Skip to main content

DEEL 1 - Algemene voorschriften
Hoofdstuk 1    
1.1   Toepassingsgebied en toepasbaarheid
1.1.1   Structuur
1.1.2 Toepassingsgebied
1.1.3 Vrijstellingen
1.1.3.1 Vrijstellingen die samenhangen met de aard van het vervoersproces
1.1.3.2 Vrijstellingen in samenhang met het vervoer van gassen
1.1.3.3 Vrijstellingen in samenhang met het vervoer van vloeibare brandstoffen
1.1.3.4 Vrijstellingen in samenhang met bijzondere bepalingen of met gevaarlijke goederen, verpakt in gelimiteerde of vrijgestelde hoeveelheden
1.1.3.5 Vrijstellingen in samenhang met ongereinigde lege verpakkingen
1.1.3.6 Vrijstellingen in samenhang met de vervoerde hoeveelheden per transporteenheid
1.1.3.7 Vrijstellingen in samenhang met het vervoer van inrichtingen voor de opslag en productie van elektriciteit
1.1.3.8 Gereserveerd
1.1.3.9 Vrijstellingen in samenhang met gevaarlijke goederen die tijdens vervoer als koel- of conditioneringsmiddel worden gebruikt
1.1.3.10 Vrijstellingen in samenhang met het vervoer van lampen die gevaarlijke goederen bevatten
1.1.4 Toepasbaarheid van andere voorschriften
1.1.4.1 Gereserveerd
1.1.4.2 Vervoer in een transportketen die vervoer over zee of door de lucht omvat
1.1.4.3 Gebruik van transporttanks van het IMO-type, toegelaten voor het zeevervoer
1.1.4.4 Gereserveerd
1.1.4.5 Vervoer dat niet over de weg plaatsvindt
1.1.4.7 Hervulbare drukhouders toegelaten door de Verenigde Staten
1.1.5 Toepassing van normen
     
Hoofdstuk 2    
1.2 Definities, meeteenheden en afkortingen
1.2.1 Definities
1.2.2 Meeteenheden
     
Hoofdstuk 3    
1.3 Opleiding van personen die betrokken zijn bij het vervoer van gevaarlijke goederen Toepassingsgebied
1.3.1 Aard van de opleiding
1.3.2.1 Algemene bewustmaking
1.3.2.2 Functiespecifieke opleiding
1.3.2.3 Veiligheidsopleiding
1.3.3 Documentatie
     
Hoofdstuk 4    
1.4 Veiligheidsplichten van de betrokkenen
1.4.1 Algemene zorg voor de veiligheid
1.4.2 Plichten van de belangrijkste betrokkenen
1.4.2.1 Afzender
1.4.2.2 Vervoerder
1.4.2.3 Geadresseerde
1.4.3 Plichten van andere betrokkenen
1.4.3.1 Belader
1.4.3.2 Verpakker
1.4.3.3 Vuller
1.4.3.4 Exploitant van een tankcontainer of transporttank
1.4.3.5 Gereserveerd
1.4.3.6 Gereserveerd
1.4.3.7 Losser
     
Hoofdstuk 5    
1.5 Afwijkingen
1.5.1 Tijdelijke afwijkingen
1.5.2 Gereserveerd
     
Hoofdstuk 6    
1.6   Overgangsvoorschriften
1.6.1   Algemeen
1.6.2   Drukhouders en houders voor klasse 2
1.6.3 Vaste tanks (tankwagens), afneembare tanks en batterijwagens
1.6.4 Tankcontainers, transporttanks en MEGC’s
1.6.5 Voertuigen
1.6.6 Klasse 7
     
Hoofdstuk 7    
1.7 Algemene bepalingen voor radioactieve stoffen
1.7.1   Toepassingsgebied
1.7.1.5   Bijzondere voorschriften voor het vervoer van vrijgestelde colli
1.7.2   Stralingsbeschermingsprogramma
1.7.3   Beheersysteem
1.7.4   Speciale regeling
1.7.5   Radioactieve stoffen die bijkomende gevaarseigenschappen bezitten
1.7.6   Niet-naleving
     
Hoofdstuk 8    
1.8 Controlemaatregelen en andere maatregelen voor de ondersteuning van de naleving van de veiligheidsvoorschriften
1.8.1   Controles van gevaarlijke goederen van overheidswege
1.8.2   Ambtelijke hulp
1.8.3   Veiligheidsadviseur
1.8.3.12   Examens
1.8.3.16   Geldigheidsduur en verlenging van het certificaat
1.8.3.18   Model van het certificaat
1.8.3.19   Uitbreiding van het certificaat
1.8.4   Lijst van de bevoegde autoriteiten en de door hen aangewezen instanties
1.8.5   Meldingen van gebeurtenissen met gevaarlijke goederen
1.8.5.4   Model voor een rapport over gebeurtenissen tijdens het vervoer van gevaarlijke goederen
1.8.6   Administratieve controles voor de toepassing van conformiteitsbeoordelingen, periodieke onderzoeken, tussentijdse onderzoeken en buitengewone controles omschreven in 1.8.7
1.8.6.1   Erkenning van onderzoeksinstanties
1.8.6.2   Verplichtingen voor de werkwijze van de bevoegde autoriteit, haar gemachtigde of onderzoeksinstantie
1.8.6.3   Verplichting tot het verstrekken van informatie
1.8.6.4   Delegatie van onderzoekstaken
1.8.6.5   Verplichting tot het verstrekken van informatie door de onderzoeksinstanties
1.8.7   Procedures voor conformiteitsbeoordeling en periodiek onderzoek
1.8.7.1   Algemene bepalingen
1.8.7.2   Typegoedkeuring
1.8.7.3   Toezicht op de fabricage
1.8.7.4   Eerste onderzoek en beproevingen
1.8.7.5   Periodiek onderzoek, tussentijds onderzoek en buitengewone controles
1.8.7.6   Toezicht op de interne inspectiedienst van de aanvrager
1.8.7.7   Documenten
1.8.7.8   Producten vervaardigd, goedgekeurd, onderzocht en beproefd volgens normen
1.8.8   Procedures voor de conformiteitsbeoordeling van gaspatronen
1.8.8.1   Algemene bepalingen
1.8.8.2   Onderzoek van het ontwerptype
1.8.8.3   Toezicht op de fabricage
1.8.8.4   Dichtheidsproef
1.8.8.5   (Gereserveerd)
1.8.8.6   Toezicht op de interne inspectiedienst
1.8.8.7   Documenten
     
Hoofdstuk 9    
1.9 Beperkingen in het vervoer door de bevoegde autoriteiten
1.9.5   Beperkingen in tunnels
1.9.5.1   Algemene bepalingen
1.9.5.2   Vaststelling van de categorieën
1.9.5.3   Bepalingen voor verkeersborden en kennisgeving van beperkingen
     
Hoofdstuk 10    
1.10   Voorschriften voor de beveiliging
1.10.1   Algemene voorschriften
1.10.2   Opleiding met het oog op de beveiliging
1.10.3   Voorschriften voor gevaarlijke goederen met een hoog gevarenpotentieel
1.10.3.1   Definitie van gevaarlijke goederen met een hoog gevarenpotentieel
1.10.3.2   Beveiligingsplannen
DEEL 2 - Classificatie
Hoofdstuk 1    
2.1 Algemene voorschriften
2.1.1 Inleiding
2.1.2   Principes van de classificatie
2.1.3   Classificatie van niet met name genoemde stoffen met inbegrip van oplossingen en mengsels (zoals preparaten, formuleringen en afvalstoffen)
2.1.4   Classificatie van monsters
2.1.5   Classificatie van voorwerpen als voorwerpen die gevaarlijke stoffen bevatten, n.e.g.
2.1.6   Classificatie van afgedankte verpakkingen, leeg, ongereinigd
     
Hoofdstuk 2    
2.2   Bijzondere voorschriften voor de afzonderlijke klassen
2.2.1   Klasse 1 Ontplofbare stoffen en voorwerpen
2.2.1.1   Criteria
2.2.1.1.6   Definitie van de compatibiliteitsgroepen van de stoffen en voorwerpen
2.2.1.1.7   Indeling van vuurwerk in de subklassen
2.2.1.1.7.5   Defaulttabel voor de classificatie van vuurwerk
2.2.1.1.8   Uitzondering van klasse 1
2.2.1.2   Niet ten vervoer toegelaten stoffen en voorwerpen
2.2.1.3   Lijst van verzamelaanduidingen
2.2.1.4   Glossarium van de benamingen
     
2.2.2   Klasse 2 Gassen
2.2.2.1   Criteria
2.2.2.1.7   Chemische stoffen onder druk
2.2.2.2   Niet ten vervoer toegelaten gassen
2.2.2.3   Lijst van verzamelaanduidingen
     
2.2.3   Klasse 3 Brandbare vloeistoffen
2.2.3.1   Criteria
2.2.3.2   Niet ten vervoer toegelaten stoffen
2.2.3.3   Lijst van verzamelaanduidingen
     
2.2.41   Klasse 4.1: Brandbare vaste stoffen, polymeriserende stoffen, zelfontledende stoffen en vaste ontplofbare stoffen in niet explosieve toestand
2.2.41.1   Criteria
2.2.41.2   Niet ten vervoer toegelaten stoffen
2.2.41.3   Lijst van verzamelaanduidingen
2.2.41.4   Lijst van reeds ingedeelde zelfontledende stoffen in verpakkingen
     
2.2.42   Klasse 4.2: Voor zelfontbranding vatbare stoffen
2.2.42.1   Criteria
2.2.42.2   Niet ten vervoer toegelaten stoffen
2.2.42.3   Lijst van verzamelaanduidingen
     
