  • "afneembare tank";
  • eigen massa van de tank;
  • grootste toelaatbare massa van de tank;
  • voor de stoffen volgens 4.3.4.1.3, de juiste vervoersnaam van de ten vervoer toegelaten stof(fen);
  • tankcode overeenkomstig 4.3.4.1.1; en
  • voor andere stoffen dan die welke in 4.3.4.1.3 genoemd zijn, de alfanumerieke codes van de bijzondere bepalingen TC en TE, aangegeven in kolom (13) van tabel A van hoofdstuk 3.2, voor de stoffen die in de tank zullen worden vervoerd.

 

De volgende aanduidingen moeten op de tankcontainer zijn aangegeven (op de tank zelf of op platen)*:

  • namen van de eigenaar en van de exploitant;
  • inhoud van het reservoir;
  • eigen massa
  • grootste toelaatbare bruto massa;
  • voor de stoffen volgens 4.3.4.1.3, de juiste vervoersnaam van de ten vervoer toegelaten stof(fen);
  • tankcode overeenkomstig 4.3.4.1.1; en
  • voor andere stoffen dan die welke in 4.3.4.1.3 genoemd zijn, de alfanumerieke codes van de bijzondere bepalingen TC en TE, aangegeven in kolom (13) van tabel A van hoofdstuk 3.2, voor de stoffen die in de tank zullen worden vervoerd.

 

* Na de numerieke waarden moeten de meeteenheden worden toegevoegd.

6.8.2.6

Voorschriften voor tanks die volgens normen waarnaar wordt verwezen, zijn ontworpen, geconstrueerd, gekeurd en beproefd

Opmerking: Personen of instanties die in de normen worden geïdentificeerd als dragers van verantwoordelijkheden in overeenstemming met het ADR, moeten voldoen aan de voorschriften van het ADR.

 

6.8.2.6.1

Ontwerp en constructie
Met ingang van 1 januari 2009 is het gebruik van normen waarnaar wordt verwezen verplicht. Uitzonderingen worden behandeld in 6.8.2.7 en 6.8.3.7.

Certificaten voor typegoedkeuring moeten worden afgegeven overeenkomstig 1.8.7 of 6.8.2.3"> 6.8.2.3. Voor de afgifte van een typegoedkeuringscertificaat moet uit de onderstaande tabel één norm worden gekozen die van toepassing is volgens de aanduiding in kolom (4).

Indien meer dan één norm kan worden toegepast, moet slechts één ervan worden gekozen.

Kolom (3) geeft de paragrafen van hoofdstuk 6.8 aan waarmee de norm in overeenstemming is.

In kolom (5) is de uiterlijke datum aangegeven waarop bestaande typegoedkeuringen overeenkomstig 1.8.7.2.2.2 moeten worden ingetrokken; indien geen datum is aangegeven, blijft de typegoedkeuring geldig totdat deze vervalt.

De normen moeten worden toegepast overeenkomstig 1.1.5. De normen moeten volledig worden toegepast, tenzij in onderstaande tabel anders is aangegeven.

Het toepassingsbereik van elke norm is vastgelegd in de desbetreffende bepaling van die norm, tenzij anderszins aangegeven in onderstaande tabel.

Verwijzing Titel van het document Voorschriften waaraan de norm voldoet Toepassing voor nieuwe type Goedkeuring- en of voor hernieuwingen Laatste datum voor intrekking van bestaande type
goedkeuringen
(1) (2) (3) (4) (5)
Voor het ontwerp en de constructie van tanks
EN 14025:2003  + AC:2005 Tanks voor het transport van
gevaarlijke goed eren - Metalen
druktanks - Ontwerp en constructie
6.8.2.1 Tussen
1 januari 2005
en 30 juni 2009
EN 14025:2008 Tanks voor het transport van
gevaarlijke goed eren - Metalen
druktanks - Ontwerp en constructie
6.8.2.1  en
6.8.3.1
Tussen 1 juli
2009 en 31
december 2016
EN 14025:2013 Tanks voor het transport van
gevaarlijke goed eren – Metalen
druktanks – Ontwerp en constructie
6.8.2.1  en
6.8.3.1
Tussen 1
januari 2015
en 31
december 2018
EN 14025:2013+
A1:2016
(uitgezonderd bijlage B)
Tanks voor het transport van
gevaarlijke goed eren – Metalen
druktanks – Ontwerp en constructie
6.8.2.1  en
6.8.3.1
Tussen 1
januari 2017
en 31
december 2021
EN 14025:2018  + AC:2020 Tanks voor het transport van
gevaarlijke goed eren – Metalen
druktanks – Ontwerp en constructie
Opmerking: Materiaal  voor de wand moet minstens  een type 3.1. certificaat hebben,  in overeenstemming  met
norm EN 10204
6.8.2.1  en
6.8.3.1
Tussen 1 januari 2021 en 31 december 2026
EN 14025: 2023 Tanks voor het transport van gevaarlijke goederen - Metalen druktanks - Ontwerp en constructie

Opmerking: Materiaal voor de wand moet minstens een type 3.1. certificaat hebben, in overeenstemming met norm EN 10204
6.8.2.1  en
6.8.3.1
Tot nader order  
EN 13094:2004 Tanks voor het transport van
gevaarlijke stoffen - Metalen tanks met een bedrijfsdruk tot 0,5 bar - Ontwerp en constructie
6.8.2.1 Tussen
1 januari 2005 en
31 december
2009
EN 13094:2008  + AC:2008 Tanks voor het transport van
gevaarlijke stoffen – Metalen tanks met een bedrijfsdruk tot 0,5 bar – Ontwerp en constructie
6.8.2.1 Tussen 1
januari 2010
en 31
december 2018
EN 13094:2015 Tanks voor het transport van
gevaarlijke goed eren – Metalen tanks met een bedrijfsdruk tot 0,5 bar –
Ontwerp en constructie
Opmerking: De richtlijn  op de website van het Secretariaat  van de Economische  Commissie voor Europa van de Verenigde  Naties (https://unece.org/guidelines- telematics-application-standards- construction-and-approval-vehicles- calculation-risks) is ook van
toepassing.
6.8.2.1 Tussen 1
januari 2021
en 31
december 2024
EN 13094:2020  + A1:2022 Tanks voor het transport van
gevaarlijke goed eren – Metalen tanks gelost door zwaartekracht – Ontwerp en constructie
6.8.2.1 Tot nader order --
EN 12493:2001
(uitgezonderd bijlage C)
Gelaste stalen tanks voor LPG –
Tankvoertuigen voor het wegvervoer -
Ontwerp en fabricage
Opmerking: Onder “tankvoertuigen voor het wegvervoer”worden  verstaan “vaste tanks” en “afneembare  tanks” in de zin van het ADR.
6.8.2.1(met
uitzondering van 6.8.2.1.17);
6.8.2.4.11  (met
uitzondering van de dicht- heidsproef); 6.8.2.5.1,
6.8.3.1  en
6.8.3.5.1
Tussen
1 januari 2005 en
31 december
2010
31 december
2012
EN 12493:2008
(uitgezonderd bijlage C)
LPG  uitrusting en toebehoren -
Gelaste stalen tanks voor LPG –
Tankvoertuigen voor het wegvervoer -
Ontwerp en fabricage
Opmerking: Onder “tankvoertuigen voor het wegvervoer”worden  verstaan
“vaste tanks” en “afneembare  tanks” in de zin van het ADR.
6.8.2.1  (met
uitzondering van 6.8.2.1.17),
6.8.2.5,
6.8.3.1,
6.8.3.5,
6.8.5.1  t/m
6.8.5.3
Tussen 1
januari 2010 en 30 juni 2013
31 december
2014
EN 12493:2008+
A1:2012
(uitgezonderd bijlage C)
LPG  uitrusting en toebehoren – Gelaste stalen tanks voor LPG –
Tankvoertuigen voor het wegvervoer - Ontwerp en fabricage
Opmerking: Onder “tankvoertuigen voor het wegvervoer” wordt verstaan “vaste tanks” en “afneembare  tanks” in de zin van het ADR.
6.8.2.1  (met
uitzondering van 6.8.2.1.17),
6.8.2.5,
6.8.3.1,
6.8.3.5,
6.8.5.1  t/m
6.8.5.3
Tot en met 31 december 2013 31 december
2015
EN 12493:2013
(uitgezonderd bijlage C)
LPG  uitrusting en toebehoren – Gelaste stalen tanks voor LPG –
Tankvoertuigen voor het wegvervoer- Ontwerp en fabricage
Opmerking: Onder “tankvoertuigen voor het wegvervoer” wordt verstaan “vaste tanks” en “afneembare  tanks” in
de zin van het ADR.
6.8.2.1,
6.8.2.5,
6.8.3.1,
6.8.3.5,
6.8.5.1  t/m
6.8.5.3
Tussen 1
januari 2015
en 31
december 2017
31 december
2018
EN 12493:2013  + A1:2014  +
AC:2015
(uitgezonderd bijlage C)
LPG  uitrusting en toebehoren – Gelaste stalen tanks voor LPG –
Tankvoertuigen voor het wegvervoer – Ontwerp en fabricage
Opmerking: Onder “tankvoertuigen voor het wegvervoer” wordt verstaan “vaste tanks” en “afneembare  tanks” in de zin van het ADR.
6.8.2.1,
6.8.2.5,
6.8.3.1,
6.8.3.5,
6.8.5.1  t/m
6.8.5.3
Tussen 1
januari 2017
en 31
december 2022
EN 12493:2013  +
A2:2018
(uitgezonderd bijlage C)
LPG  uitrusting en toebehoren – Gelaste stalen tanks voor LPG –
Tankvoertuigen voor het wegvervoer – Ontwerp en fabricage
Opmerking: Onder “tankvoertuigen voor het wegvervoer” wordt verstaan “vaste tanks” en “afneembare  tanks” in de zin van het ADR.
6.8.2.1,
6.8.2.5,
6.8.3.1,
6.8.3.5,
6.8.5.1  t/m
6.8.5.3
Tussen 1
januari 2021
en 31
december 2024
EN 12493:2020
(uitgezonderd bijlage C
LPG  uitrusting en toebehoren –
Gelaste stalen tanks voor LPG
tankvoertuigen voor het wegvervoer - Ontwerp en fabricage
Opmerking: Onder “tankvoertuigen voor het wegvervoer” wordt verstaan “vaste tanks” en “afneembare  tanks” in de zin van het ADR.
6.8.2.1,
6.8.2.5,
6.8.3.1,
6.8.3.5,
6.8.5.1  t/m
6.8.5.3
Tot nader order
EN 13530-2:2002 Cryogene vaten - Grote verplaatsbare vacuüm geïsoleerde vaten - Deel  2:
Ontwerp, fabricag e, inspectie en
beproeven
6.8.2.1  (met
uitzondering van 6.8.2.1.17),
6.8.2.4,
6.8.3.1  en
6.8.3.4
Tussen
1 januari 2005 en 30 juni 2007
EN 13530-2:2002
+ A1:2004
Cryogene vaten - Grote verplaatsbare vacuüm geïsoleerde vaten - Deel  2:
Ontwerp, fabricag e, inspectie en beproeven
Opmerking: De normen EN 1252- 1:1998  en EN 1626 waarnaar in deze norm wordt verwezen,  zijn  ook van toepassing  op gesloten  cryo-houders voor het transport van stoffen van UN- nummer 1972  (METHAAN,  STERK GEKOELD,  VLOEIBAAR  of AARDGAS,  STERK  GEKOELD,
VLOEIBAAR).
6.8.2.1  (met
uitzondering van 6.8.2.1.17),
6.8.2.4,
6.8.3.1  en
6.8.3.4
Tot nader order
EN 14398-2:2003
(uitgezonderd tabel  1)
Cryogene reservoirs - Grote, verplaatsbare, niet-
vacuümgeïsoleerde reservoirs - Deel 2: Ontwerp, fabricag e, inspectie en beproeving
Opmerking: Deze norm mag niet worden gebruikt voor gassen die worden vervoerd bij temperaturen beneden  -100 °C.
6.8.2.1  (met
uitzondering van 6.8.2.1.17,
6.8.2.1.19  en
6.8.2.1.20),
6.8.2.4,
6.8.3.1  en
6.8.3.4
Tussen 1
januari 2005
en 31
december 2016
EN 14398-2:2003
+ A2:2008
Cryogene reservoirs - Grote, verplaatsbare, niet-
vacuümgeïsoleerde reservoirs - Deel 2: Ontwerp, fabricag e, inspectie en beproeving
Opmerking: Deze norm mag niet worden gebruikt voor gassen die worden vervoerd bij temperaturen
beneden  -100 °C.
6.8.2.1  (met
uitzondering van 6.8.2.1.17,
6.8.2.1.19  en
6.8.2.1.20),
6.8.2.4,
6.8.3.1  en
6.8.3.4
Tot nader order
Voor apparatuur
EN 14432:2006 Tanks voor het transport van gevaarlijke goed eren -
Tankapparatuur voor het transport van
vloeibare chemicaliën - Luchtinlaat- en spui-afsluiter
6.8.2.2.1 Tussen 1
januari 2009
en 31
december 2018
EN 14432:2014 Tanks      voor     het      transport     van gevaarlijke goederen - Tankapparatuur voor    het    transport    van    vloeibare chemicaliën    en   vloeibaar    gemaakte gassen – Luchtinlaat-  en spui-afsluiter
Opmerking: Deze  norm mag ook worden gebruikt voor tanks waarbij  het lossen plaatsvindt  door de zwaartekracht.
6.8.2.2.2  en
6.8.2.3.1
Tussen 1 januari 2019 en 31 december 2026
EN 14432: 2023 Tanks voor het transport van gevaarlijke goederen - tankapparatuur voor het transport van vloeibare chemicaliën en vloeibaar gemaakte gassen - Luchtinlaat en spui-afsluiter.

Opmerking: deze norm mag ook worden
gebruikt voor tanks waarbij het lossen plaatsvindt door de zwaartekracht
6.8.2.2.1, 6.8.2.2.2 en 6.8.2.3.1 Tot nader order  
EN 14433:2006 Tanks voor het transport van gevaarlijke goed eren -
Tankapparatuur voor het transport van vloeibare chemicaliën – Voetafsluiters
6.8.2.2.1 Tussen 1
januari 2009
en 31
december 2018
EN 14433:2014 Tanks     voor     het     transport    van gevaarlijke goederen – Tankapp aratuur voor    het    transport   van    vloeibare chemicaliën   en   vloeibaar   gemaakte gassen – Voetafsluiters
Opmerking: Deze  norm mag ook worden gebruikt voor tanks waarbij  het lossen plaatsvindt  door de zwaartekracht.
6.8.2.2.2  en
6.8.2.3.1
Tussen 1 januari 2019 en 31 december 2026
EN 14433: 2023 Tanks voor het transport van gevaarlijke goederen - tankapparatuur voor het transport van vloeibare chemicaliën en vloeibaar gemaakte gassen - Voetafsluiters

Opmerking: deze norm mag ook worden
gebruikt voor tanks waarbij het lossen plaatsvindt door de zwaartekracht
6.8.2.2.1, 6.8.2.2.2 en 6.8.2.3.1 Tot nader order  
EN 12252:2000 Uitrusting van tankvoertuigen voor het wegvervoer van vloeibaar
petroleumgas (LPG)
Opmerking 1: Onder “tankvoertuigen voor het wegvervoer”worden  verstaan “vaste tanks” en “afneembare  tanks” in de zin van het ADR.
Opmerking 2: Veiligheidskleppen   zijn verplicht vanaf 1 januari  2024.
6.8.3.2  (met
uitzondering van 6.8.3.2.3)
Tussen
1 januari 2005 en
31 december
2010
31 december
2012
EN 12252:2005  + A1:2008 LPG  uitrusting en toebehoren -
Uitrusting van LPG tankvoertuigen
Opmerking: Onder “tankvoertuigen voor het wegvervoer”worden  verstaan “vaste tanks” en “afneembare  tanks” in de zin van het ADR.
6.8.2.2, 6.8.3.2  (met
uitzondering van 6.8.3.2.3) en
6.8.3.4.9
Tussen 1
januari 2011
en 31
december 2018
EN 12252:2014 LPG  uitrusting en toebehoren – Uitrusting van LPG tankvoertuigen voor het wegvervoer
Opmerking: Onder “tankvoertuigen voor het wegvervoer” wordt verstaan “vaste tanks” en “afneembare  tanks” in de zin van het ADR.

6.8.2.2,
6.8.3.2 en
6.8.3.4.9

Tussen 1
januari 2017
en 31
december 2024
EN 12252:2022 LPG  uitrusting en toebehoren – Uitrusting van LPG tankvoertuigen
Opmerking 1: Onder 'tankvoertuigen' wordt verstaan ''vaste tanks'' en "afneembare  tanks" in de zin van het ADR.
Opmerking 2: Veiligheidskleppen   zijn verplicht vanaf 1 januari  2024.
6.8.3.2 en
6.8.3.4.9
Tot nader order
EN 14129:2014 LPG  uitrusting en toebehoren – Drukontlastklep pen voor LPG-tanks 6.8.2.1.1  en
6.8.3.2.9
Tot nader order
EN 1626:2008
(uitgezonderd afsluitercategorie B)
Cyrogene vaten – Afsluiters voor cyrogeen gebruik
Opmerking: Deze norm is ook van toepassing  op afsluiters  voor het vervoer van stoffen van UN-nummer 1972 ((METHAAN,  STERK GEKOELD,  VLOEIBAAR  of AARDGAS,  STERK  GEKOELD,
VLOEIBAAR)
6.8.2.4  en
6.8.3.4
Tot nader order
EN 13648-1:2008 Cryogene vaten –
Veiligheidsinrichtingen ter
bescherming teg en overmatige druk –
Deel 1: Veiligheidsklep pen voor cryogeen gebruik
6.8.2.4,
6.8.3.2.12    en
6.8.3.4
Tot nader order
EN 13082:2001 Tanks voor het transport van gevaarlijke stoffen –
Bedieningsapparatuur voor tanks –
Dampafsluiter
6.8.2.2  en
6.8.2.4.1
Tussen 1
januari 2005 en 30 juni 2013
31 december
2014
EN 13082:2008  + A1:2012 Tanks voor het transport van gevaarlijke stoffen –
Bedieningsapparatuur voor tanks -
Dampafsluiter
6.8.2.2  en
6.8.2.4.1
Tot nader order
EN 13308:2002 Tanks voor het transport van
gevaarlijke goed eren – Uitrusting voor tanks – Niet-druk vereffen ende
bodemafsluiter
6.8.2.2  en
6.8.2.4.1
Tot nader order
EN 13314:2002 Tanks voor het transport van
gevaarlijke goed eren – Uitrusting – Afdekplaat voor het vulgat
6.8.2.2  en
6.8.2.4.1
Tot nader order
EN 13316:2002 Tanks voor het transport van
gevaarlijke goed eren – Uitrusting voor tanks – Drukvereffen ende
bodemafsluiter
6.8.2.2  en
6.8.2.4.1
Tot nader order
EN 13317:2002
(met uitzondering van de figuur en tabel  B.2 in
bijlage B) (Het materiaal moet voldoen aan de eisen van norm EN 13094:2004,
clausule 5.2)
Tanks voor het transport van
gevaarlijke goed eren – Uitrusting voor tanks – Samenstel  voor de
mangatafdekplaat
6.8.2.2  en
6.8.2.4.1
Tussen
1 januari 2005 en
31 december
2010
31 december
2012
EN 13317:2002  + A1:2006 Tanks voor het transport van
gevaarlijke goed eren – Uitrusting voor tanks – Samenstel  voor de
mangatafdekplaat
6.8.2.2  en
6.8.2.4.1
Tussen 1
januari 2009
en 31
december 2021
EN 13317:2018 Tanks voor het transport van
gevaarlijke goed eren – Uitrusting voor tanks – Samenstel  voor de
mangatafdekplaat
6.8.2.2  en
6.8.2.4.1
Tot nader order
EN 14595:2005 Tanks voor transport van gevaarlijke goederen - Onderhoudsuitrusting voor tanks - Druk- en vacuümontluchting 6.8.2.2  en
6.8.2.4.1
Tussen 1
januari 2007
en 31
december 2020
EN 14595:2016 Tanks voor transport van gevaarlijke goederen – Onderhoudsuitrusting – Be-/ontluchtingsopening 6.8.2.2  en
6.8.2.4.1
Tot nader order
EN 16257:2012 Tanks voor het transport van
gevaarlijke goed eren – Uitrusting voor tanks – Afmetingen van afsluiters met voetbediening anders dan 100 mm
diameter (nominaal)
6.8.2.2.1  en
6.8.2.2.2
Tot nader order
EN 13175:2014 LPG  materieel en toebehoren –
Specificaties en beproevingen voor ventielen en fittingen van drukvaten voor vloeibaar gas (LPG)
6.8.2.1.1,
6.8.2.2,
6.8.2.4.1 en
6.8.3.2.3
Tussen 1
januari 2017
en 31
december 2022
EN 13175:2019
(beh alve 6.1.6)
LPG  materieel en toebehoren –
Specificaties en beproevingen voor ventielen en fittingen van drukvaten voor vloeibaar gas (LPG)
6.8.2.1.1,
6.8.2.2,
6.8.2.4.1 en
6.8.3.2.3
Tussen 1
januari 2021 en 31 dcember
2024
EN 13175:2019  + A1:2020 LPG  materieel en toebehoren –
Specificaties en beproevingen voor ventielen en fittingen van drukvaten voor vloeibaar petroleumgas (LPG) -
6.8.2.1.1,
6.8.2.2,
6.8.2.4.1 en
6.8.3.2.3
Tot nader order
EN ISO
23826:2021
Gasflessen - Kogelafsluiters -
Specificatie en beproeving
6.8.2.1.1  en
6.8.2.2.1
Verplicht van af
1 januari 2025
EN 13799:2022 LPG uitrusting en toebehoren - Inhoudsmeters voor vloeibaar petroleumgas (LPG) drukvaten 6.8.2.2.1 en 6.8.2.2.11 Tot nader order  

 

 

6.8.2.6.2

Onderzoek van het type, onderzoek en beproeving van tanks

Voor onderzoek van het type en onderzoek en beproeving van tanks wordt uit onderstaande tabel één norm gekozen die van toepassing is volgens de aanduiding in kolom (4).

Kolom (3) geeft de paragrafen van hoofdstuk 6.8 aan waarmee de norm in overeenstemming is.

De normen moeten worden toegepast in overeenstemming met 1.1.5

Het gebruik van een norm waarnaar wordt verwezen is verplicht.

Het toepassingsbereik van elke norm is vastgelegd in desbetreffende bepaling van die norm, tenzij anderszins aangegeven in onderstaande tabel.

Verwijzing Titel van het document Voorschriften waaraan de norm
voldoet
Van
toepassing
(1) (2) (3) (4)
EN 12972:2018 Tanks voor het transport van
gevaarlijke stoffen – Beproeving,
inspectie en kenmerken van metalen tanks

6.8.2.1.23
6.8.2.3

6.8.2.4
6.8.3.4

Tot en met 31 december 2026
EN 12972:2018 + A1:2024 Tanks voor het transport van gevaarlijke goederen – Beproeving, inspectie en kenmerking van metalen tanks 6.8.2.1.23,
6.8.2.4 en
6.8.3.4
Tot nader order
EN 14334:2014 LPG  materieel en toebehoren –
Beproeving en inspectie van LPG tankvoertuigen voor het wegvervoer
6.8.2.4    (met   uitzondering   van 6.8.2.4.1),  6.8.3.4.2  en 6.8.3.4.9 Tot en met 31 december 2026
EN 14334: 2023 LPG-uitrusting en toebehoren – Inspectie en beproeving van LPG-tankwagens

Opmerking: Deze norm is niet van toepassing op tanks die zijn vervaardigd in overeenstemming met EN 14025.
6.8.2.4 en 6.8.3.4.9 Tot nader order

 

 

6.8.2.7

Voorschriften voor tanks die niet volgens normen waarnaar verwezen wordt, zijn ontworpen, geconstrueerd, gekeurd en beproefd

Teneinde rekening te houden met de vooruitgang van wetenschap en techniek of indien niet wordt verwezen naar een norm in 6.8.2.6 of om rekening te houden met speciale aspecten die niet in een norm waarnaar in 6.8.2.6 wordt verwezen aan de orde worden gesteld, kan de bevoegde autoriteit het gebruik van een technisch reglement erkennen, dat hetzelfde niveau van veiligheid biedt. Tanks moeten echter voldoen aan de minimumvoorschriften van 6.8.2.

Zodra een in 6.8.2.6 nieuw genoemde norm kan worden toegepast, moet de bevoegde autoriteit de erkenning van de relevante technische reglementen intrekken. Daarbij mag een overgangsperiode worden gehanteerd die niet later afloopt dan de datum van inwerkingtreding van de volgende editie van het ADR.

De bevoegde autoriteit moet aan het secretariaat van de UNECE een lijst doen toekomen van de technische reglementen die worden erkend.

De lijst moet de volgende bijzonderheden omvatten: benaming en datum van het reglement, doelstelling van het reglement, en waar dit verkrijgbaar is. Het secretariaat moet deze informatie openbaar maken op zijn website en deze actualiseren als zij verandert.

Een norm waarvan is aanvaard dat er in een toekomstige uitgave van het ADR naar wordt verwezen, kan door de bevoegde autoriteit worden toegelaten voor gebruik zonder kennisgeving aan het secretariaat van de UNECE.

Voor beproeving, onderzoek en kenmerking mag ook de van toepassing zijnde norm worden gebruikt, waarnaar in 6.8.2.6 verwezen wordt.

 

6.8.3

Bijzondere voorschriften van toepassing op klasse 2

6.8.3.1

Constructie van reservoirs

6.8.3.1.1

Reservoirs, bestemd voor het vervoer van samengeperste of vloeibaar gemaakte gassen of opgeloste gassen, moeten zijn vervaardigd van staal.

Bij naadloze reservoirs mag de minimale rek bij breuk in afwijking van het bepaalde in 6.8.2.1.12 14% bedragen en is bovendien een spanning σ (sigma) toegestaan, lager dan of gelijk aan de hierna genoemde grenswaarden, die afhankelijk van de materialen zijn vastgesteld:

  1. a) Wanneer de verhouding Re/Rm (gegarandeerde minimumwaarden na thermische behandeling) groter dan 0,66 doch ten hoogste 0,85 is: σ ≤ 0,75 Re;
  2. b) wanneer de verhouding Re/Rm (gegarandeerde minimumwaarden na thermische behandeling) groter dan 0,85 is: σ ≤ 0,5 Rm.

 

6.8.3.1.2

Op de materialen en constructie van gelaste reservoirs zijn de voorschriften van 6.8.5 van toepassing.

 

6.8.3.1.3

Gereserveerd

 

6.8.3.1.4

Constructie van batterijwagens en MEGC's

Flessen, grote cilinders, drukvaten en flessenbatterijen, die elementen van een batterijwagen of MEGC zijn, moeten volgens hoofdstuk 6.2 zijn geconstrueerd.

Opmerking 1: Flessenbatterijen die geen elementen van een batterijwagen of van een MEGC zijn, moeten zijn onderworpen aan de voorschriften van hoofdstuk 6.2.

Opmerking 2: Tanks als elementen van batterijwagens en MEGC's moeten zijn vervaardigd overeenkomstig 6.8.2.1 en 6.8.3.1.

Opmerking 3: Afneembare tanks* mogen niet worden beschouwd als elementen van batterijwagens of MEGC's.

* Voor de definitie van “afneembare tank”, zie 1.2.1

 

6.8.3.1.5

Tanks, bestemd voor het vervoer van sterk gekoelde, vloeibaar gemaakte gassen, moeten zijn voorzien van een warmte-isolerende bescherming. Deze warmte-isolerende bescherming moet zijn gewaarborgd door een aaneensluitende omhulling.

Indien de ruimte tussen het reservoir en de omhulling luchtledig is (vacuümisolatie), moet de beschermende omhulling zodanig berekend zijn, dat deze zonder vervorming een uitwendige druk van ten minste 100 kPa (1 bar) (overdruk) kan weerstaan.

In afwijking van de definitie van "berekeningsdruk" in 1.2.1 mag bij de berekeningen rekening worden gehouden met uit- en inwendige versterkingsinrichtingen.

Indien de omhulling gasdicht is, moet een inrichting aanwezig zijn, die verzekert dat door onvoldoende gasdichtheid van het reservoir of van de uitrustingsdelen daarvan geen gevaarlijke druk in de isolerende laag ontstaat.

Deze inrichting moet het binnendringen van vocht in de warmte-isolerende omhulling voorkomen. 

Voor typekeuring van de doelmatigheid van het isolatiesysteem, zie 6.8.3.4.11.

 

6.8.3.2

Uitrustingsdelen

6.8.3.2N - V.L.G.

In Nederland geregistreerde tankwagens, bestemd voor het vervoer van propaan, butaan en mengsels daarvan, zijn voorzien van een noodstopvoorziening die is aangesloten op het bedieningssysteem van de veiligheidsinrichting, bedoeld in randnummer 6.8.3.2.3 van bijlage 1, en op het aandrijfsysteem van de pomp. Het bedienen van de noodstopvoorziening heeft tot direct gevolg dat de veiligheidsinrichtingen gesloten worden en de pomp gestopt wordt. De bedieningsorganen van de noodstopvoorziening zijn zowel aangebracht in de bedieningskast(en) als bij de linkervoorzijde als bij de rechterachterzijde van de tank.