2.2.43   Klasse 4.3: Stoffen die in contact met water brandbare gassen ontwikkelen
2.2.43.1   Criteria
2.2.43.2   Niet ten vervoer toegelaten stoffen
2.2.43.3   Lijst van verzamelaanduidingen
     
2.2.51   Klasse 5.1 Oxiderende stoffen
2.2.51.1   Criteria
2.2.51.2   Niet ten vervoer toegelaten stoffen
2.2.51.3   Lijst van verzamelaanduidingen
     
2.2.52   Klasse 5.2: Organische peroxiden
2.2.52.1   Criteria
2.2.52.2   Niet ten vervoer toegelaten stoffen
2.2.52.3   Lijst van verzamelaanduidingen
2.2.52.4   Lijst van reeds ingedeelde organische peroxiden in verpakkingen
     
2.2.61   Klasse 6.1 Giftige stoffen
2.2.61.1   Criteria
2.2.61.2   Niet ten vervoer toegelaten stoffen
2.2.61.3   Lijst van verzamelaanduidingen
     
2.2.62   Klasse 6.2 Infectueuze stoffen (besmettelijke stoffen)
2.2.62.1   Criteria
2.2.62.1.9   Biologische producten
2.2.62.1.10   Genetisch gemodificeerde micro-organismen en organismen
2.2.62.1.11   Ziekenhuis- of medisch afval
2.2.62.1.12   Besmette dieren
2.2.62.2   Niet ten vervoer toegelaten stoffen
2.2.62.3   Lijst van verzamelaanduidingen
     
2.2.7   Klasse 7 Radioactieve stoffen
2.2.7.1   Definities
2.2.7.1.2   Besmetting
2.2.7.1.3   Definities van specifieke termen
2.2.7.2   Classificatie
2.2.7.2.1   Algemene bepalingen
2.2.7.2.2   Grenswaarden van de activiteit
2.2.7.2.3   Bepaling van andere stofeigenschappen
2.2.7.2.3.1   Stoffen met geringe specifieke activiteit (LSA)
2.2.7.2.3.3   Radioactieve stoffen in speciale toestand
2.2.7.2.3.4   Gering verspreidbare radioactieve stoffen
2.2.7.2.3.5   Splijtbare stoffen
2.2.7.2.4   Classificatie van colli of onverpakte stoffen
2.2.7.2.4.1   Classificatie als vrijgesteld collo
2.2.7.2.5   Speciale regelingen
     
2.2.8   Klasse 8 Bijtende stoffen
2.2.8.1   Definitie, algemene voorschriften en criteria
2.2.8.2   Niet ten vervoer toegelaten stoffen
2.2.8.3   Lijst van verzamelaanduidingen
     
2.2.9   Klasse 9 Diverse gevaarlijke stoffen en voorwerpen
2.2.9.1   Criteria
2.2.9.2   Niet ten vervoer toegelaten stoffen en voorwerpen
2.2.9.3   Lijst van posities
     
Hoofdstuk 3    
2.3 Testmethoden
2.3.0   Algemeen
2.3.1   Beproeving van het uitzweten voor springstof, type A
2.3.2   Beproevingen betreffende genitreerde cellulosemengsels van klasse 4.1
2.3.2.9   Beproeving van de chemische stabiliteit bij verhoogde temperatuur
2.3.2.10   Ontbrandingstemperatuur (zie 2.3.2.1 en 2.3.2.2)
2.3.3   Beproevingen betreffende brandbare vloeistoffen van de klassen 3, 6.1 en 8.
2.3.3.1   Bepaling van het vlampunt
2.3.3.2   Bepaling van het beginkookpunt
2.3.3.3   Beproeving voor de bepaling van het peroxidegehalte
2.3.4   Beproeving voor de bepaling van het vloeigedrag
2.3.4.1   Meetapparaat
2.3.4.2   Beproevingsmethode
2.3.4.3   Beoordeling van de beproevingsresultaten
2.3.5   Indeling van metaalorganische stoffen in de klassen 4.2.en 4.3
     
DEEL 4 - Voorschriften voor verpakkingen en tanks
Hoofdstuk 1    
4.1 Gebruik van verpakkingen, met inbegrip van IBC’s en grote verpakkingen
4.1.1 Algemene voorschriften voor het verpakken van gevaarlijke goederen in verpakkingen, met inbegrip van IBC's en grote verpakkingen
4.1.1.18 Ontplofbare stoffen, zelfontledende stoffen en organische peroxiden
4.1.1.19 Gebruik van bergingsverpakkingen en grote bergingsverpakkingen
4.1.1.20 Gebruik van bergingsdrukhouders
4.1.1.21 Verificatie van de chemische compatibiliteit van kunststof verpakkingen, met inbegrip van IBC's, door assimilatie van vulstoffen aan standaardvloeistoffen
4.1.2 Aanvullende algemene voorschriften voor het gebruik van IBC's
4.1.3 Algemene voorschriften met betrekking tot verpakkingsinstructies 
4.1.3.6 Drukhouders voor vloeistoffen en vaste stoffen
4.1.3.8 Onverpakte voorwerpen met uitzondering van voorwerpen van klasse 1
4.1.4 Lijst met verpakkingsinstructies
4.1.4.1 Verpakkingsinstructies betreffende het gebruik van verpakkingen (uitgezonderd IBC's en grote verpakkingen)
4.1.4.2 Verpakkingsinstructies betreffende het gebruik van IBC's
4.1.4.3 Verpakkingsinstructies betreffende het gebruik van grote verpakkingen 
4.1.5 Bijzondere verpakkingsvoorschriften voor goederen van klasse 1
4.1.6 Bijzondere verpakkingsvoorschriften voor stoffen van klasse 2 en stoffen van andere klassen, waaraan verpakkingsinstructie P200 is toegekend
4.1.7 Bijzondere verpakkingsvoorschriften voor organische peroxiden van klasse 5.2 en zelfontledende stoffen van klasse 4.1
4.1.7.1 Gebruik van verpakkingen (met uitzondering van IBC’s)
4.1.7.2 Gebruik van IBC's
4.1.8 Bijzondere verpakkingsvoorschriften voor infectueuze stoffen (klasse 6.2)
4.1.9 Bijzondere verpakkingsvoorschriften voor radioactieve stoffen
4.1.9.1 Algemeen
4.1.9.2 Voorschriften en controlemaatregelen voor het vervoer van LSA-stoffen en SCO
4.1.9.3 Colli die splijtbare stoffen bevatten
4.1.10 Bijzondere voorschriften voor gezamenlijke verpakking 
     
Hoofdstuk 2    
4.2 Gebruik van transporttanks en un-gascontainers met verscheidene elementen (MEGC’s)
4.2.1 Algemene voorschriften voor het gebruik van transporttanks voor het vervoer van stoffen van klassen 1 en 3 t/m 9
4.2.1.9 Vullingsgraad
4.2.1.10 Aanvullende voorschriften die van toepassing zijn op het vervoer van klasse 3 stoffen in transporttanks
4.2.1.11 Aanvullende voorschriften die van toepassing zijn op het vervoer van stoffen van klassen 4.1, 4.2 of 4.3 (met uitzondering van zelfontledende stoffen van klasse 4.1) in transporttanks
4.2.1.12 Aanvullende voorschriften die van toepassing zijn op het vervoer van stoffen van klasse 5.1 in transporttanks
4.2.1.13 Aanvullende voorschriften die van toepassing zijn op het vervoer van stoffen van klasse 5.2 en zelfontledende stoffen van klasse 4.1 in transporttanks
4.2.1.14 Aanvullende voorschriften die van toepassing zijn op het vervoer van stoffen van klasse 6.1 in transporttanks
4.2.1.15 Aanvullende voorschriften die van toepassing zijn op het vervoer van stoffen van klasse 6.2 in transporttanks
4.2.1.16 Aanvullende voorschriften die van toepassing zijn op het vervoer van stoffen van klasse 7 in transporttanks
4.2.1.17 Aanvullende voorschriften die van toepassing zijn op het vervoer van stoffen van klasse 8 in transporttanks
4.2.1.18 Aanvullende voorschriften die van toepassing zijn op het vervoer van stoffen van klasse 9 in transporttanks
4.2.1.19 Aanvullende voorschriften die van toepassing zijn op het vervoer van vaste stoffen die worden vervoerd bij temperaturen boven hun smeltpunt
4.2.2 Algemene voorschriften voor het gebruik van transporttanks voor het vervoer van niet sterk gekoelde, vloeibaar gemaakte gassen en chemische stoffen onder druk
4.2.2.7 Het vullen
4.2.3 Algemene voorschriften voor het gebruik van transporttanks voor het vervoer van sterk gekoelde, vloeibaar gemaakte gassen
4.2.3.6 Het vullen
4.2.3.7 Werkelijke verblijftijd
4.2.4 Algemene voorschriften voor het gebruik van UN-gascontainers met verscheidene elementen (MEGC's)
4.2.4.5 Het vullen
4.2.5 Instructies en bijzondere bepalingen voor transporttanks
4.2.5.1 Algemeen
4.2.5.2 Transporttank-instructies
4.2.5.3 Bijzondere bepalingen voor transporttanks
     
Hoofdstuk 3    
4.3 Gebruik van vaste tanks (tankwagens), afneembare tanks, tankcontainers en wissellaadtanks met metalen reservoirs en batterijwagens en gascontainers met verscheidene elementen (MEGC’s)
4.3.1 Toepassingsgebied
4.3.2 Voorschriften van toepassing op alle klassen
4.3.2.1 Gebruik
4.3.2.2 Vullingsgraad
4.3.2.3 Bedrijf
4.3.2.4 Lege, ongereinigde tanks, batterijwagens en MEGC's
4.3.3 Bijzondere bepalingen van toepassing op klasse 2
4.3.3.1 De codering en hiërarchie van tanks
4.3.3.2 Voorwaarden voor het vullen en beproevingsdrukken
4.3.3.3 Bedrijf
4.3.4 Bijzondere bepalingen, van toepassing op de klassen 1 en 3 t/m 9
4.3.4.1 Codering, gerationaliseerde benadering en tankhiërarchie
4.3.4.2 Algemene voorschriften
4.3.5 Bijzondere bepalingen
     