Tankwagens, bestemd voor het vervoer van propaan, butaan of mengsels daarvan, zijn voorzien van een wegrijdalarmering, ter voorkoming van het wegrijden met een aangekoppelde of niet opgeborgen slang. Deze voorziening bestaat uit een knipperende rode lamp op het dashboard en een intermitterende claxon in de cabine.

6.8.3.2.1

De lospijpen van de tanks moeten kunnen worden afgesloten door middel van een blindflens of een andere inrichting, die even betrouwbaar is.

Deze blindflenzen of gelijkwaardige inrichtingen mogen bij tanks, bestemd voor het vervoer van sterk gekoelde, vloeibaar gemaakte gassen van drukontlastingsopeningen met een diameter van ten hoogste 1,5 mm zijn voorzien.

 

6.8.3.2.2

Reservoirs, bestemd voor het vervoer van vloeibaar gemaakte gassen, mogen, behalve van de openingen, voorgeschreven in 6.8.2.2.2 en 6.8.2.2.4, zijn voorzien van openingen voor het aanbrengen van niveaumeetapparatuur, thermometers, manometers en van ontluchtingsopeningen, die noodzakelijk zijn voor hun werking en veiligheid.

 

6.8.3.2.3

De inwendige afsluiter van alle openingen voor het laden en lossen van tanks

 

 

met een inhoud van meer dan 1 m3

 

bestemd voor het vervoer van brandbare en/of giftige, vloeibaar gemaakte gassen, moet snelsluitend zijn en moet automatisch sluiten in het geval van een ongewilde verplaatsing van de tank of bij brand.

Het moet ook mogelijk zijn deze inwendige afsluiter op afstand te bedienen.

Op tanks bedoeld voor het vervoer van vloeibaar gemaakte, niet-giftige brandbare gassen mag echter de op afstand bedienbare inwendige afsluiter worden vervangen door een terugslagklep op de vulopeningen naar de gasfase van de tank.

De terugslagklep moet binnen de tank zijn aangebracht, moet veerbelast zijn zodat de klep wordt gesloten indien de druk in de vulleiding gelijk aan of lager is dan de druk in de tank en moet worden uitgerust met een geschikte afdichting *

* Het gebruik van een afdichting van metaal op metaal is niet toegestaan.

 

 

 

6.8.3.2.4

Met uitzondering van de openingen waarop de veiligheidskleppen zijn aangebracht en de afgesloten ontluchtingsopeningen, moeten alle andere openingen van de tanks, bestemd voor het vervoer van brandbare en/of giftige, vloeibaar gemaakte gassen, met een nominale diameter groter dan 1,5 mm voorzien zijn van een inwendige afsluitinrichting.

 

6.8.3.2.5

In afwijking van het bepaalde in 6.8.2.2.2, 6.8.3.2.3 en 6.8.3.2.4 mogen tanks, bestemd voor het vervoer van sterk gekoelde, vloeibaar gemaakte gassen, zijn voorzien van uitwendige in plaats van inwendige inrichtingen, mits de uitwendige inrichtingen een bescherming bieden, die ten minste gelijkwaardig is aan die van de reservoirwand.

 

6.8.3.2.6

Indien thermometers aanwezig zijn, mogen deze niet direct door de wand van het reservoir in het gas of de vloeistof steken.

 

6.8.3.2.7

De laad- en losopeningen, gelegen in het bovengedeelte van de tanks, moeten, naast hetgeen is voorgeschreven in 6.8.3.2.3, zijn voorzien van een tweede, uitwendige afsluitinrichting.

Deze moet door een blindflens of een andere even betrouwbare inrichting kunnen worden afgesloten.

 

6.8.3.2.8

Veiligheidskleppen moeten voldoen aan de voorschriften van 6.8.3.2.9 t/m 6.8.3.2.12 hieronder:

 

6.8.3.2.9

Tanks, bestemd voor het vervoer van brandbare, vloeibaar gemaakte gassen, moeten van veiligheidskleppen zijn voorzien. Tanks, bestemd voor het vervoer van samengeperste gassen, niet brandbare, vloeibaar gemaakte gassen of opgeloste gassen, mogen van veiligheidskleppen zijn voorzien. Indien veiligheidskleppen zijn gemonteerd, moeten zij voldoen aan de voorschriften van 6.8.3.2.9.1 t/m 6.8.3.2.9.5

 

6.8.3.2.9.1

Deze veiligheidskleppen moeten zich automatisch kunnen openen bij een druk, die gelijk is aan 0,9 tot 1,0 maal de beproevingsdruk van de tank waarop zij zijn aangebracht. Zij moeten van een type zijn dat weerstand kan bieden aan dynamische krachten met inbegrip van de bewegingen van de vloeistof.

Het gebruik van kleppen belast met gewichten of contragewichten is verboden.

De vereiste afblaascapaciteit van de veiligheidskleppen moet berekend worden volgens de formule in 6.7.3.8.1.1 en de veiligheidsklep moet ten minste voldoen aan het voorschrift van 6.7.3.9.

Veiligheidsventielen moeten op zodanige wijze zijn ontworpen dat zij het binnendringen van water of andere vreemde stoffen die de goede werking ervan kunnen belemmeren, verhinderen of daartegen beschermd zijn.

Enigerlei bescherming mag geen afbreuk doen aan het functioneren van de ventielen.

In de ruimte tussen de breekplaat en de veiligheidsklep moet een manometer of een andere geschikte indicator worden aangebracht, zodat breuk, perforatie of lekkage van de plaat kan worden opgespoord.

 

6.8.3.2.9.2

Indien tanks die hermetisch moeten worden gesloten, zijn uitgerust met veiligheidskleppen, moeten deze worden voorafgegaan door een breekplaat en moet aan de volgende voorwaarden worden voldaan:

  1. De minimale barstdruk bij 20 °C, toleranties inbegrepen, moet groter zijn dan of gelijk zijn aan 1,0 maal de beproevingsdruk;
  2. De maximale barstdruk bij 20 °C, toleranties inbegrepen, moet gelijk zijn aan 1,1 maal de beproevingsdruk; en
  3. De breekplaat mag de vereiste afvoercapaciteit of de goede werking van de veiligheidsklep niet verminderen.

 

6.8.3.2.9.3

Veiligheidskleppen moeten rechtstreeks op het reservoir of rechtstreeks op de uitloop van de breekplaat zijn aangesloten.

6.8.3.2.9.4

Elke inlaat voor een veiligheidsklep moet op de bovenzijde van het reservoir zijn geplaatst, zo dicht mogelijk bij de bovenste raaklijn

Alle inlaten van veiligheidskleppen moeten zich onder omstandigheden van maximale vulling in de dampruimte van het reservoir bevinden en de inrichtingen moeten zodanig worden aangebracht dat zij waarborgen dat de damp onbelemmerd kan ontsnappen.

Voor brandbare vloeibaar gemaakte gassen moet de ontsnappende damp op zodanige wijze van het reservoir worden weggeleid, dat het reservoir niet geraakt wordt.

Beschermende inrichtingen die de dampstroom afbuigen, zijn toelaatbaar, onder voorwaarde dat de vereiste capaciteit van de veiligheidsklep niet wordt verminderd.

 

6.8.3.2.9.5

Er moeten voorzieningen worden getroffen om de veiligheidskleppen te beschermen tegen schade veroorzaakt door het kantelen van de tank of door het raken van obstakels aan de bovenkant. Waar mogelijk moeten veiligheidskleppen niet buiten het profiel van het reservoir uitsteken.

 

6.8.3.2.9.6

Kenmerk voor veiligheidsklep

6.8.3.2.9.6.1

Op tanks die zijn voorzien van veiligheidskleppen overeenkomstig 6.8.3.2.9.1 tot en met 6.8.3.2.9.5 moet het kenmerk zijn aangebracht als beschreven in 6.8.3.2.9.6.3 tot en met 6.8.3.2.9.6.6.

 

6.8.3.2.9.6.2

Op tanks die niet zijn voorzien van veiligheidskleppen overeenkomstig 6.8.3.2.9.1 tot en met 6.8.3.2.9.5 moet het kenmerk zijn aangebracht als beschreven in 6.8.3.2.9.6.3 tot en met 6.8.3.2.9.6.6.

6.8.3.2.9.6.3

Het kenmerk bestaat uit een wit vierkant met afmetingen van ten minste 250 mm bij 250 mm. De lijn binnen de rand moet zwart zijn en loopt parallel aan de rand van het kenmerk op een afstand van ongeveer 12,5 mm van de buitenkant van die lijn tot de rand van het kenmerk.

De letters "SV" moeten zwart zijn, ten minste 120 mm hoog zijn en hebben een lijndikte van ten minste 12 mm.

6.8.3.2.9.6.3 1

6.8.3.2.9.6.4

Voor afneembare tanks

 

 Voor tankcontainers met een inhoud van niet meer dan 3000 liter mag het kenmerk worden verkleind tot ten minste 120 mm bij 120 mm.

De lijn binnen de rand moet zwart zijn en loopt parallel aan de rand van het kenmerk op een afstand van ongeveer 6 mm van de buitenkant van die lijn tot de rand van het kenmerk.

De letters "SV" moeten zwart zijn, ten minste 60 mm hoog zijn en hebben een lijndikte van ten minste 6 mm.

 

6.8.3.2.9.6.4 1

6.8.3.2.9.6.5

Het gebruikte materiaal moet weerbestendig zijn en een duurzaam kenmerk randeren. Het kenmerk mag niet van de bevestiging losraken in het geval van een 15 minuten durende hevige brand. Het moet bevestigd blijven ongeacht de stand van de tank.

 

6.8.3.2.9.6.6

De letter "SV" moeten onuitwisbaar zijn en moeten na een 15 minuten durende hevige brand nog leesbaar zijn.

 

6.8.3.2.9.6.7

De kenmerken moeten worden aangebracht aan beide lengtezijden en aan de achterzijde (tankauto’s) en aan beide lengtezijden en aan de voor- en achterzijde van afneemabre tanks.

 

De kenmerken moeten worden aangebracht aan beide lengtezijden en aan de achterzijde van vaste tanks (tankwagens) en aan beide lengtezijden en uiteinden van afneembare tanks.

6.8.3.2.10

Wanneer de tanks bestemd zijn om over zee te worden vervoerd, sluiten de bepalingen van 6.8.3.2.9 het aanbrengen van veiligheidskleppen overeenkomstig de IMDG Code niet uit.

 

6.8.3.2.11

Tanks voor het vervoer van sterk gekoelde, vloeibaar gemaakte gassen moeten zijn voorzien van twee of meer dan twee onafhankelijk van elkaar werkende veiligheidskleppen, die open kunnen gaan bij de hoogste bedrijfsdruk aangegeven op de tank.

Twee van deze veiligheidskleppen moeten afzonderlijk zodanig bemeten zijn, dat de gassen die door verdamping bij normaal bedrijf worden gevormd op zodanige wijze uit de tank kunnen ontsnappen, dat de druk op geen enkel tijdstip de op de tank aangegeven bedrijfsdruk meer dan 10% overschrijdt.

Eén van de veiligheidskleppen mag zijn vervangen door een breekplaat, die moet bezwijken bij de beproevingsdruk.

In geval van het verloren gaan van het vacuüm bij een dubbelwandige tank, of bij beschadiging van 20% van de isolatie van een enkelwandige tank, moet de combinatie van de drukontlastingsinrichtingen in staat zijn een zodanige hoeveelheid gas te laten ontsnappen, dat de druk in het reservoir niet de beproevingsdruk kan overschrijden.

De bepalingen van 6.8.2.1.7 zijn niet van toepassing op tanks met vacuüm-isolatie.

 

6.8.3.2.12

Deze drukontlastingsinrichtingen van tanks bestemd voor het vervoer voor het vervoer van sterk gekoelde, vloeibaar gemaakte gassen moeten zo zijn ontworpen, dat zij zelfs bij hun laagste bedrijfs-temperatuur zonder enige storing functioneren.

De betrouwbaarheid van hun functioneren moet zijn vastgesteld en gecontroleerd ofwel door beproeving van elke inrichting afzonderlijk, dan wel door beproeving van een exemplaar van elk ontwerptype.

 

6.8.3.2.13

 

 

De afsluiters van afneembare tanks die kunnen worden gerold, moeten van beschermkappen zijn voorzien.

 

 

 

6.8.3.2.14

Warmte-isolerende beschermingen.

Indien de tanks, bestemd voor het vervoer van vloeibaar gemaakte gassen, zijn voorzien van een warmte-isolerende bescherming, moet deze bestaan uit:

  1. ofwel een zonnedak dat tenminste het bovenste derde deel en ten hoogste de bovenste helft van het tankoppervlak bedekt en dat van het reservoir door een luchtlaag van ten minste 4 cm dikte is gescheiden;
  2. ofwel een volledige bekleding met isolerend materiaal van voldoende dikte.

 

6.8.3.2.15

Tanks, bestemd voor het vervoer van sterk gekoelde, vloeibaar gemaakte gassen, moeten zijn voorzien van een warmte-isolerende bescherming.

Deze warmte-isolerende bescherming moet zijn gewaarborgd door een aaneensluitende omhulling. Indien de ruimte tussen het reservoir en de omhulling luchtledig is (vacuümisolatie), moet de beschermende omhulling zodanig berekend zijn, dat deze zonder vervorming een uitwendige druk van tenminste 100 kPa (1 bar) (overdruk) kan weerstaan.

In afwijking van de definitie van "berekeningsdruk" in 1.2.1 mag bij de berekeningen rekening worden gehouden met uit- en inwendige versterkingsinrichtingen.

Indien de omhulling gasdicht is, moet een inrichting aanwezig zijn, die verzekert dat door onvoldoende gasdichtheid van het reservoir of van de uitrustingsdelen daarvan geen gevaarlijke druk in de isolerende laag ontstaat.

Deze inrichting moet het binnendringen van vocht in de warmte-isolerende omhulling voorkomen.

Voor een typekeuring van de doeltreffendheid van het isolatiesysteem, zie 6.8.3.4.11

 

6.8.3.2.16

Tanks, bestemd voor het vervoer van vloeibaar gemaakte gassen met een kookpunt bij atmosferische druk beneden -182 oC, mogen geen brandbare materialen bevatten noch in de warmte-isolerende bescherming noch in de bevestigingselementen.

De bevestigingselementen van tanks met vacuümisolatie mogen, met toestemming van de bevoegde autoriteit, materialen van kunststof bevatten tussen het reservoir en de omhulling.