Hoofdstuk 4    
4.4 Gebruik van vaste tanks (tankwagens), afneembare tanks, tankcontainers en wissellaadtanks van vezelgewapende kunststof
4.4.1 Algemeen
4.4.2 Bedrijf
     
Hoofdstuk 5    
4.5 Gebruik van druk/vacuümtanks (voor afvalstoffen)
4.5.1 Gebruik
4.5.2 Bedrijf
     
Hoofdstuk 6    
4.6 (Gereserveerd)
     
Hoofdstuk 7    
4.7 Gebruik van mobiele eenheden voor de fabricage van ontplofbare stoffen of voorwerpen (MEMU's)
4.7.1 Gebruik
4.7.2 Bedrijf
     
DEEL 5 - Procedures voor de verzending
Hoofdstuk 1    
5.1 Algemene voorschriften
5.1.1 Toepassing en algemene voorschriften
5.1.2 Het gebruik van oververpakkingen
5.1.3 Lege, ongereinigde verpakkingen (met inbegrip van IBC's en grote verpakkingen), tanks, MEMU’s, voertuigen en containers voor vervoer als los gestort goed
5.1.4 Gezamenlijke verpakking
5.1.5 Algemene voorschriften voor klasse 7
5.1.5.1 Goedkeuring van verzendingen en kennisgeving
5.1.5.1.1 Algemeen
5.1.5.1.2 Goedkeuring voor de verzending
5.1.5.1.3 Goedkeuring van een verzending op grond van een speciale regeling
5.1.5.1.4 Kennisgevingen
5.1.5.2 Certificaten, uitgegeven door de bevoegde autoriteit
5.1.5.3 Bepaling van de transportindex (TI) en de criticaliteits-veiligheidsindex (CSI)
5.1.5.4 Specifieke bepalingen voor vrijgestelde colli met radioactieve stoffen van klasse 7
5.1.5.5 Samenvatting van voorschriften inzake goedkeuring en voorafgaande kennisgeving
     
Hoofdstuk 2    
5.2 Kenmerking en etikettering
5.2.1 Kenmerking van colli
5.2.1.5 Aanvullende voorschriften voor goederen van klasse 1
5.2.1.6 Aanvullende voorschriften voor goederen van klasse 2
5.2.1.7 Bijzondere voorschriften voor het kenmerken van radioactieve stoffen
5.2.1.8 Bijzondere bepalingen voor de kenmerking van milieugevaarlijke stoffen
5.2.1.9 Kenmerking van lithiumbatterijen
5.2.1.10 Richtinggevende pijlen
5.2.2 De etikettering van colli
5.2.2.1 Etiketteringsvoorschriften
5.2.2.1.10 Bijzondere bepalingen voor de etikettering van colli met infectueuze stoffen.
5.2.2.1.11 Bijzondere bepalingen voor de etikettering van radioactieve stoffen
5.2.2.2 Voorschriften voor etiketten
5.2.2.2.2 Modellen van etiketten
     
Hoofdstuk 3    
5.3 Etikettering en kenmerking van containers, bulkcontainers, MEGC's, MEMU’s, tankcontainers, transporttanks en voertuigen
5.3.1 Het aanbrengen van grote etiketten
5.3.1.1 Algemene voorschriften
5.3.1.2 Het aanbrengen van grote etiketten op containers, bulkcontainers, MEGC’s, tankcontainers en transporttanks
5.3.1.3 Het aanbrengen van grote etiketten op voertuigen die containers, bulkcontainers, MEGC's, tankcontainers of transporttanks vervoeren
5.3.1.4 Het aanbrengen van grote etiketten op voertuigen voor vervoer als los gestort goed, tankwagens, batterijwagens, MEMU’s en voertuigen met afneembare tanks
5.3.1.5 Het aanbrengen van grote etiketten op voertuigen die uitsluitend colli vervoeren
5.3.1.6 Het aanbrengen van grote etiketten op lege tankwagens, batterijwagens, MEGC’s, MEMU’s, tankcontainers, transporttanks en op lege voertuigen en containers voor vervoer als los gestort goed
5.3.1.7 Specificaties voor grote etiketten
5.3.2 Oranje borden
5.3.2.1 Algemene voorschriften voor oranje borden
5.3.2.2 Specificaties voor de oranje borden
5.3.2.3 Betekenis van gevaarsidentificatienummers
5.3.3 Kenmerk voor stoffen die in verwarmde toestand worden vervoerd
5.3.6 Kenmerking voor milieugevaarlijke stoffen
     
Hoofdstuk 4    
5.4 Documentatie
5.4.0 Algemeen
5.4.1 Vervoersdocument voor gevaarlijke goederen en daarmee samenhangende informatie
5.4.1.1 Algemene informatie, die in het vervoersdocument moet staan
5.4.1.1.3 Bijzondere bepalingen voor afvalstoffen
5.4.1.1.5 Bijzondere bepalingen voor bergingsverpakkingen en bergingsdrukhouders
5.4.1.1.6 Bijzondere bepalingen voor lege, ongereinigde middelen van omsluiting
5.4.1.1.7 Bijzondere bepalingen voor vervoer in een transportketen die vervoer over zee of door de lucht omvat
5.4.1.1.11 Bijzondere bepalingen voor het vervoer van IBC's, tanks, batterijwagens of transporttanks en MEGC’s na het verstrijken van de termijn voor de laatste periodieke beproeving of inspectie
5.4.1.1.13 Bijzondere bepalingen voor het vervoer in tankwagens met meerdere compartimenten of in transporteenheden met meer dan één tank.
5.4.1.1.14 Bijzondere bepalingen voor het vervoer van stoffen die bij verhoogde temperatuur vervoerd worden
5.4.1.1.15 Bijzondere bepalingen voor het vervoer van stoffen die door middel van temperatuurbeheersing gestabiliseerd zijn
5.4.1.1.16 Informatie vereist volgens bijzondere bepaling 640 in hoofdstuk 3.3
5.4.1.1.17 Bijzondere bepalingen voor het vervoer van vaste stoffen in bulkcontainers conform 6.11.4
5.4.1.1.18 Bijzondere bepalingen voor het vervoer van milieugevaarlijke stoffen (aquatisch milieu)
5.4.1.1.19 Bijzondere bepalingen voor het vervoer van afgedankte verpakkingen, leeg, ongereinigd (UN 3509)
5.4.1.1.20 Bijzondere bepalingen voor het vervoer van stoffen die overeenkomstig 2.1.2.8 zijn ingedeeld
5.4.1.1.21 Bijzondere bepalingen voor het vervoer van UN-nrs. 3528, 3529 en 3530
5.4.1.2 Aanvullende of bijzondere informatie, vereist voor bepaalde klassen
5.4.1.2.1 Bijzondere bepalingen voor klasse 1
5.4.1.2.2 Aanvullende bepalingen voor klasse 2
5.4.1.2.3 Aanvullende bepalingen voor zelfontledende stoffen en polymeriserende stoffen van klasse 4.1 en organische peroxiden van klasse 5.2
5.4.1.2.4 Aanvullende bepalingen voor klasse 6.2
5.4.1.2.5 Aanvullende bepalingen voor klasse 7
5.4.1.3 (Gereserveerd)
5.4.1.4 Vereiste opmaak en taal
5.4.1.5 Niet-gevaarlijke goederen
5.4.2 Container-/voertuigbeladingscertificaat
5.4.3 Schriftelijke instructies
5.4.4 Bewaring van informatie over het vervoer van gevaarlijke goederen
5.4.5 Voorbeeld van een formulier voor multimodaal vervoer van gevaarlijke goederen
     
Hoofdstuk 5    
5.5 Bijzondere bepalingen
5.5.1 (Geschrapt)
5.5.2 Bijzondere bepalingen van toepassing op gegaste laadeenheden (UN 3359)
5.5.2.1 Algemeen
5.5.2.2 Opleiding
5.5.2.3 Kenmerking en grote etiketten
5.5.2.4 Documentatie
5.5.3 Bijzondere bepalingen van toepassing op colli en voertuigen en containers met stoffen die een verstikkingsgevaar vertonen wanneer zij voor koelings- of conditioneringsdoeleinden worden gebruikt (zoals droogijs [UN 1845] of stikstof, sterk gekoeld, vloeibaar [UN 1977] of argon, sterk gekoeld, vloeibaar [UN 1951])
5.5.3.1 Toepassingsgebied
5.5.3.2 Algemeen
5.5.3.3 Colli die een koel- of conditioneringsmiddel bevatten
5.5.3.4 Kenmerking van colli die een koel- of conditioneringsmiddel bevatten
5.5.3.5 Voertuigen en containers die onverpakt droogijs bevatten
5.5.3.6 Kenmerking van voertuigen en containers
5.5.3.7 Documentatie
     
DEEL 6 - Voorschriften voor de constructie en beproeving van verpakkingen, IBC’s, grote verpakkingen en tanks
Hoofdstuk 1    
6.1 Voorschriften voor de constructie en beproeving van verpakkingen
6.1.1 Algemeen
6.1.2 Code voor de aanduiding van typen van verpakkingen
6.1.3 Kenmerk
6.1.4 Eisen aan verpakkingen
6.1.4.0 Algemene voorschriften
6.1.4.1 Stalen vaten
6.1.4.2 Aluminium vaten
6.1.4.3 Vaten van een ander metaal dan staal of aluminium
6.1.4.4 Jerrycans van staal of aluminium
6.1.4.5 Vaten van gelamineerd hout
6.1.4.7 Kartonnen vaten
6.1.4.8 Vaten en jerrycans van kunststof
6.1.4.9 Kisten van natuurlijk hout
6.1.4.10 Kisten van gelamineerd hout
6.1.4.11 Kisten van houtvezelmateriaal
6.1.4.12 Kartonnen dozen
6.1.4.13 Dozen van kunststof
6.1.4.14 Kisten van staal, aluminium of ander metaal
6.1.4.15 Zakken van textiel
6.1.4.16 Zakken van kunststof weefsel
6.1.4.17 Zakken van kunststof folie
6.1.4.18 Papieren zakken
6.1.4.19 Combinatieverpakkingen (kunststof)
6.1.4.20 Combinatieverpakkingen (glas, porselein of aardewerk)
6.1.4.21 Samengestelde verpakkingen
6.1.4.22 Lichte metalen verpakkingen
6.1.5 Voorschriften voor de beproeving van de verpakkingen
6.1.5.1 Uitvoering en herhaling van de beproevingen
6.1.5.2 Voorbereiding van de verpakkingen en de colli voor de beproevingen
6.1.5.3 Valproef
6.1.5.4 Dichtheidsproef
6.1.5.5 Beproeving met inwendige druk (hydraulische proefpersing)
6.1.5.6 Stapelproef
6.1.5.7 Aanvullende beproeving van permeatie bij vaten en jerrycans van kunststof volgens 6.1.4.8 en combinatieverpakkingen (kunststof) volgens 6.1.4.19, bestemd voor het vervoer van vloeistoffen met een vlampunt £60 oC, met uitzondering van de verpakkingen 6HA1
6.1.5.8 Beproevingsrapport
6.1.6 Standaardvloeistoffen voor het aantonen van de chemische bestendigheid van verpakkingen, met inbegrip van IBC’s, van polyetheen, volgens respectievelijk 6.1.5.2.6 en 6.5.6.3.5.
     
Hoofdstuk 2    
6.2 Voorschriften voor de constructie en de beproeving van drukhouders, spuitbussen, houders, klein, met gas (gaspatronen) en patronen voor brandstofcellen met vloeibaar gemaakt, brandbaar gas
6.2.1 Algemene voorschriften
6.2.1.1 Ontwerp en constructie
6.2.1.2 Materialen
6.2.1.3 Bedrijfsuitrusting
6.2.1.4 Goedkeuring van drukhouders
6.2.1.5 Eerste onderzoek en beproeving
6.2.1.6 Periodiek onderzoek en beproeving
6.2.1.7 Voorschriften voor fabrikanten
6.2.1.8 Voorschriften voor onderzoeksinstanties
6.2.2 Voorschriften voor UN-drukhouders
6.2.2.1 Ontwerp, constructie en eerste onderzoek en beproeving
6.2.2.2 Materialen
6.2.2.3 Bedrijfsuitrusting
6.2.2.4 Periodiek onderzoek en beproeving
6.2.2.5 Conformiteitbeoordelingssysteem en goedkeuring voor de fabricage van drukhouders
6.2.2.6 Goedkeuringssysteem voor periodiek onderzoek en beproeving van drukhouders
6.2.2.7 Merktekens op hervulbare UN-drukhouders
6.2.2.8 Merktekens op niet-hervulbare UN-drukhouders
6.2.2.9 Merktekens op UN-opslagsystemen met metaalhydride
6.2.2.10 Merktekens op UN-flessenbatterijen
6.2.2.11 Equivalente procedures voor conformiteitsbeoordeling en periodiek onderzoek en beproeving
6.2.3 Algemene voorschriften voor niet-UN-drukhouders
6.2.3.1 Ontwerp en constructie
6.2.3.3 Bedrijfsuitrusting
6.2.3.4 Eerste onderzoek en beproeving
6.2.3.5 Periodiek onderzoek en beproeving
6.2.3.6 Goedkeuring van drukhouders
6.2.3.7 Voorschriften voor fabrikanten
6.2.3.8 Voorschriften voor onderzoeksinstanties
6.2.3.9 Merktekens op hervulbare drukhouders
6.2.3.10 Merktekens op niet-hervulbare drukhouders
6.2.3.11 Bergingsdrukhouders
6.2.4 Voorschriften voor niet-UN-drukhouders, die volgens normen waarnaar wordt verwezen, zijn ontworpen, geconstrueerd en beproefd
6.2.4.2 Periodiek onderzoek en beproeving
6.2.5 Voorschriften voor niet-UN-drukhouders die niet volgens normen zijn ontworpen, geconstrueerd en beproefd
6.2.5.1 Materialen
6.2.5.2 Bedrijfsuitrusting
6.2.5.3 Metalen flessen, grote cilinders, drukvaten en flessenbatterijen
6.2.5.4 Aanvullende bepalingen die betrekking hebben op drukhouders vervaardigd van een aluminiumlegering voor samengeperste gassen, vloeibaar gemaakte gassen, opgeloste gassen en drukloze gassen die aan bijzondere voorschriften onderworpen zijn (gasmonsters), alsmede op voorwerpen die gas onder druk bevatten met uitzondering van spuitbussen en houders, klein, met gas (gaspatronen)
6.2.5.5 Drukhouders van composietmaterialen
6.2.5.6 Gesloten cryo-houders
6.2.6 Algemene voorschriften voor spuitbussen, houders, klein, met gas (gaspatronen), alsmede voor patronen voor brandstofcellen die een vloeibaar gemaakt, brandbaar gas bevatten
6.2.6.1 Ontwerp en constructie
6.2.6.2 Hydraulische drukproef
6.2.6.3 Dichtheidsproef
6.2.6.4 Verwijzing naar normen
     
Hoofdstuk 3    
6.3 Voorschriften voor de constructie en de beproeving van verpakkingen voor infectueuze (besmettelijke) stoffen van categorie A van klasse 6.2
6.3.1 Algemeen
6.3.2 Voorschriften voor verpakkingen
6.3.3 Code voor de aanduiding van de typen verpakkingen
6.3.4 Kenmerk
6.3.4.4 Voorbeeld van kenmerk
6.3.5 Beproevingseisen voor verpakkingen
6.3.5.1 Uitvoering en frequentie van de beproevingen
6.3.5.2 Voorbereiding van verpakkingen voor de beproeving
6.3.5.3 Valproef
6.3.5.4 Doorstootproef
6.3.5.5 Beproevingsrapport
     
Hoofdstuk 4    
6.4 Voorschriften voor de constructie, beproeving en goedkeuring van colli voor radioactieve stoffen en voor de goedkeuring van dergelijke stoffen
6.4.1 (Gereserveerd)
6.4.2 Algemene bepalingen
6.4.3 (Gereserveerd)
6.4.4 Bepalingen voor vrijgestelde colli
6.4.5 Bepalingen voor industriële colli
6.4.6 Bepalingen voor colli die uraniumhexafluoride bevatten
6.4.7 Bepalingen voor colli van type A
6.4.8 Bepalingen voor colli van type B(U)
6.4.9 Bepalingen voor colli van type B(M)
6.4.10 Bepalingen voor colli van type C
6.4.11 Bepalingen voor colli met splijtbare stoffen
6.4.12 Beproevingsprocedures en bewijs van overeenstemming
6.4.13 Beproeving van de goede staat van de borghouder en de afscherming en beoordeling van de veiligheid ten aanzien van criticaliteit
6.4.14 Trefplaat voor valproeven
6.4.15 Beproeving met het doel aan te tonen dat het collo normale vervoersomstandigheden kan doorstaan
6.4.16 Bijkomende beproevingen voor colli van type A ontworpen voor vloeistoffen en gassen
6.4.17 Beproevingen met het doel om aan te tonen dat het collo ongevalsomstandigheden tijdens het vervoer kan doorstaan
6.4.18 Verzwaarde onderdompelingsbeproeving in water voor colli van type B(U) en van type B(M) die meer dan 105 A2 bevatten en colli van type C
6.4.19 Beproeving van waterlekkage voor colli die splijtbare stoffen bevatten
6.4.20 Beproevingen voor colli van type C
6.4.21 Keuringen van verpakkingen ontworpen om ten minste 0,1 kg uraniumhexafluoride te bevatten
6.4.22 Goedkeuring van het model van colli en stoffen
6.4.23 Aanvragen voor goedkeuring en goedkeuring voor het vervoer van radioactieve stoffen
     
Hoofdstuk 5    
6.5 Voorschriften voor de constructie en beproeving van IBC’s
6.5.1 Algemene voorschriften
6.5.1.1 Toepassingsgebied
6.5.1.4 Coderingssysteem voor de kenmerking van IBC's
6.5.2 Kenmerk
6.5.2.1 Basiskenmerk
6.5.2.2 Aanvullende kenmerking
6.5.2.3 Overeenstemming met het ontwerptype
6.5.2.4 Kenmerk van omgebouwde combinatie-IBC’s (31HZ1)
6.5.3 Voorschriften voor de constructie
6.5.3.1 Algemene voorschriften
6.5.4 Beproeving, certificering en inspectie
6.5.4.4 Inspectie en beproeving
6.5.4.5 Gerepareerde IBC's
6.5.5 Bijzondere voorschriften voor IBC’s
6.5.5.1 Bijzondere voorschriften voor metalen IBC's
6.5.5.2 Bijzondere voorschriften voor flexibele IBC's
6.5.5.3 Bijzondere voorschriften voor IBC's van stijve kunststof
6.5.5.4 Bijzondere voorschriften voor combinatie-IBC's met binnenhouder van kunststof
6.5.5.5 Bijzondere voorschriften voor kartonnen IBC's
6.5.5.6 Bijzondere voorschriften voor houten IBC's
6.5.6 Voorschriften voor de beproeving van IBC’s
6.5.6.1 Uitvoering en herhaling van de beproevingen
6.5.6.2 Beproevingen van het ontwerptype
6.5.6.3 Voorbereiding van de IBC's voor de beproevingen
6.5.6.4 Hefproef (onderzijde)
6.5.6.5 Hefproef (bovenzijde)
6.5.6.6 Stapelproef
6.5.6.7 Dichtheidsproef
6.5.6.8 Hydraulische drukproef (beproeving met inwendige druk)
6.5.6.9 Valproef
6.5.6.10 Scheurproef
6.5.6.11 Kantelproef
6.5.6.12 Oprichtproef
6.5.6.13 Vibratietest
6.5.6.14 Beproevingsrapport
     