 

6.8.3.2.17

In afwijking van het bepaalde in 6.8.2.2.4 behoeven reservoirs, bestemd voor het vervoer van sterk gekoelde, vloeibaar gemaakte gassen, niet te zijn voorzien van een opening voor inwendig onderzoek.

 

6.8.3.2.18

Uitrustingsdelen voor batterijwagens en MEGC's

Bedrijfs- en constructieve uitrusting moet zodanig aangebracht of ontworpen zijn dat schade die het vrijkomen van de inhoud van de drukhouder tijdens normale omstandigheden van behandeling en vervoer tot gevolg zou kunnen hebben, verhinderd wordt.

Indien de verbinding tussen het raamwerk van de batterijwagen of MEGC en de elementen onderlinge verplaatsing tussen de samengebouwde eenheden toestaat, moet de uitrusting zo worden vastgezet dat het een dergelijke verplaatsing toestaat zonder schade aan werkende delen.

De verzamelleidingen die naar de afsluiters leiden, moeten voldoende flexibel zijn om de afsluiters en de leidingen tegen afbreken of het vrijkomen van de inhoud van de drukhouder te beschermen.

De laad- en losinrichtingen (met inbegrip van flenzen of schroefdoppen) alsmede de eventuele beschermkappen moeten beveiligd kunnen worden tegen onbedoeld openen.

 

6.8.3.2.19

Teneinde in geval van beschadiging elk verlies van de inhoud te vermijden, moeten de verzamelleidingen, de losinrichtingen (buismoffen, afsluitinrichtingen), alsmede de afsluiters worden beschermd of zodanig worden aangebracht dat zij niet kunnen afbreken als gevolg van uitwendige krachten of zodanig worden ontworpen dat zij ertegen bestand zijn.

 

6.8.3.2.20

De verzamelleiding moet worden ontworpen voor gebruik in een temperatuurgebied van -20 oC t/m +50 oC.

De verzamelleiding moet zodanig worden ontworpen, vervaardigd en ingebouwd dat het risico van schade als gevolg van thermische uitzetting en contractie, mechanische schokken en trillingen wordt vermeden.

Alle buisleidingen moet van een geschikte metaalsoort zijn. Voor zover mogelijk moeten gelaste buisverbindingen worden gebruikt.

Verbindingen van koperen buizen moeten hardgesoldeerd zijn of een even sterke metalen verbinding bezitten.

Het smeltpunt van soldeermateriaal mag niet lager liggen dan 525 ºC. De verbindingen mogen de sterkte van buis niet verminderen zoals bij het snijden van schroefdraad het geval kan zijn.

 

6.8.3.2.21

Behalve voor UN 1001 acetyleen, mag de toelaatbare maximale spanning σ van de verzamelleidingen bij de beproevingsdruk van de houders niet meer bedragen dan 75% van de gegarandeerde rekgrens van het materiaal.

De noodzakelijke wanddikte van de verzamelleidingen voor het vervoer van UN 1001 acetyleen moet worden berekend volgens erkende regels voor de techniek.

Opmerking: Voor de rekgrens, zie 6.8.2.1.11.

 

6.8.3.2.22

In afwijking van de voorschriften van 6.8.3.2.3, 6.8.3.2.4 en 6.8.3.2.7 mogen bij flessen, grote cilinders, drukvaten en flessenbatterijen (cilinderpakketten) die elementen zijn van een batterijwagen of MEGC, de vereiste afsluitinrichtingen ook in het verzamelleidingsysteem zijn ingebouwd.

 

6.8.3.2.23

Indien één van de elementen is voorzien van een veiligheidsklep en indien zich tussen de elementen afsluitinrichtingen bevinden, dan moet elk element hiervan zijn voorzien.

 

6.8.3.2.24

De laad- en losinrichtingen mogen zijn aangesloten op een verzamelleiding.

 

6.8.3.2.25

Elk element, met inbegrip van de afzonderlijke flessen van een flessenbatterij, dat bestemd is voor het vervoer van giftige gassen, moet afzonderlijk met een afsluiter kunnen worden gesloten.

 

6.8.3.2.26

Batterijwagens of MEGC's, bestemd voor het vervoer van giftige gassen, mogen niet zijn voorzien van veiligheidskleppen, tenzij de veiligheidskleppen worden voorafgegaan door een breekplaat.

In dit geval moet de plaatsing van de breekplaat en de veiligheidsklep de instemming genieten van de bevoegde autoriteit.

 

6.8.3.2.27

Wanneer batterijwagens of MEGC's bestemd zijn om over zee te worden vervoerd, sluiten de bepalingen van 6.8.3.2.24 het aanbrengen van veiligheidskleppen overeenkomstig de IMDG Code niet uit.

 

6.8.3.2.28

Houders die elementen zijn van een batterijwagen of MEGC, bestemd voor het vervoer van brandbare gassen, moeten gecombineerd worden tot groepen van ten hoogste 5000 liter, die met behulp van een afsluiter van elkaar gescheiden kunnen worden.

De elementen van een batterijwagen of MEGC, bestemd voor het vervoer van brandbare gassen, moeten, indien zij uit tanks volgens dit hoofdstuk bestaan, met behulp van een afsluiter van elkaar gescheiden kunnen worden.

 

6.8.3.3

Onderzoek van het type en typegoedkeuring
Geen bijzondere voorschriften.

 

6.8.3.4

Onderzoek en beproevingen

6.8.3.4N - V.L.G.

In Nederland geregistreerde tankwagens, bestemd voor het vervoer van propaan, butaan of mengsels daarvan, worden iedere 26 weken onderworpen aan een visuele uitwendige inspectie en aan een controle op de goede werking van de uitrusting.

6.8.3.4.1

De materialen van gelaste reservoirs, met uitzondering van flessen, grote cilinders, drukvaten en flessen die deel uitmaken van flessenbatterijen die elementen zijn van een batterijwagen of MEGC, moeten beproefd worden volgens de methode, beschreven in 6.8.5.

 

6.8.3.4.2

De fundamentele vereisten voor de beproevingsdruk zijn opgenomen in 4.3.3.2.1 t/m 4.3.3.2.4 en de minimale beproevingsdrukken zijn opgenomen in de tabel van gassen en gasmengsels in 4.3.3.2.5.

 

6.8.3.4.3

De eerste hydraulische proefpersing moet worden uitgevoerd voordat de warmte-isolerende bescherming is aangebracht.

Indien het reservoir, zijn armaturen, buisleidingen en uitrustingsdelen zijn beproefd, moet de tank samengebouwd aan een dichtheidsproef onderworpen worden.

 

6.8.3.4.4

De inhoud van elk reservoir, bestemd voor het vervoer van samengeperste gassen die op massa wordt gevuld, van vloeibaar gemaakte gassen of van opgeloste gassen, moet onder toezicht van een onderzoeksinstantie, erkend door de bevoegde autoriteit, worden vastgesteld door weging of door volumetrische bepaling van de hoeveelheid water waarmee het reservoir kan worden gevuld; de meetfout bij het bepalen van de inhoud moet lager zijn dan 1%.

De inhoud mag niet worden bepaald door middel van een berekening die is gebaseerd op de afmetingen van het reservoir.

De hoogste toegestane massa's van de vulling volgens de verpakkingsinstructie P200 of P203 in 4.1.4.1 alsmede 4.3.3.2.2 en 4.3.3.2.3 moeten door een erkende deskundige worden voorgeschreven.

 

6.8.3.4.5

Het onderzoek van de lasnaden moet worden uitgevoerd volgens de voorschriften van 6.8.2.1.23, waarbij voor de coëfficiënt λ (lambda) 1,0 moet worden genomen.

 

6.8.3.4.6

Voor tanks, bestemd voor het vervoer van sterk gekoelde, vloeibaar gemaakte gassen:

  1. In afwijking van de voorschriften van 6.8.2.4.2 moeten de periodieke onderzoeken niet later dan

6 jaar

 

8 jaar.

 

na het eerste onderzoek en vervolgens niet later dan elke 12 jaar worden uitgevoerd.

  1. In afwijking van de voorschriften van 6.8.2.4.3 moeten de tussentijdse onderzoeken niet later dan zes jaar na elk periodiek onderzoek worden uitgevoerd.

 

6.8.3.4.7

Bij tanks met vacuümisolatie kunnen de hydraulische proefpersing en het onderzoek naar de inwendige toestand met toestemming van de onderzoeksinstantie worden vervangen door een dichtheidsproef en een meting van het vacuüm.

 

6.8.3.4.8

Indien bij de periodieke onderzoeken openingen zijn gemaakt in reservoirs, bestemd voor het vervoer van sterk gekoelde, vloeibaar gemaakte gassen, moet de methode die voor de hermetische afsluiting wordt toegepast, vóór de hernieuwde inbedrijfstelling goedgekeurd zijn door de onderzoeksinstantie; deze methode moet de ongeschonden staat van het reservoir waarborgen.

 

6.8.3.4.9

Dichtheidsproeven voor tanks bestemd voor het vervoer van gassen moeten worden uitgevoerd bij een druk van ten minste:

  1. voor samengeperste gassen, vloeibaar gemaakte gassen en opgeloste gassen: 20% van de beproevingsdruk;
  2. voor sterk gekoelde, vloeibaar gemaakte gassen: 90% van de hoogste bedrijfsdruk.

 

6.8.3.4.10

Verblijftijden voor tankcontainers waarin sterk gekoelde, vloeibaar gemaakte gassen worden vervoerd

 

 

De referentieverblijftijd voor tankcontainers die bestemd zijn voor het vervoer van sterk gekoelde, vloeibaar gemaakte gassen moet worden vastgesteld op grond van het volgende:

  1. De doeltreffendheid van het isolatiesysteem, vastgesteld volgens 6.8.3.4.11;
  2. de laagste ingestelde druk van de drukbegrenzende voorziening(en);
  3. de aanvankelijke vulcondities;
  4. een veronderstelde omgevingstemperatuur van 30 °C;
  5. de fysische eigenschappen van het specifieke sterk gekoelde, vloeibaar gemaakte gas beoogd om te worden vervoerd.

 

6.8.3.4.11

 

 

De doeltreffendheid van het isolatiesysteem (warmte-instroom in Watt) moet worden vastgesteld door een typekeuring van de tankcontainers.

Deze keuring moet bestaan uit:

  1. een beproeving onder constante druk (bijvoorbeeld bij atmosferische druk) waarbij gedurende een bepaalde tijd het verlies van sterk gekoeld, vloeibaar gemaakt gas wordt gemeten; of
  2. een beproeving in gesloten systeem waarbij gedurende een bepaalde tijd de drukverhoging in het reservoir wordt gemeten.

Bij het uitvoeren van de beproeving onder constante druk moeten veranderingen in atmosferische druk in aanmerking worden genomen.

Bij het uitvoeren van beide beproevingen moeten correcties worden aangebracht voor elke verandering van de omgevingstemperatuur ten opzichte van de referentiewaarde van de veronderstelde omgevingstemperatuur van 30 oC.

Opmerking: ISO 21014:2006 ‘Cryogene vaten — Cryogene isolatieprestatie’ bevat een uiteenzetting van methoden ter vaststelling van de isolatieprestatie van cryogene vaten en een methode voor de berekening van de verblijftijd.

 

6.8.3.4.12

Onderzoek en beproevingen van batterijwagens en MEGC's

De elementen en uitrustingsdelen van elke batterijwagen of MEGC moeten gezamenlijk dan wel afzonderlijk worden onderzocht en beproefd voordat ze voor de eerste keer in bedrijf worden gesteld (eerste onderzoek en beproeving).

Daarna moeten batterijwagens of MEGC's met houders als elementen met tussenpozen van ten hoogste vijf jaar worden onderzocht.

Batterijwagens en MEGC's met tanks als elementen moeten worden onderzocht volgens 6.8.2.4.2 en 6.8.2.4.3

Een buitengewoon onderzoek en  beproeving moeten ongeacht het laatste periodieke onderzoek en beproeving worden uitgevoerd, indien dit volgens 6.8.3.4.16 noodzakelijk is.

 

6.8.3.4.13

Het eerste onderzoek moet omvatten:

  • een controle van de overeenstemming met het goedgekeurde type;
  • een controle van de constructiekenmerken;
  • een onderzoek naar de inwendige en uitwendige toestand;
  • een hydraulische proefpersing
    (Noot: In bijzondere gevallen mag, met toestemming van de bevoegde autoriteit, de hydraulische proefpersing vervangen worden door een proefpersing met gas, of met een andere vloeistof, voor zover deze methode niet gevaarlijk is.)
    bij de beproevingsdruk die op de in 6.8.3.5.10 beschreven plaat staat aangegeven; en
  • een dichtheidsproef bij de hoogste bedrijfsdruk; en
  • een controle van het goed functioneren van de uitrusting.

Indien de elementen en hun armaturen afzonderlijk een drukproef hebben ondergaan, moeten zij samengebouwd aan een dichtheidsproef worden onderworpen.

 

6.8.3.4.14

Flessen, grote cilinders en drukvaten, alsmede flessen als onderdeel van flessenbatterijen, moeten volgens verpakkingsinstructie P200 of P203 in 4.1.4.1 worden beproefd.

De beproevingsdruk van de verzamelleiding van de batterijwagen of MEGC moet dezelfde zijn als die van de elementen van de batterijwagen of MEGC.

De proefpersing van de verzamelleiding mag worden uitgevoerd als een hydraulische beproeving, of met toestemming van de bevoegde autoriteit met gebruik van een andere vloeistof of een gas.

In afwijking van deze bepaling mag de beproevingsdruk voor de verzamelleiding van een batterijwagen of MEGC voor UN 1001 acetyleen, opgelost, niet lager zijn dan 300 bar.

 

6.8.3.4.15

Het periodieke onderzoek moet een dichtheidsproef bij de hoogste bedrijfsdruk omvatten en een uitwendig onderzoek van de opbouw, de elementen en de bedrijfsuitrusting zonder demontage daarvan.

De elementen en de buisleidingen moeten binnen de in verpakkingsinstructie P200 in 4.1.4.1 vastgestelde termijnen en overeenkomstig de voorschriften van 6.2.1.6 respectievelijk 6.2.3.5 worden beproefd.

Indien de elementen en de uitrusting afzonderlijk onder druk zijn beproefd, moeten zij samengebouwd aan een dichtheidsproef worden onderworpen.

 

6.8.3.4.16

Een buitengewoon onderzoek en beproeving is noodzakelijk wanneer de batterijwagen of MEGC beschadigde of gecorrodeerde oppervlakken, of lekkage, of enige andere conditie vertoont, die een aanwijzing vormen voor een gebrek dat de goede staat van de batterijwagen of MEGC zou kunnen aantasten.