Hoofdstuk 6    
6.6 Voorschriften voor de constructie en de beproeving van grote verpakkingen
6.6.1 Algemeen
6.6.2 Code voor het aanduiden van typen grote verpakkingen
6.6.3 Kenmerk
6.6.4 Bijzondere voorschriften voor grote verpakkingen
6.6.4.1 Bijzondere voorschriften voor metalen grote verpakkingen
6.6.4.2 Bijzondere voorschriften voor grote verpakkingen van flexibel materiaal
6.6.4.3 Bijzondere voorschriften voor grote verpakkingen van kunststof
6.6.4.4. Bijzondere voorschriften voor grote verpakkingen van karton
6.6.4.5 Bijzondere voorschriften voor grote verpakkingen van hout
6.6.5 Beproevingsvoorschriften voor grote verpakkingen
6.6.5.1 Uitvoering en frequentie van de beproevingen
6.6.5.2 Voorbereiding voor de beproeving
6.6.5.3 Beproevingsvoorschriften
6.6.5.4 Certificering en beproevingsrapport
     
Hoofdstuk 7    
6.7 Voorschriften voor het ontwerp, de constructie, het onderzoek en de beproeving van transporttanks en UN-gascontainers met verscheidene elementen (MEGC’s)
6.7.1 Toepassing en algemene voorschriften
6.7.2 Voorschriften voor het ontwerp, de constructie, het onderzoek en de beproeving van transporttanks, bestemd voor het vervoer van stoffen van de klassen 1 en 3 t/m 9
6.7.2.2 Algemene voorschriften voor ontwerp en constructie
6.7.2.3 Ontwerpcriteria
6.7.2.4 Minimale wanddikte van het reservoir
6.7.2.5 Bedrijfsuitrusting
6.7.2.6 Openingen aan de onderzijde
6.7.2.7 Veiligheidsinrichtingen
6.7.2.8 Drukontlastingsinrichtingen
6.7.2.9 Instelling van drukontlastingsinrichtingen
6.7.2.10 Smeltveiligheden
6.7.2.11 Breekplaten
6.7.2.12 Capaciteit van drukontlastingsinrichtingen
6.7.2.13 Kenmerking van drukontlastingsinrichtingen
6.7.2.14 Aansluitingen naar drukontlastingsinrichtingen
6.7.2.15 Plaatsing van drukontlastingsinrichtingen
6.7.2.16 Peilinrichtingen
6.7.2.17 Steunen voor transporttanks, raamwerken, hijs- en bevestigingsinrichtingen
6.7.2.18 Goedkeuring van het ontwerp
6.7.2.19 Onderzoek en beproeving
6.7.2.20 Kenmerking
6.7.3 Voorschriften voor het ontwerp, de constructie, het onderzoek en de beproeving van transporttanks, bestemd voor het vervoer van niet sterk gekoelde, vloeibaar gemaakte gassen
6.7.3.1 Definities
6.7.3.2 Algemene voorschriften voor ontwerp en constructie
6.7.3.3 Ontwerpcriteria
6.7.3.4 Minimale wanddikte van het reservoir
6.7.3.5 Bedrijfsuitrusting
6.7.3.6 Openingen aan de onderzijde
6.7.3.7 Drukontlastingsinrichtingen
6.7.3.8 Capaciteit van ontlastingsinrichtingen
6.7.3.9 Kenmerking van drukontlastingsinrichtingen
6.7.3.10 Aansluitingen naar drukontlastingsinrichtingen
6.7.3.11 Plaatsing van drukontlastingsinrichtingen
6.7.3.12 Peilinrichtingen
6.7.3.13 Steunen, raamwerken, hijs- en bevestigingsinrichtingen voor transporttanks
6.7.3.14 Goedkeuring van het ontwerp
6.7.3.15 Onderzoek en beproeving
6.7.3.16 Kenmerking
6.7.4 Voorschriften voor het ontwerp, de constructie, het onderzoek en de beproeving van transporttanks, bestemd voor het vervoer van sterk gekoelde, vloeibaar gemaakte gassen van klasse 2
6.7.4.1 Definities
6.7.4.2 Algemene voorschriften voor ontwerp en constructie
6.7.4.3 Ontwerpcriteria
6.7.4.4 Minimale wanddikte van het reservoir
6.7.4.5 Bedrijfsuitrusting
6.7.4.6 Drukontlastingsinrichtingen
6.7.4.7 Capaciteit en instelling van drukontlastingsinrichtingen
6.7.4.8 Kenmerking van drukontlastingsinrichtingen
6.7.4.9 Aansluitingen naar drukontlastingsinrichtingen
6.7.4.10 Plaatsing van drukontlastingsinrichtingen
6.7.4.11 Peilinrichtingen
6.7.4.12 Steunen voor transporttanks, raamwerken, hijs- en bevestigingsinrichtingen.
6.7.4.13 Goedkeuring van het ontwerp
6.7.4.14 Onderzoek en beproeving
6.7.4.15 Kenmerking
6.7.5 Voorschriften voor het ontwerp, de constructie, het onderzoek en de beproeving van UN-gascontainers met verscheidene elementen (MEGC's), bestemd voor het vervoer van niet sterk gekoelde gassen.
6.7.5.1 Definities
6.7.5.2 Algemene ontwerp- en constructievoorschriften
6.7.5.3 Bedrijfsuitrusting
6.7.5.4 Drukontlastingsinrichtingen
6.7.5.5 Capaciteit van drukontlastingsinrichtingen
6.7.5.6 Kenmerking van drukontlastingsinrichtingen
6.7.5.7 Aansluitingen naar drukontlastingsinrichtingen
6.7.5.8 Plaatsing van drukontlastingsinrichtingen
6.7.5.9 Peilinrichtingen
6.7.5.10 Steunen, raamwerken, hijs- en bevestigingsinrichtingen voor MEGC's
6.7.5.11 Goedkeuring van het ontwerp
6.7.5.12 Onderzoek en beproeving
6.7.5.13 Kenmerking
     
Hoofdstuk 8    
6.8 Voorschriften voor de constructie, uitrusting, typegoedkeuring, het onderzoek en de beproeving en de kenmerking van vaste tanks (tankwagens), afneembare tanks en tankcontainers en wissellaadtanks, met reservoirs van metaal, en batterijwagens en gascontainers met verscheidene elementen (MEGC's)
6.8.1 Toepassingsgebied
6.8.2 Voorschriften van toepassing op alle klassen
6.8.2.1 Constructie,Basisprincipes, Materialen van de reservoirs,Minimale wanddikte van het reservoir, Het lassen en het onderzoek van de lasverbindingen
6.8.2.2 Uitrustingsdelen
6.8.2.3 Typegoedkeuring
6.8.2.4 Onderzoek en beproevingen
6.8.2.5 Kenmerking
6.8.2.6 Voorschriften voor tanks die volgens normen waarnaar wordt verwezen, zijn ontworpen, geconstrueerd en beproefd
6.8.2.6.2 Onderzoek en beproeving
6.8.2.7 Voorschriften voor tanks die niet volgens normen waarnaar verwezen wordt, zijn ontworpen, geconstrueerd en beproefd
6.8.3 Bijzondere voorschriften van toepassing op klasse 2
6.8.3.1 Constructie van reservoirs, Constructie van batterijwagens en MEGC's
6.8.3.2 Uitrustingsdelen, Warmte-isolerende beschermingen, Uitrustingsdelen voor batterijwagens en MEGC's
6.8.3.3 Typegoedkeuring
6.8.3.4 Onderzoek en beproevingen, Onderzoek en beproevingen van batterijwagens en MEGC's
6.8.3.5 Kenmerking, Kenmerking van batterijwagens en MEGC's
6.8.3.6 Voorschriften voor batterijwagens en MEGC’s die worden ontworpen, geconstrueerd en beproefd overeenkomstig normen waarnaar wordt verwezen
6.8.3.7 Voorschriften voor batterijwagens en MEGC's die niet volgens normen waarnaar wordt verwezen zijn ontworpen, geconstrueerd en beproefd
6.8.4 Bijzondere bepalingen
6.8.5 Voorschriften betreffende de materialen en constructie van vaste gelaste tanks, afneembare gelaste tanks en gelaste reservoirs van tankcontainers waarvoor een beproevingsdruk van ten minste 1 MPa (10 bar) is voorgeschreven en van vaste gelaste tanks, afneembare gelaste tanks en gelaste reservoirs van tankcontainers bestemd voor het vervoer van sterk gekoelde, vloeibaar gemaakte gassen van klasse 2
6.8.5.1 Materialen en reservoirs
6.8.5.2 Beproevingsvoorschriften
6.8.5.2.1 Stalen reservoirs
6.8.5.2.2 Reservoirs van aluminium of van aluminiumlegeringen
6.8.5.2.3 Reservoirs van koper of koperlegeringen
6.8.5.3 Kerfslagproeven
6.8.5.4 Verwijzing naar normen
     
Hoofdstuk 9    
6.9 Voorschriften voor het ontwerp, de constructie, uitrusting, typegoedkeuring, beproeving en kenmerking van vaste tanks (tankwagens), afneembare tanks, tankcontainers en wissellaadtanks van vezelgewapende kunststof
6.9.1 Algemeen
6.9.2 Constructie
6.9.2.3 Grondstoffen
6.9.2.3.2 Harsen
6.9.2.3.3 Versterkingsvezels
6.9.2.3.4 Materiaal voor thermoplastische bekleding
6.9.2.3.5 Additieven
6.9.2.14 Bijzondere voorschriften voor het vervoer van stoffen met een vlampunt ten hoogste 60 oC
6.9.3 Uitrustingsdelen
6.9.4 Typekeuring en typegoedkeuring
6.9.4.2 Materiaalbeproeving
6.9.4.3 Typekeuring
6.9.4.4 Typegoedkeuring
6.9.5 Inspecties
6.9.6 Kenmerking
     
Hoofdstuk 10    
6.10 Voorschriften voor de constructie, de uitrusting, de typegoedkeuring, het onderzoek en de kenmerking van druk/vacuümtanks (voor afvalstoffen)
6.10.1 Algemeen
6.10.1.1 Definitie
6.10.1.2 Toepassingsgebied
6.10.2 Constructie
6.10.3 Uitrustingsdelen
     
Hoofdstuk 11    
6.11 Voorschriften voor het ontwerp, de constructie, het onderzoek en de beproeving van bulkcontainers
6.11.2 Toepassing en algemene voorschriften
6.11.2.3 Code voor het aanduiden van typen bulkcontainers
6.11.3 Voorschriften voor het ontwerp, de constructie, het onderzoek en de beproeving van BK1- of BK2-containers die voldoen aan de CSC en die als bulkcontainers gebruikt worden
6.11.3.1 Ontwerp- en constructievoorschriften
6.11.3.2 Bedrijfsuitrusting
6.11.3.3 Onderzoek en beproeving
6.11.3.4 Kenmerking
6.11.4 Voorschriften voor het ontwerp, de constructie en de goedkeuring van BK1- en BK2-bulkcontainers met uitzondering van containers die voldoen aan de CSC
6.11.5 Voorschriften voor het ontwerp, de constructie, het onderzoek en de beproeving van flexibele bulkcontainers (BK3)
6.11.5.1 Voorschriften voor ontwerp en constructie
6.11.5.2 Bedrijfsuitrusting en voorzieningen voor de behandeling
6.11.5.3 Onderzoek en beproeving
6.11.5.4 Beproevingsrapport
6.11.5.5 Kenmerking
     
Hoofdstuk 12    
6.12 Voorschriften voor de constructie, uitrusting, typegoedkeuring, onderzoeken en beproevingen en kenmerking van tanks, bulkcontainers en speciale compartimenten voor ontplofbare stoffen of voorwerpen van mobiele eenheden voor de fabricage van ontplofbare stoffen of voorwerpen (MEMU's)
6.12.1 Toepassingsgebied
6.12.2 Algemene bepalingen
6.12.3 Tanks
6.12.3.1 Tanks met een inhoud van 1000 liter of meer
6.12.3.2 Tanks met een inhoud van minder dan 1000 liter
6.12.4 Uitrustingsdelen
6.12.5 Speciale compartimenten voor ontplofbare stoffen en voorwerpen
     
Hoofdstuk 13    
6.13.1 Algemeen
6.13.2 Constructie
6.13.3 Uiitrustingsdelen
6.13.4 Typekeuring & Typegoedkeuring
6.13.5 Inspecties
6.13.6 Kenmerking
DEEL 7 - Voorschriften inzake het vervoer, het laden, lossen en de behandeling
Hoofdstuk 1    
7.1 Algemene voorschriften en bijzondere bepalingen voor temperatuurbeheersing
     
Hoofdstuk 2    
7.2 Voorschriften inzake het vervoer in colli
     
Hoofdstuk 3    
7.3 Voorschriften inzake het vervoer als los gestort goed
7.3.1 Algemene voorschriften
7.3.2 Voorschriften voor het vervoer als los gestort goed indien de voorschriften van 7.3.1.1 a) worden toegepast.
7.3.2.3 Goederen van klasse 4.2
7.3.2.4 Goederen van klasse 4.3
7.3.2.5 Goederen van klasse 5.1
7.3.2.6 Goederen van klasse 6.2
7.3.2.6.2 Afvalstoffen van klasse 6.2 (UN 3291)
7.3.2.7 Stoffen van klasse 7
7.3.2.8 Goederen van klasse 8
7.3.2.9 Goederen van klasse 9
7.3.2.10 Gebruik van flexibele bulkcontainers
7.3.3 Bijzondere bepalingen voor het vervoer als los gestort goed indien de voorschriften van 7.3.1.1 b) worden toegepast
     
Hoofdstuk 4    
7.4 Voorschriften inzake vervoer in tanks
     
Hoofdstuk 5    
7.5 Voorschriften inzake het laden, lossen en de behandeling
7.5.1 Algemene voorschriften inzake het laden, lossen en de behandeling
7.5.2 Samenladingsverboden
7.5.4 Voorzorgsmaatregelen met betrekking tot levens- en genotsmiddelen en voer voor dieren
7.5.5 Beperking van de vervoerde hoeveelheden
7.5.5.2 Beperkingen met betrekking tot ontplofbare stoffen en voorwerpen
7.5.5.2.1 Te vervoeren stoffen en hoeveelheden
7.5.5.2.3 Vervoer van ontplofbare stoffen en voorwerpen op MEMU's
7.5.7 Behandeling en stuwage
7.5.7.6 Laden van flexibele bulkcontainers
7.5.8 Reiniging na het lossen
7.5.9 Rookverbod
7.5.10 Voorzorgsmaatregelen tegen elektrostatische ladingen
7.5.11 Aanvullende voorschriften voor bepaalde klassen of specifieke goederen
     
Bijlage B   Bepalingen betreffende de vervoermiddelen en het vervoer
DEEL 8 - Voorschriften voor de bemanning, uitrusting en exploitatie van het voertuig en documentatie
Hoofdstuk 1    
8.1 Algemene voorschriften inzake transporteenheden en boorduitrusting
8.1.1 Transporteenheden
8.1.2 Aan boord van de transporteenheid mee te voeren documenten
8.1.3 Het aanbrengen van grote etiketten en kenmerking
8.1.4 Brandbestrijdingsuitrusting
8.1.5 Uitrusting van uiteenlopende aard en uitrusting voor persoonlijke bescherming
     
Hoofdstuk 2    
8.2 Voorschriften inzake de opleiding van de bemanning van het voertuig
8.2.1 Toepassing en algemene voorschriften inzake de opleiding van bestuurders
8.2.2 Bijzondere voorschriften inzake de opleiding van bestuurders
8.2.2.3 Structuur van de opleiding
8.2.2.4 Programma voor de aanvangscursus
8.2.2.5 Programma voor de herhalingsopleiding
8.2.2.6 Goedkeuring van de opleiding
8.2.2.7 Examens
8.2.2.7.1 Examens voor de basisopleidingscursus
8.2.2.7.2 Examens voor de specialisatieopleidingscursussen voor het vervoer in tanks of voor het vervoer van stoffen en voorwerpen van klasse 1 of radioactieve stoffen van klasse 7
8.2.2.8 Het vakbekwaamheidscertificaat van de bestuurder
8.2.2.8.5 Model van het opleidingscertificaat voor bestuurders van voertuigen die gevaarlijke goederen vervoeren
8.2.3 De opleiding van personen - met uitzondering van bestuurders die in het bezit zijn van een certificaat volgens 8.2.1 - die bij het vervoer van gevaarlijke goederen over de weg betrokken zijn
     
Hoofdstuk 3    
8.3 Diverse voorschriften waaraan de bemanning van het voertuig moet voldoen
8.3.1 Passagiers
8.3.2 Het gebruik van brandblusapparaten
8.3.3 Verbod op het openen van colli
8.3.4 Draagbare verlichtingsapparaten
8.3.5 Rookverbod
8.3.6 Het laten draaien van de motor tijdens laden of lossen
8.3.7 Gebruik van de parkeerrem en de stopblokken
8.3.8 Gebruik betrokken zijn
     
Hoofdstuk 4    
8.4 Voorschriften betreffende het toezicht op voertuigen
     
Hoofdstuk 5    
8.5 Aanvullende voorschriften met betrekking tot specifieke klassen of goederen
     
Hoofdstuk 6    
8.6 Beperkingen voor de doorgang door tunnels voor het wegverkeer van voertuigen die gevaarlijke goederen vervoeren
8.6.1 Algemene bepalingen
8.6.2 Verkeerstekens en symbolen voor het wegverkeer, van toepassing op de doorgang van voertuigen die gevaarlijke goederen vervoeren.
8.6.3 Codes voor beperkingen in tunnels
8.6.4 Beperkingen voor de doorgang van transporteenheden die gevaarlijke goederen vervoeren door tunnels
     
DEEL 9 - Voorschriften inzake de constructie en goedkeuring van voertuigen
Hoofdstuk 1    
9.1 Toepassingsgebied, definities en voorschriften voor de goedkeuring van voertuigen
9.1.1 Toepassingsgebied en definities
9.1.1.1 Toepassingsgebied
9.1.1.2 Definities
9.1.2 Goedkeuring van EX/II-, EX/III-, FL - en AT-voertuigen en MEMU’s
9.1.2.1 Algemeen
9.1.2.2 Voorschriften voor voertuigen met typegoedkeuring
9.1.2.3 Jaarlijks technisch onderzoek
9.1.3 Certificaat van goedkeuring
9.1.3.5 Model voor het certificaat van goedkeuring voor voertuigen die bepaalde gevaarlijke goederen vervoeren
     