De omvang van het buitengewone onderzoek en beproeving en, indien noodzakelijk geacht, het demonteren van elementen moet afhangen van de mate van beschadiging of verslechtering van de toestand van de batterijwagen of MEGC.

Het moet ten minste het onder 6.8.3.4.17 vereiste onderzoek omvatten.

 

6.8.3.4.17

De onderzoeken moeten waarborgen dat:

  1. de elementen uitwendig worden geïnspecteerd op putjes, corrosie, slijtage, deuken, vervormingen, gebreken in lasverbindingen of enige andere conditie, met inbegrip van lekkage, die de batterijwagens of MEGC's onveilig zouden kunnen maken voor het vervoer;
  2. de buisleidingen, afsluiters en pakkingen worden geïnspecteerd op gecorrodeerde oppervlakken, gebreken en andere condities, met inbegrip van lekkage, die batterijwagens of MEGC's onveilig zouden kunnen maken voor het laden, het lossen of het vervoer;
  3. ontbrekende of losse bouten of moeren op een flensverbinding of blindflens worden vervangen of aangehaald;
  4. alle veiligheidsinrichtingen en afsluiters vrij zijn van corrosie, vervorming en beschadigingen of gebreken die hun normale werking zou kunnen verhinderen. Op afstand bedienbare en automatisch sluitende afsluiters moeten worden bediend om de juiste werking te demonstreren;
  5. de vereiste kenmerken op de batterijwagens of MEGC's leesbaar is en in overeenstemming met de van toepassing zijnde voorschriften; en
  6. alle raamwerken, steunen en voorzieningen voor het hijsen van de batterijwagens of MEGC's zich in acceptabele toestand bevinden.

 

6.8.3.4.18

De beproevingen, controles en onderzoeken volgens 6.8.3.4.12 t/m 6.8.3.4.17 moeten worden uitgevoerd door de onderzoeksinstantie

Van de uitslag van deze keuringen, zelfs in geval van negatieve resultaten moeten certificaten worden afgegeven.

In deze certificaten moet een verwijzing worden opgenomen naar de lijst van stoffen, die in deze batterijwagen of MEGC overeenkomstig 6.8.2.3.2 ten vervoer zijn toegelaten.

Een kopie van deze certificaten moet worden toegevoegd aan het tankdossier van elke beproefde tank, batterijwagen of MEGC (zie 4.3.2.1.7).

 

6.8.3.5

Kenmerking

6.8.3.5.1

Op de in 6.8.2.5.1 voorgeschreven plaat of rechtstreeks op de wanden van het reservoir zelf, indien deze zodanig zijn versterkt dat daardoor de weerstand van de tank niet wordt aangetast, moeten bovendien de volgende aanduidingen zijn ingeslagen of op soortgelijke wijze zijn aangebracht:

 

6.8.3.5.2

Op tanks, bestemd voor het vervoer van één enkele stof:

  • de juiste vervoersnaam van het gas en bovendien bij gassen die onder een n.e.g.-positie zijn ingedeeld, de technische benaming*

Deze aanduiding moet worden aangevuld:

  • in geval van tanks, bestemd voor het vervoer van samengeperste gassen, die op volume (druk) worden gevuld, met de voor de tank hoogste toegestane vuldruk bij 15 °C en
  • in geval van tanks, bestemd voor het vervoer van samengeperste gassen, die op massa worden gevuld, alsmede bij tanks, bestemd voor het vervoer van vloeibaar gemaakte, sterk gekoelde, vloeibaar gemaakte gassen of opgeloste gassen, met de hoogst toelaatbare massa van de lading in kg en met de vultemperatuur indien die lager is dan -20 °C.

* In plaats van de juiste vervoersnaam of, indien van toepassing, van de juiste vervoersnaam van de n.e.g.-positie, gevolgd door de technische benaming, is het gebruik van de volgende benamingen toegestaan:

  1. voor UN 1078 koelgas, n.e.g.: mengsel F1, mengsel F2, mengsel F3;
  2. voor UN 1060 mengsel van methylacetyleen en propadieen, gestabiliseerd: mengsel P1, mengsel P2;
  3. voor UN 1965 mengsel van koolwaterstofgassen, vloeibaar gemaakt, n.e.g.: mengsel A, mengsel A 01, mengsel A 02, mengsel A 0, mengsel A 1, mengsel B 1, mengsel B 2, mengsel B, mengsel C. De gebruikelijke handelsnamen, genoemd in 2.2.2.3, classificatiecode 2F, UN 1965, Opmerking 1, mogen alleen aanvullend worden gebruikt.
  4. voor UN 1010 butadienen, gestabiliseerd: 1,2-butadieen, gestabiliseerd, 1,3-butadieen, gestabiliseerd.
  5. Voor UN 1012 Buteen, 1-buteen, cis-2-buteen, trans-2-buteen, mengsels van butenen.

 

6.8.3.5.3

Op tanks voor afwisselend gebruik:

  • de juiste vervoersnaam van de gassen, en bovendien, bij gassen die onder een n.e.g.-positie zijn ingedeeld, de technische benaming van de gassen* voor het vervoer waarvan de tank is goedgekeurd.

Deze aanduidingen moeten worden aangevuld met de aanduiding van de hoogst toelaatbare massa van de lading in kg voor elk der gassen.

* In plaats van de juiste vervoersnaam of, indien van toepassing, van de juiste vervoersnaam van de n.e.g.-positie, gevolgd door de technische benaming, is het gebruik van de volgende benamingen toegestaan:

  • voor UN 1078 koelgas, n.e.g.: mengsel F1, mengsel F2, mengsel F3;
  • voor UN 1060 mengsel van methylacetyleen en propadieen, gestabiliseerd: mengsel P1, mengsel P2;
  • voor UN 1965 mengsel van koolwaterstofgassen, vloeibaar gemaakt, n.e.g.: mengsel A, mengsel A 01, mengsel A 02, mengsel A 0, mengsel A 1, mengsel B 1, mengsel B 2, mengsel B, mengsel C. De gebruikelijke handelsnamen, genoemd in 2.2.2.3, classificatiecode 2F, UN 1965, Opmerking 1, mogen alleen aanvullend worden gebruikt.
  • voor UN 1010 butadienen, gestabiliseerd: 1,2-butadieen, gestabiliseerd, 1,3-butadieen, gestabiliseerd.
  • Voor UN 1012 Buteen, 1-buteen, cis-2-buteen, trans-2-buteen, mengsels van butenen.

 

6.8.3.5.4

Op tanks, bestemd voor het vervoer van sterk gekoelde, vloeibaar gemaakte gassen:

  • de hoogste toegestane bedrijfsdruk;

 

 

  • referentieverblijftijd (in dagen of uren) voor elk gas*;
  • de bijbehorende aanvankelijke drukwaarden (in bar overdruk of kPa overdruk)*.

* Na de numerieke waarden moeten de meeteenheden worden toegevoegd

 

 

 

6.8.3.5.5

Op tanks die zijn voorzien van een warmte-isolerende bescherming:

  • het opschrift "warmtewerend" of "vacuümisolatie".

 

6.8.3.5.6

In aanvulling op de opschriften, voorgeschreven in 6.8.2.5.2, moeten de volgende aanduidingen zijn aangebracht op de tankwagen (op de tank zelf of op platen)*:

* Na de numerieke waarden moeten de meeteenheden worden toegevoegd.

In aanvulling op de opschriften, voorgeschreven in 6.8.2.5.2, moeten de volgende aanduidingen zijn aangebracht op de tankcontainer (op de tank zelf of op platen)*:

* Na de numerieke waarden moeten de meeteenheden worden toegevoegd.

 

    • de tankcode overeenkomstig het certificaat (zie 6.8.2.3.2) met de werkelijke beproevingsdruk van de tank
    • het opschrift: "laagste toegestane vultemperatuur: "
  1. bij tanks, bestemd voor het vervoer van één enkele stof:
    • de juiste vervoersnaam van het gas en bovendien bij gassen die onder een n.e.g.-positie zijn ingedeeld, de technische benaming*;
    • voor samengeperste gassen die op massa worden gevuld, alsmede voor vloeibaar gemaakte gassen, sterk gekoelde, vloeibaar gemaakte gassen of opgeloste gassen de hoogst toelaatbare massa van de lading in kg;
  2. bij tanks voor afwisselend gebruik:
    • de juiste vervoersnaam van het gas en bovendien bij gassen die onder een n.e.g.-positie zijn ingedeeld, de technische benaming* van alle gassen, voor het vervoer waarvan de tanks zijn toegelaten met een aanduiding van de hoogst toelaatbare massa van de lading in kg voor elk der gassen;
  3. bij reservoirs die zijn voorzien van een warmte-isolerende bescherming:
    • het opschrift "warmtewerend" (of "vacuümisolatie") in een officiële taal van het land van registratie en indien deze taal het Engels, het Frans, noch het Duits is, bovendien in het Engels, het Frans of het Duits, tenzij eventuele tussen de bij het vervoer betrokken landen gesloten overeenkomsten anders bepalen.

 * In plaats van de juiste vervoersnaam of, indien van toepassing, van de juiste vervoersnaam van de n.e.g.-positie, gevolgd door de technische benaming, is het gebruik van de volgende benamingen toegestaan:

  • voor UN 1078 koelgas, n.e.g.: mengsel F1, mengsel F2, mengsel F3;
  • voor UN 1060 mengsel van methylacetyleen en propadieen, gestabiliseerd: mengsel P1, mengsel P2;
  • voor UN 1965 mengsel van koolwaterstofgassen, vloeibaar gemaakt, n.e.g.: mengsel A, mengsel A 01, mengsel A 02, mengsel A 0, mengsel A 1, mengsel B 1, mengsel B 2, mengsel B, mengsel C. De gebruikelijke handelsnamen, genoemd in 2.2.2.3, classificatiecode 2F, UN 1965, Opmerking 1, mogen alleen aanvullend worden gebruikt.
  • voor UN 1010 butadienen, gestabiliseerd: 1,2-butadieen, gestabiliseerd, 1,3-butadieen, gestabiliseerd.
  • Voor UN 1012 Buteen, 1-buteen, cis-2-buteen, trans-2-buteen, mengsels van butenen.

 

6.8.3.5.7

Gereserveerd

 

6.8.3.5.8

Deze aanduidingen zijn niet vereist voor een dragend voertuig van afneembare tanks.

 

 

 

 

 

6.8.3.5.9

Gereserveerd

 

6.8.3.5.10

Kenmerking van batterijwagens en MEGC's

Elke batterijwagen en elke MEGC moet zijn voorzien van een plaat van corrosiebestendig metaal, die blijvend is aangebracht op een gemakkelijk voor inspectie toegankelijke plaats.
Ten minste de volgende aanduidingen moeten op de plaat worden aangebracht door middel van inslaan of een andere soortgelijke methode*

  • goedkeuringsnummer;
  • naam of merkteken van de fabrikant;
  • serienummer van de fabrikant;
  • bouwjaar;
  • beproevingsdruk (overdruk);
  • berekeningstemperatuur (slechts indien deze hoger is dan +50 °C of lager dan - 20 °C);
  • de datum (maand en jaar) van de eerste keuring en de laatst uitgevoerde periodieke beproeving overeenkomstig 6.8.3.4.12 t/m 6.8.3.4.15;
  • waarmerk van de deskundige die de keuringen heeft uitgevoerd.

* Na de numerieke waarden moeten de meeteenheden worden toegevoegd.

 

6.8.3.5.11

De volgende aanduidingen moeten op de batterijwagen zelf of op een plaat zijn aangegeven*:

  • namen van de eigenaar of van de exploitant;
  • aantal elementen;
  • totale inhoud van de elementen;

en voor batterijwagens die op massa worden gevuld:

  • lege (eigen) massa;
  • grootste toelaatbare massa;

* Na de numerieke waarden moeten de meeteenheden worden toegevoegd.

 

De volgende aanduidingen moeten, hetzij op de MEGC zelf, hetzij op een plaat zijn aangegeven*1:

  • namen van de eigenaar en van de exploitant;
  • aantal elementen;
  • totale inhoud van de elementen;
  • grootste toelaatbare massa in beladen toestand;
  • de tankcode overeenkomstig het certificaat van goedkeuring (zie 6.8.2.3.2) met de werkelijke beproevingsdruk van de MEGC;
  • de juiste vervoersnaam van de gassen, en bovendien, bij gassen die onder een n.e.g.-positie zijn ingedeeld, de technische benaming*2 van de gassen, voor het vervoer waarvan de MEGC wordt gebruikt;
    en voor MEGC's die op massa worden gevuld:
  • eigen massa

*1 Na de numerieke waarden moeten de meeteenheden worden toegevoegd.

*2  In plaats van de juiste vervoersnaam of, indien van toepassing, van de juiste vervoersnaam van de n.e.g.-positie, gevolgd door de technische benaming, is het gebruik van de volgende benamingen toegestaan:

  • voor UN 1078 koelgas, n.e.g.: mengsel F1, mengsel F2, mengsel F3;
  • voor UN 1060 mengsel van methylacetyleen en propadieen, gestabiliseerd: mengsel P1, mengsel P2;
  • voor UN 1965 mengsel van koolwaterstofgassen, vloeibaar gemaakt, n.e.g.: mengsel A, mengsel A 01, mengsel A 02, mengsel A 0, mengsel A 1, mengsel B 1, mengsel B 2, mengsel B, mengsel C. De gebruikelijke handelsnamen, genoemd in 2.2.2.3, classificatiecode 2F, UN 1965, Opmerking 1, mogen alleen aanvullend worden gebruikt.
  • voor UN 1010 butadienen, gestabiliseerd: 1,2-butadieen, gestabiliseerd, 1,3-butadieen, gestabiliseerd.
  • Voor UN 1012 Buteen, 1-buteen, cis-2-buteen, trans-2-buteen, mengsels van butenen.

 

 

6.8.3.5.12

Op het raamwerk van een batterijwagen of MEGC moet in de buurt van het vulpunt een plaat zijn aangebracht met de volgende aanduidingen:

  • de hoogste toegestane vuldruk*1 bij 15 °C voor elementen, bestemd voor samengeperste gassen;
  • de juiste vervoersnaam van het gas volgens hoofdstuk 3.2 en bovendien voor gassen die onder een n.e.g.-positie zijn ingedeeld, de technische benaming *2;
    en bovendien in geval van vloeibaar gemaakte gassen:
  •  de hoogst toelaatbare massa van de lading per element.*1

*1 Na de numerieke waarden moeten de meeteenheden worden toegevoegd.

*In plaats van de juiste vervoersnaam of, indien van toepassing, van de juiste vervoersnaam van de n.e.g.-positie, gevolgd door de technische benaming, is het gebruik van de volgende benamingen toegestaan:

  • voor UN 1078 koelgas, n.e.g.: mengsel F1, mengsel F2, mengsel F3;
  • voor UN 1060 mengsel van methylacetyleen en propadieen, gestabiliseerd: mengsel P1, mengsel P2;
  • voor UN 1965 mengsel van koolwaterstofgassen, vloeibaar gemaakt, n.e.g.: mengsel A, mengsel A 01, mengsel A 02, mengsel A 0, mengsel A 1, mengsel B 1, mengsel B 2, mengsel B, mengsel C. De gebruikelijke handelsnamen, genoemd in 2.2.2.3, classificatiecode 2F, UN 1965, Opmerking 1, mogen alleen aanvullend worden gebruikt.
  • voor UN 1010 butadienen, gestabiliseerd: 1,2-butadieen, gestabiliseerd, 1,3-butadieen, gestabiliseerd.
  • Voor UN 1012 Buteen, 1-buteen, cis-2-buteen, trans-2-buteen, mengsels van butenen.

 

6.8.3.5.13

Flessen, grote cilinders, drukvaten en flessen als onderdeel van flessenbatterijen moeten volgens 6.2.2.7 van opschriften zijn voorzien.

Deze houders behoeven niet afzonderlijk van gevaarsetiketten zoals vereist in hoofdstuk 5.2 te zijn voorzien.

Batterijwagens en MEGC's moeten zijn geëtiketteerd en gekenmerkt overeenkomstig hoofdstuk 5.3.

 

6.8.3.6

Voorschriften voor batterijwagens en MEGC’s die worden ontworpen, geconstrueerd, gekeurd en beproefd overeenkomstig normen waarnaar wordt verwezen

Opmerking: Personen of instanties die in normen aangegeven worden als verantwoordelijken volgens het ADR, moeten aan de voorschriften van het ADR voldoen.

Met ingang van 1 januari 2009 is het gebruik van normen waarnaar wordt verwezen verplicht. Uitzonderingen worden behandeld in 6.8.3.7.

Certificaten voor typegoedkeuring moeten worden afgegeven overeenkomstig 1.8.7 of 6.8.2.3. Voor de afgifte van een typegoedkeuringscertificaat moet uit de onderstaande tabel één norm worden gekozen die van toepassing is volgens de aanduiding in kolom (4). Indien meer dan één norm kan worden toegepast, moet slechts één ervan worden gekozen.

Kolom (3) geeft de paragrafen van hoofdstuk 6.8 aan waarmee de norm in overeenstemming is.

In kolom (5) is de uiterlijke datum aangegeven waarop bestaande typegoedkeuringen overeenkomstig 1.8.7.2.2.2 moeten worden ingetrokken; indien geen datum is aangegeven, blijft de typegoedkeuring geldig totdat deze vervalt.

De normen moeten worden toegepast overeenkomstig 1.1.5. De normen moeten volledig worden toegepast, tenzij in onderstaande tabel anders is aangegeven.

Het toepassingsbereik van elke norm is vastgelegd in de desbetreffende bepaling van die norm, tenzij anderszins

 

Verwijzing Titel van het document Subsecties   en paragrafen  van toepassing Toepassing voor nieuwe typegoed- keuring of voor hernieuwing en Laatste datum voor intrekking van bestaande
type goedkeuringen
(1) (2) (3) (4) (5)
EN 13807: 2003 Verplaatsbare gasflessen − Batterijwagens − Ontwerp, fabricage, identificatie en beproeving
Opmerking: Voor zover van toepassing mag deze norm ook worden toegepast voor MEGC’s die uit drukhouders bestaan
6.8.3.1.4 en 6.8.3.1.5,
6.8.3.2.18 t/m 6.8.3.2.26,
6.8.3.4.12 t/m
6.8.3.4.14 en
6.8.3.5.10 t/m 6.8.3.5.13
Tussen
1 januari 2005
en
31 december 2020
 
EN 13807:2017 Verplaatsbare gasflessen − Batterijwagens en gascontainers met verscheidene elementen (MEGC’s) – Ontwerp, fabricage, identificatie en beproeving 6.8.3.1.4 en 6.8.3.1.5,
6.8.3.2.18 t/m 6.8.3.2.28,
6.8.3.4.12 t/m
6.8.3.4.14 en
6.8.3.5.10 t/m 6.8.3.5.13
tot nader order  
EN ISO
23826:2021
Gasflessen - Kogelafsluiters -
Specificatie en beproeving
6.8.2.1.1 en
6.8.2.21
Verplicht
vanaf 1
januari 2025
 

 

 

6.8.3.7

Voorschriften voor batterijwagens en MEGC's die niet volgens normen waarnaar wordt verwezen zijn ontworpen, geconstrueerd, gekeurd en beproefd.

Teneinde rekening te houden met de vooruitgang van wetenschap en techniek of indien geen norm is genoemd in 6.8.3.6, of om rekening te houden met speciale aspecten die niet in een in 6.8.3.6 genoemde norm aan de orde worden gesteld, kan de bevoegde autoriteit het gebruik van een technisch
reglement erkennen dat hetzelfde niveau van veiligheid biedt. Batterijwagens en MEGC’s moeten echter voldoen aan de minimumvoorschriften van 6.8.3.

Zodra een in 6.8.3.6 nieuw genoemde norm kan worden toegepast, moet de bevoegde autoriteit de erkenning van de relevante technische reglementen intrekken. Daarbij mag een overgangsperiode worden gehanteerd die niet later afloopt dan de datum van inwerkingtreding van de volgende editie van het ADR.

De procedure voor periodieke onderzoeken moet in de typegoedkeuring worden gespecificeerd indien de normen waarnaar in 6.2.2, 6.2.4 of 6.8.2.6 wordt verwezen, niet van toepassing zijn of niet worden toegepast.

De bevoegde autoriteit moet aan het secretariaat van de UNECE een lijst van de door haar erkende technische reglementen doen toekomen. De lijst moet de volgende bijzonderheden omvatten:

  • benaming en datum van het reglement,
  • doelstelling van het reglement en gegevens waar dit verkrijgbaar is.

Het secretariaat moet deze informatie openbaar maken op zijn website en actualiseren als zij verandert.

Een norm waarvan is aangenomen dat er in een toekomstige uitgave van het ADR naar wordt verwezen, kan door de bevoegde autoriteit voor gebruik worden toegelaten zonder kennisgeving aan het secretariaat van de UNECE.

 

6.8.4

Bijzondere bepalingen

Opmerking 1: Voor vloeistoffen met een vlampunt van ten hoogste 60° C en voor brandbare gassen, zie ook 6.8.2.1.26, 6.8.2.1.27 en 6.8.2.2.9.

Opmerking 2: Voor de voorschriften voor tanks die aan een proefpersing van ten minste 1 MPa (10 bar) worden onderworpen of voor tanks bestemd voor het vervoer van sterk gekoelde, vloeibaar gemaakte gassen , zie 6.8.5.

Indien zij onder een positie in kolom (13) van tabel A in hoofdstuk 3.2 zijn aangegeven, zijn de volgende bijzondere bepalingen van toepassing:

 

Bijzondere bepalingen CONSTRUCTIE (TC)

 

TC-01

Bijzondere bepaling TC 01

De voorschriften van 6.8.5 zijn van toepassing op de materialen en de constructie van deze reservoirs.

 

 

TC-02

Bijzondere bepaling TC 02

Reservoirs en hun uitrusting moeten zijn vervaardigd van aluminium met een zuiverheid van ten minste 99,5% of van een geschikte staalsoort, die geen aanleiding kan geven tot ontleding van het waterstofperoxide.

Indien reservoirs zijn vervaardigd van aluminium met een zuiverheid van ten minste 99,5%, behoeft de wanddikte van het reservoir niet meer te bedragen dan 15 mm, ook indien de berekening volgens 6.8.2.1.17 tot een hogere waarde leidt.

 

TC-03

Bijzondere bepaling TC 03

Reservoirs moeten zijn vervaardigd van austenitisch staal.

 

TC-04

Bijzondere bepaling TC 04

Reservoirs moeten zijn voorzien van een bekleding van email of een gelijkwaardige beschermende bekleding, indien het materiaal van het reservoir door UN 3250 chloorazijnzuur wordt aangetast.

 

TC-05

Bijzondere bepaling TC 05

Reservoirs moeten zijn voorzien van een bekleding van lood met een dikte van ten minste 5 mm of van een gelijkwaardige bekleding.

 

TC-06

Bijzondere bepaling TC 06

Indien voor tanks het gebruik van aluminium noodzakelijk is, moeten deze tanks worden vervaardigd van aluminium met een zuiverheid van ten minste 99,5%; de wanddikte behoeft niet meer te bedragen dan 15 mm, zelfs indien berekening volgens 6.8.2.1.17 een hogere waarde oplevert.

 

TC-07

Bijzondere bepaling TC 07

De effectieve minimumdikte van de wand van het reservoir mag niet minder zijn dan 3 mm.

 

TC-08

Bijzondere bepaling TC 08

Reservoirs moeten van aluminium of een aluminiumlegering zijn vervaardigd.

De reservoirs mogen ontworpen zijn voor een uitwendige ontwerpdruk van niet lager dan 5 kPa (0,05 bar).

Bijzondere bepalingen UITRUSTIGSDELEN (TE)

 

TE-01

Bijzondere bepaling TE 01

Geschrapt

 

TE-02

Bijzondere bepaling TE 02

Geschrapt

 

TE-03

Bijzondere bepaling TE 03

Tanks moeten bovendien aan de volgende voorschriften voldoen: De verwarmingsinrichting mag niet doordringen in het inwendige van het reservoir, doch moet aan de buitenzijde zijn aangebracht.

Een leiding voor het lossen van de fosfor mag echter voorzien zijn van een verwarmingsmantel.

De verwarmingsinrichting van deze mantel moet zo zijn afgesteld, dat de temperatuur van de fosfor de temperatuur van belading van het reservoir niet overschrijdt.

Andere buisleidingen moeten in het bovenste deel van het reservoir leiden; de openingen moeten zich boven het maximaal toelaatbare niveau van de fosfor bevinden en moeten geheel kunnen worden afgesloten onder vergrendelbare kappen.

De tank moet zijn voorzien van een peilinrichting voor de controle van het niveau van de fosfor en, indien water als beschermingsmiddel wordt gebruikt, van een vast merkteken, dat het hoogste niveau aangeeft, waarboven het water niet mag stijgen.

 

 

TE-04

Bijzondere bepaling TE 04

Reservoirs moeten zijn voorzien van een warmte-isolerende bescherming die moet zijn vervaardigd van moeilijk ontvlambare materialen.

 

TE-05

Bijzondere bepaling TE 05

Indien reservoirs zijn voorzien van een warmte-isolerende bescherming, dan moet deze zijn vervaardigd van moeilijk ontvlambare materialen.

 

TE-06

Bijzondere bepaling TE 06

Tanks mogen zijn voorzien van een inrichting die zodanig ontworpen is dat verstopping van de inrichting door de vervoerde stof uitgesloten is en dat lekkage en de ontwikkeling van over- of onderdruk in het reservoir wordt verhinderd.

 

TE-07

Bijzondere bepaling TE 07

De losinrichtingen van de reservoirs moeten zijn voorzien van twee achter elkaar gelegen, onafhankelijk van elkaar werkende afsluiters, waarvan de eerste bestaat uit een inwendige snelsluitende afsluiter van een goedgekeurd type, en de tweede uit een uitwendige afsluiter, die aan elk uiteinde van de lospijp is aangebracht.

Op de uitloop van elke uitwendige afsluiter moet tevens een blindflens of een andere inrichting, die even betrouwbaar is, zijn aangebracht.

Wanneer de lospijp afbreekt, moet de inwendige afsluiter verbonden blijven met het reservoir en gesloten blijven.

 

TE-08

Bijzondere bepaling TE 08

De verbindingen naar de uitwendige aansluitingen voor de leidingen van de tanks moeten zijn vervaardigd van materialen die geen ontleding van het waterstofperoxide kunnen veroorzaken.

 

TE-09

Bijzondere bepaling TE 09

Tanks moeten in het bovenste gedeelte zijn voorzien van een afsluitinrichting, die verhindert dat zich in het reservoir als gevolg van ontleding van de vervoerde stoffen een overdruk kan vormen en die tevens het verlies van de vloeistof en het binnendringen van vreemde stoffen in het reservoir verhindert.

 

TE-10

Bijzondere bepaling TE 10

De afsluitinrichtingen van tanks moeten zodanig zijn geconstrueerd, dat verstopping van de inrichtingen door de gestolde stof tijdens het vervoer niet mogelijk is.

Indien tanks zijn omgeven door een warmte-isolerend materiaal, moet dit anorganisch van aard zijn en geheel vrij zijn van brandbare stoffen.

 

TE-11

Bijzondere bepaling TE 11

Reservoirs, met inbegrip van de bedrijfsuitrusting, moeten zodanig zijn ontworpen, dat geen vreemde stoffen in het reservoir kunnen binnendringen, geen vloeistof uit het reservoir kan ontsnappen en dat in het reservoir geen gevaarlijke overdruk kan ontstaan als gevolg van de ontleding van de vervoerde stoffen.

Een veiligheidsklep die voorkomt dat vreemde stoffen binnendringen, voldoet ook aan deze bepaling.

 

TE-12

Bijzondere bepaling TE 12

Tanks moeten van een warmte-isolerende bescherming zijn voorzien overeenkomstig de voorschriften van 6.8.3.2.14. Indien de SADT van het organische peroxide in de tank 55° C of lager is, of indien de tank van aluminium vervaardigd is, moet het reservoir volledig zijn geïsoleerd.

Het zonnedak en elk deel van de tank dat daardoor niet is bedekt, of de buitenbekleding van een volledige isolatie, moeten zijn voorzien van een witte verflaag of van een blank metalen oppervlaktebedekking.

De verflaag moet vóór elk vervoer zijn gereinigd en in geval van vergeling of verslechtering worden vernieuwd.

De warmteisolerende bescherming mag geen brandbaar materiaal bevatten.

Tanks moeten van temperatuurindicatoren zijn voorzien.

Tanks moeten voorzien zijn van veiligheidskleppen en drukontlastingsinrichtingen voor noodgevallen. Ook kan gebruik worden gemaakt van vacuümkleppen.

De drukontlastingsinrichtingen voor noodgevallen moeten in werking treden bij drukken die vastgesteld zijn afhankelijk van de eigenschappen van het organische peroxide en de constructiekenmerken van de tank.

Smeltveiligheden mogen niet worden toegelaten in het reservoir zelf.

Tanks moeten zijn voorzien van veerbelaste veiligheidskleppen om een aanzienlijke drukopbouw in het reservoir door de ontledingsproducten en dampen, die bij een temperatuur van 50° C vrijkomen, te voorkomen.