Hoofdstuk 2    
9.2 Voorschriften inzake de constructie van voertuigen
9.2.1 Overeenstemming met de voorschriften van dit hoofdstuk
9.2.2 Elektrische uitrusting
9.2.2.1 Algemene voorschriften
9.2.2.2 Bedrading
9.2.2.3 Zekeringen en stroomonderbrekers
9.2.2.4 Accu's
9.2.2.5 Verlichting
9.2.2.6 Elektrische verbindingen tussen motorvoertuigen en aanhangwagens
9.2.2.7 Spanning
9.2.2.8 Hoofdschakelaar voor de accu
9.2.2.9 Stroomkringen met permanente voeding
9.2.3 Reminrichting
9.2.3.1 Algemene voorschriften
9.2.4 Voorkomen van brandgevaar
9.2.4.1 Algemene voorschriften
9.2.4.3 Brandstoftanks
9.2.4.5 Uitlaatsysteem
9.2.4.6 Duurremsysteem
9.2.4.7 Verwarmingssystemen op brandstof
9.2.5 Snelheidsbegrenzer
9.2.6 Koppelingen van motorvoertuigen en aanhangwagens
9.2.7 Voorkomen van andere risico's veroorzaakt door brandstoffen
     
Hoofdstuk 3    
9.3 Aanvullende voorschriften inzake complete of afgebouwde EX/II- of EX/III-voertuigen, bestemd voor het vervoer van ontplofbare stoffen en voorwerpen (klasse 1) in colli
9.3.1 Te gebruiken materialen voor de constructie van voertuigopbouwen
9.3.2 Verwarmingssystemen op brandstof
9.3.3 EX/II-voertuigen
9.3.4 EX/III-voertuigen
9.3.5 Motor en laadcompartiment
9.3.6 Uitwendige warmtebronnen en de laadruimte
9.3.7 Elektrische uitrusting
     
Hoofdstuk 4    
9.4 Aanvullende voorschriften inzake de constructie van de opbouwen van complete of afgebouwde voertuigen, bestemd voor het vervoer van gevaarlijke goederen in colli (met uitzondering van EX/II- en EX/III-voertuigen)
     
Hoofdstuk 5    
9.5 Aanvullende voorschriften inzake de constructie van de opbouwen van complete of afgebouwde voertuigen, bestemd voor het vervoer van gevaarlijke vaste stoffen als losgestort goed
     
Hoofdstuk 6    
9.6 Aanvullende voorschriften inzake complete of afgebouwde voertuigen, bestemd voor het vervoer van stoffen onder temperatuurbeheersing
     
Hoofdstuk 7    
9.7 Aanvullende voorschriften inzake tankwagens (vaste tanks) batterijwagens en complete of afgebouwde voertuigen, die worden gebruikt voor het vervoer van gevaarlijke goederen in afneembare tanks met een inhoud groter dan 1 m3 of in tankcontainers, transporttanks of MEGC’s met een inhoud groter dan 3 m3 (EX/III-, FL- en AT-voertuigen)
9.7.1 Algemene voorschriften
9.7.2 Voorschriften inzake tanks
9.7.3 Bevestiging
9.7.4 Equipotentiaalverbinding van FL-voertuigen
9.7.5 Stabiliteit van tankwagens
9.7.6 Bescherming aan de achterzijde van voertuigen
9.7.7 Verwarmingssystemen op brandstof
9.7.8 Elektrische uitrusting
9.7.9 Aanvullende veiligheidsvoorschriften betreffende EX/III-voertuigen
     
Hoofdstuk 8    
9.8 Aanvullende voorschriften inzake complete en afgebouwde MEMU’s
9.8.1 Algemene bepalingen
9.8.2 Voorschriften inzake tanks en bulkcontainers
9.8.3 Equipotentiaalverbinding van MEMU's
9.8.4 Stabiliteit van MEMU's
9.8.5 Bescherming aan de achterzijde van MEMU's
9.8.6 Verwarmingssystemen op brandstof
9.8.7 Aanvullende veiligheidsvoorschriften
9.8.8 Aanvullende beveiligingsvoorschriften
     

HOOFDSTUK 4.2
GEBRUIK VAN TRANSPORTTANKS EN UN-GASCONTAINERS MET MEERDERE ELEMENTEN (MEGC’s)

Opmerking 1

  • Voor vaste tanks (tankwagens), afneembare tanks en tankcontainers en wissellaadtanks, met metalen reservoirs, en batterijwagens en gascontainers met meerdere elementen (MEGC’s), zie hoofdstuk 4.3;
  • voor tanks van vezelgewapende kunststof, zie hoofdstuk 4.4;
  • voor druk/vacuümtanks (voor afvalstoffen), zie hoofdstuk 4.5.

Opmerking 2:
Transporttanks en UN-MEGC’s, gemerkt volgens de voorschriften die van toepassing zijn van hoofdstuk 6.7, maar die goedgekeurd werden in een Staat die geen Overeenkomstsluitende Partij bij het ADR is, mogen niettemin voor vervoer onder het ADR gebruikt worden.

 

4.2.1
25

Algemene voorschriften voor het gebruik van transporttanks voor het vervoer van stoffen van klassen 1 en 3 t/m 9

4.2.1.1

Deze sectie geeft algemene voorschriften voor het gebruik van transporttanks bij het vervoer van stoffen van klassen 1, 3, 4.1, 4.2, 4.3, 5.1, 5.2, 6.1, 6.2, 7, 8 en 9.

Behalve aan deze algemene voorschriften, moeten transporttanks ook voldoen aan de in 6.7.2 genoemde voorschriften betreffende het ontwerp, de constructie, inspectie en beproeving. Stoffen moeten worden vervoerd in transporttanks die voldoen aan de van toepassing zijnde transporttank-instructie, vermeld in kolom (10) van tabel A in hoofdstuk 3.2 en beschreven in 4.2.5.2.6 (T1 tot en met T23), en aan de voor iedere stof in kolom (11) in tabel A in hoofdstuk 3.2 toegewezen en in 4.2.5.3 beschreven bijzondere bepalingen voor transporttanks.

 

4.2.1.2

Tijdens vervoer moeten transporttanks voldoende worden beschermd tegen beschadiging van de tank en de bedrijfsuitrusting door stoten in zijdelingse richting en in lengterichting en kantelen.

Indien de tank en de bedrijfsuitrusting zo zijn geconstrueerd dat zij bestand zijn tegen stoten of kantelen, behoeven de transporttanks niet op deze wijze beschermd te zijn.

Voorbeelden van een dergelijke bescherming zijn vermeld in 6.7.2.17.5

 

4.2.1.3

Bepaalde stoffen zijn chemisch instabiel. Zij worden alleen ten vervoer aangenomen wanneer de noodzakelijke maatregelen zijn genomen om de gevaarlijke ontleding, transformatie of polymerisatie ervan tijdens vervoer te verhinderen. Hiertoe moet men er in het bijzonder voor zorgen dat tanks gegarandeerd geen stoffen bevatten die deze reacties bevorderen.

 

4.2.1.4

De temperatuur van het buitenoppervlak van de tank, met uitzondering van openingen en de sluitingen ervan, of van de thermische isolatie mag tijdens vervoer niet hoger zijn dan 70 oC. Voor zover noodzakelijk, moet de tank thermisch geïsoleerd zijn.

 

4.2.1.5

Lege transporttanks die niet zijn gereinigd en niet gasvrij zijn, moeten aan dezelfde voorschriften voldoen als transporttanks die met de voorgaande stof zijn gevuld.

 

4.2.1.6

Stoffen mogen niet in dezelfde of direct aan elkaar grenzende compartimenten van tanks worden vervoerd wanneer zij op gevaarlijke wijze met elkaar kunnen reageren (zie definitie van “gevaarlijke reactie” in 1.2.1).

4.2.1.7

Het goedkeuringscertificaat van het prototype, het beproevingsrapport en het certificaat met de resultaten van het eerste onderzoek en de eerste beproeving van elke transporttank, afgegeven door de bevoegde autoriteit of een door haar aangewezen instantie, moet door de autoriteit of instantie en de eigenaar worden bewaard.

Eigenaars moeten deze documentatie op verzoek van een bevoegde autoriteit kunnen tonen.

 

4.2.1.8

Tenzij de benaming(en) van de stof(fen) die wordt (worden) vervoerd, vermeld staat (staan) op de in 6.7.2.20.2 beschreven metalen plaat, moet een kopie van het in 6.7.2.18.1 genoemde certificaat op verzoek van een bevoegde autoriteit of een door haar aangewezen instantie beschikbaar kunnen worden gesteld en zonder mankeren door de afzender, geadresseerde of vertegenwoordiger, al naar gelang van toepassing, verschaft kunnen worden.

 

4.2.1.9

Vullingsgraad

4.2.1.9.1

Voorafgaand aan het vullen, moet de afzender er voor zorgen dat de juiste transporttank wordt gebruikt en dat de transporttank niet wordt geladen met stoffen die bij contact met de materialen van de tank, pakkingen, bedrijfsuitrusting en eventuele beschermende bekleding, hiermee waarschijnlijk op gevaarlijke wijze reageren onder vorming van gevaarlijke producten of het materiaal aanzienlijk verzwakken.

Het kan zijn dat de vuller de fabrikant van de stof alsmede de bevoegde autoriteit moet raadplegen voor advies omtrent de compatibiliteit van de stof met de materialen van de transporttank.

 

4.2.1.9.1.1

Transporttanks mogen niet verder dan vermeld in 4.2.1.9.2 tot en met 4.2.1.9.6 worden gevuld. De toepasbaarheid van 4.2.1.9.2, 4.2.1.9.3 of 4.2.1.9.5.1 op afzonderlijke stoffen wordt vermeld in de van toepassing zijnde transporttank-instructies of bijzondere bepalingen in 4.2.5.2.6 of 4.2.5.3 en kolom (10) of (11) in tabel A van hoofdstuk 3.2.