De capaciteit en de openingsdruk van de veiligheidsklep(pen) moeten worden bepaald op grond van de resultaten van de beproevingen, voorgeschreven in de bijzondere bepaling TA2.

De openingsdruk mag echter in geen geval zodanig zijn, dat vloeistof uit de klep(pen) kan ontsnappen wanneer de tank kantelt.

De drukontlastingsinrichtingen voor noodgevallen mogen van het veerbelaste type of van het type met breekplaat zijn en zij moeten zodanig zijn ontworpen dat alle ontledingsproducten en dampen afgeblazen worden, die zich bij aanwezigheid in een brandhaard gedurende een periode van ten minste één uur ontwikkelen onder omstandigheden, die door de volgende formule wordt gedefinieerd:

6.8.4   TE12waarin:
q = warmteopname [W]
A = bevochtigd oppervlak [m2]
F = isolatiefactor [-]
F = 1 voor niet geïsoleerde tanks, of

6.8.4   TE12   2

waarin:
K = warmtegeleidend vermogen van de isolatielaag [W.m-1.K-1]
L = dikte van de isolerende laag [m]
U = K/L = warmtegeleidingscoëfficiënt van de isolatie [W.m-2.K-1]
TPO = temperatuur van het peroxide onder omstandigheden van drukontlasting [K]

De openingsdruk van de drukontlastingsinrichting(en) voor noodgevallen moet hoger zijn dan de hierboven gespecificeerde en moet zijn bepaald op grond van de resultaten van de beproevingen, bedoeld in bijzondere bepaling TA2.

De afmetingen van de drukontlastingsinrichtingen voor noodgevallen moeten zodanig zijn, dat de hoogste druk in de tank nooit de beproevingsdruk van de tank overschrijdt.

Opmerking: Een voorbeeld van een methode voor het bepalen van de grootte van drukontlastingsinrichtingen voor noodgevallen is opgenomen in Bijlage 5 van het Handboek beproevingen en criteria.

Bij tanks met een warmte-isolerende bescherming die bestaat uit een volledige bekleding, moet de capaciteit en de insteldruk van de drukontlastingsinrichting(en) voor noodgevallen worden vastgesteld onder de aanname van een verlies van 1% van het isolerend oppervlak.

Vacuümkleppen en veerbelaste kleppen van tanks moeten zijn voorzien van een bescherming tegen vlaminslag, tenzij de te vervoeren stof en ontledingsproducten daarvan niet brandbaar zijn.

Er moet voldoende rekening worden gehouden met de vermindering van de afblaascapaciteit, veroorzaakt door de bescherming tegen vlaminslag.

 

TE-13

Bijzondere bepaling TE 13

Tanks moeten zijn voorzien van een warmte-isolerende bescherming en van een aan de buitenzijde aangebrachte verwarmingsinrichting.

 

TE-14

Bijzondere bepaling TE 14

Tanks moeten zijn voorzien van een warmte-isolerende bescherming.

De warmte-isolatie die in direct contact staat met het reservoir moet een ontbrandingstemperatuur bezitten die ten minste 50° C hoger is dan de hoogste temperatuur waarvoor de tank werd ontworpen.

 

TE-15

Bijzondere bepaling TE 15

Geschrapt

 

TE-16

Bijzondere bepaling TE 16

Gereserveerd

 

TE-17

Bijzondere bepaling TE 17

Gereserveerd

 

TE-18

Bijzondere bepaling TE 18

Tanks, bestemd voor het vervoer van stoffen die worden geladen bij een temperatuur van meer dan 190° C, moeten zijn uitgerust met deflectoren die onder een rechte hoek zijn geplaatst tot de vulopeningen aan de bovenzijde van de tank ter voorkoming van een plotselinge plaatselijke temperatuurverhoging van de tankwand tijdens het laden.

 

TE-19
Bijzondere bepaling TE 19
Armaturen en appendages aan de bovenzijde van de tank moeten:
  • óf zijn aangebracht in een verzonken bak;
  • óf zijn voorzien van een inwendige veiligheidsklep;
  • óf zijn beschermd door een kap of verticale en/of horizontale profielen of andere gelijkwaardige voorzieningen, van een zodanige afmeting dat in geval van kantelen de armaturen en appendages niet worden beschadigd.

Armaturen en appendages aan de onderzijde van de tank:
De leidingen en de afsluitinrichtingen aan de zijkant en alle losinrichtingen moeten óf ten minste 200 mm liggen binnen het meest uitstekende deel van de tank óf zijn beschermd door een profiel met een weerstandsmoment van ten minste 20 cm3 dwars op de rijrichting; de afstand van deze armaturen en appendages tot de grond moet bij een volle tank ten minste 300 mm bedragen.

Armaturen en appendages aan de achterzijde van de tank:
Alle armaturen en appendages aan de achterzijde moeten zijn beschermd door een stootbalk als voorgeschreven in 9.7.6.

De hoogte van deze inrichtingen tot de grond moet zodanig zijn dat zij voldoende door de stootbalk zijn beschermd

 

 

TE-20

Bijzondere bepaling TE-20

Ongeacht de andere tankcodes die op grond van de hiërarchie van tanks in de gerationaliseerde benadering in 4.3.4.1.2 toegelaten zijn, moeten tanks zijn uitgerust met een veiligheidsklep.

 

TE-21

Bijzondere bepaling TE-21

De sluitingen moeten worden beschermd door vergrendelbare kappen.

 

TE-22

Bijzondere bepaling TE-22

Gereserveerd

 

TE-23

Bijzondere bepaling TE-23

Tanks moeten zijn voorzien van een inrichting die zodanig ontworpen is dat verstopping van de inrichting door de vervoerde stof uitgesloten is en dat lekkage en de ontwikkeling van over- of onderdruk in het reservoir wordt verhinderd.

 

TE-24

Bijzondere bepaling TE-24

Dit voorschrift is van toepassing op
vaste tanks (tankwagens), afneembare tanks en batterijwagens

Indien tanks, bestemd voor het vervoer en behandeling van bitumen, worden voorzien van een sproeistaaf aan het eind van de lospijp, mag de afsluitinrichting, zoals vereist door 6.8.2.2.2, worden vervangen door een afsluiter, geplaatst op de lospijp en voorafgaand aan de sproeistaaf.

 

TE-25

Bijzondere bepaling TE-25

gereserveerd

 

TE-26

Bijzondere bepaling TE 26

Alle vul- en losaansluitingen, inclusief die in de dampfase, van tanks bedoeld voor het vervoer van brandbare gekoelde vloeibaar gemaakte gassen, moeten worden uitgerust met een automatische afsluitklep die direct sluit (zie 6.8.3.2.3) Deze bevindt zich zo dicht mogelijk bij de tank.

Bijzondere bepalingen TYPEGOEDKEURING (TA)

 

TA-01

Bijzondere bepaling TA 01

Tanks mogen niet worden goedgekeurd voor het vervoer van organische stoffen.

 

TA-02

Bijzondere bepaling TA 02

Deze stof mag in vaste of afneembare tanks of tankcontainers worden vervoerd onder de voorwaarden, die zijn vastgelegd door de bevoegde autoriteit van het land van herkomst, indien deze autoriteit op grond van de hieronder vermelde beproevingen van oordeel is dat een dergelijk vervoer op veilige wijze kan worden uitgevoerd.

Indien het land van herkomst geen Partij bij het ADR is, moeten deze voorwaarden worden erkend door de bevoegde autoriteit van de eerste Partij bij het ADR, die bij de zending betrokken is.

Voor de typegoedkeuring moeten beproevingen worden uitgevoerd teneinde:

  • compatibiliteit aan te tonen van alle materialen die gewoonlijk tijdens vervoer met de stof in contact komen;
  • gegevens te verschaffen om de constructie van de drukontlastingsinrichtingen voor noodgevallen en veiligheidskleppen mogelijk te maken, rekening houdend met de constructiekenmerken van de tank; en
  • alle speciale eisen vast te stellen, noodzakelijk voor het veilig vervoer van de stof.

De beproevingsresultaten moeten worden opgenomen in het rapport voor de typegoedkeuring.

 

TA-03

Bijzondere bepaling TA 03

Deze stof mag alleen worden vervoerd in tanks met de tankcode LGAV of SGAV; de hiërarchie van 4.3.4.1.2 is niet van toepassing.

 

TA-04

Bijzondere bepaling TA 04

De procedures voor de conformiteitsbeoordeling van sectie 1.8.7 moeten worden toegepast door de bevoegde autoriteit, haar afgevaardigde of de onderzoeksinstantie overeenkomstig 1.8.6.2, 1.8.6.4, 1.8.6.5 en 1.8.6.8 en geaccrediteerd volgens EN ISO/IEC 17020:2012 (uitgezonderd bepaling 8.1.3) type A.

 

TA-05

Bijzondere bepaling TA 05

Deze stof mag alleen worden vervoerd in tanks met de tankcode S2.65AN(+); de hiërarchie in 4.3.4.1.2 is niet van toepassing.

Bijzondere bepalingen BEPROEVINGEN (TT)

 

TT-01

Bijzondere bepaling TT 01

Tanks van zuiver aluminium moeten bij de eerste en bij de periodieke hydraulische proefpersingen worden onderworpen aan een druk van slechts 250 kPa (2,5 bar) (overdruk).

 

TT-02

Bijzondere bepaling TT 02

De toestand van de bekleding van de reservoirs moet jaarlijks worden gecontroleerd door een deskundige, erkend door de bevoegde autoriteit, die een inwendig onderzoek van het reservoir moet uitvoeren (zie bijzondere bepaling TU43 in 4.3.5).

 

TT-03

Bijzondere bepaling TT 03

In afwijking van het bepaalde in 6.8.2.4.2 moeten de periodieke onderzoeken uiterlijk elke acht jaar worden uitgevoerd en een controle van de wanddikte met behulp van geschikte instrumenten omvatten.

Bij deze tanks moeten de dichtheidsproef en de in 6.8.2.4.3 voorgeschreven controles uiterlijk elke vier jaar worden uitgevoerd.

 

TT-04

Bijzondere bepaling TT 04

Gereserveerd

 

TT-05

Bijzondere bepaling TT 05

De hydraulische proefpersing moet tenminste

om de 3 jaar worden herhaald.

om de 2½ jaar worden herhaald.

 

TT-06

Bijzondere bepaling TT 06

De periodieke keuring moet ten minste elke drie jaar plaatsvinden.

 

TT-07

Bijzondere bepaling TT 07

In afwijking van de voorschriften van 6.8.2.4.2 mag het periodieke inwendige onderzoek worden vervangen door een programma, goedgekeurd door de bevoegde autoriteit.

 

TT-08

Bijzondere bepaling TT 08

Tanks, waarop de juiste vervoersnaam voorgeschreven voor de positie UN 1005 AMMONIAK, WATERVRIJ is aangegeven overeenkomstig 6.8.3.5.1 t/m 6.8.3.5.3 en vervaardigd van fijnkorrelig staal met een vloeigrens van meer dan 400 N/mm2 overeenkomstig de materiaalnorm, moeten bij elke periodieke inspectie volgens 6.8.2.4.2 worden onderworpen aan magneetpoederonderzoek om oppervlaktescheurtjes te ontdekken.

In het benedendeel van elk reservoir moeten de rond- en lengtenaden over ten minste 20 % van hun lengte, en de lasnaden van alle pijpen alsmede alle reparatie- en slijpplekken worden geïnspecteerd.

Indien het kenmerk van de stof op de tank of de tankplaat is verwijderd, moet een magneetpoederonderzoek worden uitgevoerd en moeten deze handelingen worden vastgelegd in het onderzoekscertificaat behorend bij het tankdossier.

Dergelijke Magneetpoeder beproevingen moeten worden uitgevoerd in overeenstemming met EN 12972:2018 + A1:2024.

 

 

TT-09

Bijzondere bepaling TT 09

Voor onderzoeken en beproevingen (met inbegrip van toezicht op de fabricage) moeten de procedures van sectie 1.8.7 worden toegepast door de bevoegde autoriteit, haar afgevaardigde of de onderzoeksinstantie overeenkomstig 1.8.6.2, 1.8.6.4, 1.8.6.5 en 1.8.6.8 en geaccrediteerd volgens EN ISO/IEC 17020: 2012 (uitgezonderd bepaling 8.1.3) type A.

 

TT-10

Bijzondere bepaling TT 10

De periodieke onderzoeken overeenkomstig 6.8.2.4.2 moeten plaatsvinden:

ten minste elke drie jaar

ten minste elke tweeënhalf jaar 

 

TT-11

Bijzondere bepaling TT 11

Voor vaste tanks (tankwagens) en afneembare tanks die uitsluitend worden gebruikt voor het vervoer van LPG en waarvan de reservoirs en bedrijfsuitrusting zijn gemaakt van koolstofstaal, mag de hydraulische drukproef in het kader van het periodiek onderzoek op verzoek van de aanvrager worden vervangen door de hieronder vermelde technieken voor niet-destructief onderzoek (NDO).

Deze technieken kunnen afzonderlijk of gecombineerd worden gebruikt, naar gelang passend wordt geacht door de bevoegde autoriteit, haar gevolmachtigde of de onderzoeksinstantie (zie bijzondere bepaling TT9):

EN ISO 17640:2018 – Niet-destructief onderzoek van lassen – Ultrasoon onderzoek – Technieken, onderzoeksniveaus en beoordeling,

EN ISO 17638:2016 – Niet-destructief onderzoek van lassen – Magneetpoeder beproeving, met aanvaardbaarheid van indicaties niveau 2X van EN ISO 23278:2015 – Niet-destructief onderzoek van lassen – Magneetpoeder beproeving, – Aanvaardbaarheidsniveaus

EN ISO 17643:2015 Niet-destructief onderzoek van lassen – Wervelstroomonderzoek van lassen door complex-vlak-analyse,

EN 16809:2019 – Niet-destructief onderzoek – Ultrasone diktemeting.

Niet-destructieve controles moeten worden uitgevoerd door personeel in overeenstemming met EN 12972:2018 + A1:2024 of EN 14334:2014

In geval van directe warmtebeïnvloeding, bv. door lassen of zagen, van onder druk staande delen van de tank moet naast elk voorgeschreven NDO een hydraulische proef worden uitgevoerd.

NDO moet worden uitgevoerd op de in onderstaande tabel vermelde delen van het reservoir en de uitrusting:

Delen van reservoir en uitrusting NDO
Stomplassen overlangs van reservoir 100% NDO met een van de volgende technieken: ultrasoon, magneetpoeder of wervelstroom
Stomplassen rondom van reservoir
Lassen (inwendig) van aansluitingen, mangat, pijpstukken en openingen direct op reservoir
Zwaar belaste delen van de dubbelplaten van de bevestiging (voorbij de einden van de zadelpunten, en 400 mm voor het einde van de zadelpunten)
Lassen van leidingen en andere uitrusting
Delen van reservoir die van buitenaf niet visueel kunnen worden geïnspecteerd Ultrasone diktemeting, van binnenuit, op basis van een raster van (maximaal) 150 mm

Ongeacht de norm of technische code voor ontwerp en constructie die oorspronkelijk voor de tank is gebruikt, moeten de aanvaardbaarheidsniveaus voor defecten in overeenstemming zijn met de vereisten van de toepasselijke delen van

EN 14025:2023 (Tanks voor het transport van gevaarlijke goederen – Metalen druktanks – Ontwerp en constructie),

EN 12493:2013 + A2;2018 (LPG uitrusting en toebehoren – Gelaste stalen tanks voor LPG – Tankvoertuigen voor het wegvervoer – Ontwerp en fabricage),

EN ISO 23278:2009 (Niet-destructief onderzoek van lassen – Magnetisch onderzoek van lassen – Aanvaardbaarheidsniveaus) of het aanvaardbaarheidsniveau als aangegeven in de toepasselijke NDO-norm.

Indien via NDO-methoden een onaanvaardbaar defect wordt vastgesteld, moet dit defect worden gerepareerd en moet het onderzoek worden herhaald. Het is niet toegestaan de tank aan een hydraulische proef te onderwerpen voordat de noodzakelijke reparaties zijn verricht.

De resultaten van het niet-destructief onderzoek moeten worden geregistreerd en tot het einde van de levensduur van de tank worden bewaard

Bijzondere bepalingen KENMERKING (TM)

Opmerking: Deze aanduidingen moeten zijn gesteld in een officiële taal van het land van goedkeuring en indien deze taal het Engels, het Frans, noch het Duits is, bovendien in het Engels, het Frans of het Duits, tenzij de eventuele overeenkomsten tussen de bij het vervoer betrokken landen anders bepalen.

 

 

TM-01

Bijzondere bepaling TM 01

Tanks moeten behalve van de in 6.8.2.5.2 voorgeschreven aanduidingen ook zijn voorzien van het opschrift: "Niet openen tijdens het vervoer. Voor zelfontbranding vatbaar" (zie ook de Opmerking hierboven).

 

TM-02

Bijzondere bepaling TM 02

Tanks moeten behalve van de in 6.8.2.5.2 voorgeschreven aanduidingen ook zijn voorzien van het opschrift: "Niet openen tijdens het vervoer. Ontwikkelt brandbare gassen in contact met water" (zie ook de Opmerking hierboven).

 

 

TM-03

Bijzondere bepaling TM 03

Op de in 6.8.2.5.1 voorgeschreven plaat van de tanks moeten bovendien de juiste vervoersnaam en de hoogste toelaatbare massa van de lading in kg voor deze stof zijn aangegeven.

 

TM-04

Bijzondere bepaling TM 04

Bij tanks moeten op de in 6.8.2.5.2 voorgeschreven plaat of rechtstreeks op het reservoir zelf, indien deze zodanig zijn versterkt dat daardoor de weerstand van de tank niet wordt aangetast, bovendien de volgende aanduidingen zijn ingeslagen of op soortgelijke wijze zijn aangebracht:
de chemische benaming met de toegelaten concentratie van de betrokken stof.

 

TM-05

Bijzondere bepaling TM 05

Tanks moeten behalve van de aanduidingen, voorgeschreven in 6.8.2.5.1, bovendien zijn voorzien van de datum (maand, jaar) van het laatste onderzoek naar de inwendige toestand van het reservoir.

 

TM-06

Bijzondere bepaling TM 06

Gereserveerd

 

TM-07

Bijzondere bepaling TM 07

Op de in 6.8.2.5.1 voorgeschreven plaat moet het klaverbladsymbool, weergegeven in 5.2.1.7.6, zijn ingeslagen of op soortgelijke wijze zijn aangebracht. Dit klaverblad-symbool mag ook rechtstreeks op de wanden van het reservoir zelf zijn aangebracht, indien deze zodanig zijn versterkt dat daardoor de weerstand van het reservoir niet wordt aangetast.

6.8.5

Voorschriften betreffende de materialen en constructie van vaste gelaste tanks, afneembare gelaste tanks en gelaste reservoirs van tankcontainers waarvoor een beproevingsdruk van ten minste 1 MPa (10 bar) is voorgeschreven en van vaste gelaste tanks, afneembare gelaste tanks en gelaste reservoirs van tankcontainers bestemd voor het vervoer van sterk gekoelde, vloeibaar gemaakte gassen van klasse 2

 

6.8.5.1

Materialen en reservoirs

6.8.5.1.1

  1. Reservoirs, bestemd voor het vervoer van:
    • samengeperste, vloeibaar gemaakte gassen of opgeloste gassen van klasse 2;
    • stoffen van de UN-nummers 1380, 2845, 2870 (1,2), 3194 en 3391 t/m 3394 van klasse 4.2; en
    • UN 1052 fluorwaterstof, watervrij en UN 1790 fluorwaterstofzuur met meer dan 85% fluorwaterstof van klasse 8 moeten zijn vervaardigd van staal.
  2. Reservoirs, vervaardigd van fijnkorrelige staalsoorten, bestemd voor het vervoer van:
    • bijtende gassen van klasse 2 en UN 2073 ammoniak, oplossing; en
    • UN 1052 fluorwaterstof, watervrij en UN 1790 fluorwaterstofzuur met meer dan 85% fluorwaterstof van klasse 8 moeten een warmtebehandeling ondergaan teneinde langs thermische weg spanningen te verminderen.
  3. Reservoirs, bestemd voor het vervoer van sterk gekoelde, vloeibaar gemaakte gassen van klasse 2, moeten zijn vervaardigd van staal, aluminium, aluminiumlegeringen, koper of koperlegeringen (bijv. messing). Reservoirs van koper of koperlegeringen zijn echter slechts toegestaan voor gassen, die geen acetyleen bevatten; voor ethyleen is echter een acetyleengehalte van ten hoogste 0,005% toelaatbaar.
  4. Er mogen slechts materialen worden gebruikt, die geschikt zijn voor de laagste en hoogste bedrijfstemperatuur van de reservoirs en van hun uitrustingsdelen. 

 

6.8.5.1.2

Voor de fabricage van reservoirs zijn de volgende materialen toegelaten:

  1. staalsoorten, die bij de laagste bedrijfstemperatuur niet bros kunnen breken (zie 6.8.5.2.1):
    • zachte staalsoorten (behalve voor sterk gekoelde, vloeibaar gemaakte gassen van klasse 2);
    • fijnkorrelige staalsoorten, tot een temperatuur van -60 °C;
    • met nikkel gelegeerde staalsoorten (met een nikkelgehalte van 0,5% t/m 9%), tot een temperatuur van -196 °C al naar gelang het nikkelgehalte;
    • austenitische chroomnikkelstaalsoorten, tot een temperatuur van -270 °C;
    • austenitisch-ferritische roestvaste staalsoorten, tot een temperatuur van -60 °C;
  2. aluminium met een gehalte van ten minste 99,5% Al of aluminiumlegeringen (zie 6.8.5.2.2);
  3. zuurstofvrij koper met een gehalte van ten minste 99,9% Cu of koperlegeringen met een kopergehalte van meer dan 56% (zie 6.8.5.2.3).

 

6.8.5.1.3

  1. Reservoirs van staal, aluminium of aluminiumlegeringen moeten naadloos of gelast zijn.
  2. Reservoirs van austenitisch staal, koper of koperlegeringen mogen hardgesoldeerd zijn.

 

6.8.5.1.4

De uitrustingsdelen mogen aan de reservoirs zijn bevestigd door middel van geschroefde verbindingen of als volgt:

  1. bij reservoirs van staal, aluminium of aluminiumlegeringen: door lassen;
  2. bij reservoirs van austenitisch staal, koper of koperlegeringen: door lassen of hardsolderen.

 

6.8.5.1.5

De constructie van de reservoirs en hun bevestiging op het onderstel van het voertuig of in het raamwerk van de tankcontainer moet zodanig zijn, dat een afkoeling van de dragende delen tot een temperatuur waarbij ze bros worden op zekere wijze wordt vermeden.

De onderdelen voor de bevestiging van de reservoirs moeten zelf zodanig zijn ontworpen, dat deze, zelfs bij de laagste bedrijfstemperatuur van het reservoir, nog de noodzakelijke mechanische eigenschappen bezitten.

 

6.8.5.2

Beproevingsvoorschriften

6.8.5.2.1

Stalen reservoirs

De materialen gebruikt voor de fabricage van de reservoirs en de lasverbindingen moeten, bij hun minimale bedrijfstemperatuur, echter ten minste bij -20 °C, voldoen aan de volgende vereisten voor de kerfslagwaarden:

  • De proeven moeten worden uitgevoerd met proefstaven voorzien van een V-kerf.
  • De minimumkerfslagwaarde (zie 6.8.5.3.1 t/m 6.8.5.3.3) voor proefstaven, waarvan de lengteas loodrecht op de walsrichting staat en die voorzien zijn van een V-kerf (volgens ISO R 148) loodrecht op het plaatoppervlak, moet 34 J/cm2 bedragen voor zacht staal (dat vanwege bestaande ISO-normen mag worden beproefd met proefstaven, waarvan de lengteas in de walsrichting ligt), fijnkorrelig staal, gelegeerd ferritisch staal Ni < 5%, gelegeerd ferritisch staal 5% ≤ Ni ≤ 9%, austenitisch chroomnikkelstaal, of austenitisch-ferritisch roestvast staal.
  • Bij austenitische staalsoorten moet alleen de lasverbinding worden onderworpen aan een kerfslagproef.
  • Bij bedrijfstemperaturen lager dan -196 °C wordt de kerfslagproef niet uitgevoerd bij de minimale bedrijfstemperatuur, maar bij -196 °C.

 

6.8.5.2.2

Reservoirs van aluminium of van aluminiumlegeringen.
De lasnaden van de reservoirs moeten voldoen aan de voorwaarden vastgesteld door de bevoegde autoriteit.

 

6.8.5.2.3

Reservoirs van koper of koperlegeringen
Het is niet noodzakelijk proeven uit te voeren om vast te stellen of de kerfslagwaarde voldoende is.

 

6.8.5.3

Kerfslagproeven

6.8.5.3.1

Bij platen met een dikte van minder dan 10 mm, doch niet minder dan 5 mm, worden proefstaven met een dwarse doorsnede van 10 mm x e mm gebruikt, waarbij "e" de dikte van de plaat voorstelt. Indien noodzakelijk is een bewerking tot 7,5 mm of 5 mm toegestaan. De minimum waarde van 34 J/cm2 is in alle gevallen vereist.

Opmerking: Bij platen met een dikte van minder dan 5 mm en hun lasverbindingen wordt geen kerfslagproef uitgevoerd.

 

6.8.5.3.2

  1. Voor de beproeving van de platen wordt van drie proefstaven de kerfslagwaarde bepaald. De monstername wordt dwars op de walsrichting uitgevoerd; echter bij zacht staal kan de monstername in de walsrichting worden uitgevoerd.
  2. Voor de beproeving van de lasverbindingen moeten de proefstaven als volgt worden genomen:

    indien e ≤ 10 mm:
    drie proefstaven met de kerf in het midden van de las;
    drie proefstaven met de kerf in het midden van de warmte-beïnvloede zone van de las; (de V-kerf moet de grens van de smeltzone in het midden van het monster kruisen)

    6.8.5.3.2
    indien 10 mm < e ≤ 20 mm:
    drie proefstaven in het midden van de las;
    drie proefstaven, genomen in de warmte-beïnvloede zone van de las; (de V-kerf moet de grens van de smeltzone in het midden van het monster kruisen)

    6.8.5.3.2 2
    indien e > 20 mm:
    twee stel van drie proefstaven (1 stel aan het bovenoppervlak, 1 stel aan het onderoppervlak) op elk van de hieronder aangegeven plaatsen (de V-kerf moet de grens van de smeltzone in het midden van het monster kruisen, voor die welke worden genomen in de warmte-beïnvloede zone van de las)

    6.8.5.3.2 3



6.8.5.3.3

  1. Voor de platen moet het gemiddelde van de drie proeven voldoen aan de minimum waarde van 34 J/cm2 , aangegeven in 6.8.5.2.1; ten hoogste één van de individuele waarden mag lager zijn dan de minimum waarde, doch niet lager dan 24 J/cm2.
  2. Voor de lassen mag de gemiddelde waarde, verkregen met de drie proefstaven die in het midden van de las zijn genomen, niet lager zijn dan de minimum waarde van 34 J/cm2; ten hoogste één van de individuele waarden mag lager zijn dan de minimum waarde, doch niet lager dan 24 J/cm2.
  3. Voor de warmte-beïnvloede zone van de las (de V-kerf moet de grens van de smeltzone in het midden van het monster kruisen) mag de waarde, verkregen uit ten hoogste één van de drie proefstaven, lager zijn dan de minimum waarde van 34 J/cm2, doch niet lager dan 24 J/ cm2.

 

6.8.5.3.4

Indien niet wordt voldaan aan de in 6.8.5.3.3 beschreven voorwaarden, mag slechts één herbeproeving plaatsvinden indien:

  1. de gemiddelde waarde, verkregen uit de eerste drie proeven, lager is dan de minimum waarde van 34 J/cm2, ofwel
  2. meer dan één van de individuele waarden lager zijn dan de minimumwaarde van 34 J/cm2, maar niet lager dan 24 J/cm2.

 

6.8.5.3.5

Bij de herhaling van de kerfslagproef op platen of lassen mag geen van de individuele waarden lager zijn dan 34 J/cm2.

De gemiddelde waarde van alle resultaten van de oorspronkelijke beproeving en van de herbeproeving moet gelijk zijn aan of hoger zijn dan het minimum van 34 J/cm2.

Bij de herhaling van de kerfslagproef op de warmte-beïnvloede zone mag géén der individuele waarden lager zijn dan 34 J/cm2.

 

6.8.5.4

Verwijzing naar normen
Aan de voorschriften van 6.8.5.2 en 6.8.5.3 wordt geacht te zijn voldaan, indien de volgende desbetreffende normen toegepast zijn:

  • EN ISO 21028-1:2016 Cryogene vaten – Vervormingseisen voor materialen bij cryogene temperatuur – Deel 1: Temperaturen beneden -80°C
  • EN ISO 21028-2:2018 Cryogene vaten – Vervormingseisen voor materialen bij cryogene temperatuur – Deel 2: Temperaturen tussen -80 °C en -20 °C.