 

4.2.1.9.2

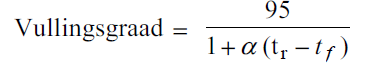
De maximale vullingsgraad (in %) voor algemeen gebruik wordt vastgesteld door middel van de
formule:

4.2.1.9.2

 

4.2.1.9.3

De maximale vullingsgraad (in %) voor vloeistoffen van klasse 6.1 en klasse 8, van de verpakkingsgroepen I en II, en vloeistoffen met een absolute dampdruk van meer dan 175 kPa (1,75 bar) bij 65 oC, wordt vastgesteld door middel van de formule:

4.2.1.9.3

 

4.2.1.9.4

In deze formules is α de gemiddelde kubieke uitzettingscoëfficiënt van de vloeistof tussen de gemiddelde temperatuur van de vloeistof tijdens het vullen (tf) en de maximale gemiddelde temperatuur van de lading tijdens vervoer (tr) (beide in oC).

Voor vloeistoffen die worden vervoerd onder omgevingscondities kan men α berekenen door middel van de formule:

4.2.1.9.4

waarin d15 en d50 de dichtheden van de vloeistof bij respectievelijk 15 oC en 50 oC zijn.

 

4.2.1.9.4.1

Voor de maximale gemiddelde temperatuur van de lading (tr) moet 50 oC worden genomen, behalve dat, voor trajecten met gematigde of extreme klimatologische condities, de betrokken bevoegde autoriteiten kunnen instemmen met een lagere temperatuur of een hogere temperatuur kunnen eisen, al naar gelang aan de orde is.

 

4.2.1.9.5

De voorschriften van 4.2.1.9.2 tot en met 4.2.1.9.4.1 zijn niet van toepassing op transporttanks die stoffen bevatten waarvan de temperatuur tijdens vervoer op een waarde van meer dan 50 oC wordt gehouden (bijv. door middel van een verwarmingsvoorziening).

Voor transporttanks die zijn voorzien van een verwarmingsvoorziening moet een temperatuurregelaar worden gebruikt, om ervoor te zorgen dat de maximale vullingsgraad te allen tijde tijdens vervoer ten hoogste 95% is. 

 

4.2.1.9.5.1

De maximale vullingsgraad (in %) voor vaste stoffen die bij temperaturen boven hun smeltpunt worden vervoerd en voor verwarmde vloeistoffen moet worden vastgesteld met de volgende formule:

4.2.1.9.5.1

waarin df en dr de dichtheden van de vloeistof respectievelijk bij de gemiddelde temperatuur van de vloeistof tijdens het vullen en bij de maximale gemiddelde temperatuur van de lading tijdens vervoer zijn.

 

4.2.1.9.6

Transporttanks mogen niet ten vervoer worden aangeboden:

  1. met een vullingsgraad, voor vloeistoffen met een viscositeit van minder dan 2680 mm2/s bij 20 oC of bij de maximumtemperatuur van de stof tijdens vervoer in het geval van de verwarmde stof, van meer dan 20% maar minder dan 80%, tenzij de tanks van transporttanks door middel van scheidingswanden of slingerschotten in secties met een inhoud van ten hoogste 7500 liter zijn verdeeld;
  2. met resten van eerder vervoerde goederen, gehecht aan de buitenkant van de tank of de bedrijfsuitrusting;
  3. wanneer zij lekken of dermate beschadigd zijn dat de goede staat van de transporttank of zijn hef- of bevestigingsvoorzieningen kunnen zijn aangetast; en
  4. tenzij de bedrijfsuitrusting is gecontroleerd en in goede bedrijfsklare staat is bevonden.

 

4.2.1.9.7

Lepelsleuven van transporttanks moeten zijn afgesloten wanneer de tank gevuld is. Deze bepaling is niet van toepassing op transporttanks die volgens 6.7.2.17.4 niet van middelen voor het afsluiten van de lepelsleuven behoeven te zijn voorzien.

 

4.2.1.10

Aanvullende voorschriften die van toepassing zijn op het vervoer van klasse 3 stoffen in transporttanks

4.2.1.10.1

Alle transporttanks die bestemd zijn voor het vervoer van brandbare vloeistoffen, moeten gesloten zijn en voorzien zijn van drukontlastingsinrichtingen overeenkomstig 6.7.2.8 tot en met 6.7.2.15.

 

4.2.1.10.1.1

Voor transporttanks die alleen bestemd zijn voor gebruik op het land, mogen open ontluchtingsinrichtingen worden gebruikt, voor zover deze volgens hoofdstuk 4.3 zijn toegelaten.

 

4.2.1.11

Aanvullende voorschriften die van toepassing zijn op het vervoer van stoffen van klassen 4.1, 4.2 of 4.3 (met uitzondering van zelfontledende stoffen van klasse 4.1) in transporttanks

Gereserveerd

Opmerking: Voor zelfontledende stoffen van klasse 4.1, zie 4.2.1.13.1.

 

4.2.1.12

Aanvullende voorschriften die van toepassing zijn op het vervoer van stoffen van klasse 5.1 in transporttanks

Gereserveerd

 

4.2.1.13

Aanvullende voorschriften die van toepassing zijn op het vervoer van stoffen van klasse 5.2 en zelfontledende stoffen van klasse 4.1 in transporttanks

4.2.1.13.1

Elke stof moet beproefd zijn, en er moet een rapport ter goedkeuring bij de bevoegde autoriteit van het land van oorsprong zijn ingediend. Hiervan moet mededeling worden gedaan aan de bevoegde autoriteit van het land van bestemming. De mededeling moet relevante vervoersinformatie bevatten, alsmede het rapport met beproevingsresultaten.

De uitgevoerde beproevingen moeten beproevingen omvatten die nodig zijn voor het:

  1. aantonen van compatibiliteit van alle materialen die normalerwijze tijdens vervoer met de stof in contact komen;
  2. het verschaffen van gegevens voor het ontwerp van de normale drukontlastingsinrichtingen en de drukontlastingsinrichtingen voor noodgevallen, met inachtneming van de ontwerpkenmerken van de transporttank.

Eventuele bijzondere eisen in verband met het veilige vervoer van de stof moeten duidelijk in het rapport zijn beschreven.

 

4.2.1.13.2

De volgende voorschriften zijn van toepassing op transporttanks die bestemd zijn voor het vervoer van organische peroxiden van type F of zelfontledende stoffen van type F met een temperatuur van zichzelf versnellende ontleding (SADT) van 55 oC of meer.

In geval van strijdigheid prevaleren deze voorschriften boven die welke zijn vermeld in sectie 6.7.2. In aanmerking te nemen noodgevallen zijn zichzelf versnellende ontleding van de stof en aanwezigheid in een brandhaard, zoals beschreven in 4.2.1.13.8.

 

4.2.1.13.3

De extra voorschriften voor vervoer van organische peroxiden of zelfontledende stoffen met een SADT van minder dan 55 oC in transporttanks moeten door de bevoegde autoriteit van het land van oorsprong worden aangegeven.

Hiervan moet mededeling worden gedaan aan de bevoegde autoriteit van het land van bestemming.

 

4.2.1.13.4

De transporttank moet worden ontworpen voor een beproevingsdruk van ten minste 0,4 MPa (4 bar).

 

4.2.1.13.5

Transporttanks moeten zijn voorzien van temperatuurindicatoren.

 

4.2.1.13.6

Transporttanks moeten zijn voorzien van normale drukontlastingsvoorzieningen en drukontlastingsinrichtingen voor noodgevallen. Ook kan gebruik worden gemaakt van vacuümkleppen.

Drukontlastingsinrichtingen moeten werken bij drukken die worden vastgesteld overeenkomstig zowel de eigenschappen van het peroxide als de constructiekenmerken van de transporttank. Smeltveiligheden zijn in het reservoir niet toegestaan.

 

4.2.1.13.7

De drukontlastingsinrichtingen moeten bestaan uit veerbelaste kleppen die zijn aangebracht om een wezenlijke drukopbouw van de ontledingsproducten en dampen die bij een temperatuur van 50 oC vrijkomen, in de transporttank te verhinderen.

De afblaascapaciteit en de druk waarbij de ontlastingskleppen open gaan, moeten gebaseerd zijn op de resultaten van de beproevingen die zijn aangegeven in 4.2.1.13.1. De druk waarbij de ontlastingskleppen opengaan mag echter in geen geval zodanig zijn dat er vloeistof via de klep(pen) zou ontsnappen indien de transporttank zou kantelen.

 

4.2.1.13.8

De drukontlastingsinrichtingen voor noodgevallen mogen van het veerbelaste type of van het type met breekplaat zijn, of een combinatie hiervan, en zijn bestemd voor het afblazen van alle ontledingsproducten en dampen die zich gedurende ten minste één uur aanwezigheid in een brandhaard ontwikkelen, zoals berekend met de volgende formule:

4.2.1.13.8

waarin:
q = warmte-absorptie [W]
A = bevochtigd oppervlak [m2]
F = isolatiefactor [-]
F = 1 voor niet-geïsoleerde reservoirs, of

4.2.1.13.8 2

waarin:
K = warmtegeleidend vermogen van de isolatielaag (W.m-1 .K-1)
L = dikte van de isolatielaag (m)
U = K/L = warmtegeleidingscoëfficiënt van de isolatie (W.m-2 .K-1)
T = temperatuur van het peroxide bij ontlastingscondities (K)

De druk waarbij de drukontlasting(en) voor noodgevallen opengaan, moet hoger zijn dan de in 4.2.1.13.7 aangegeven druk en gebaseerd zijn op de resultaten van de beproevingen genoemd in 4.2.1.13.1.

De drukontlastingsinrichtingen voor noodgevallen moeten zodanig zijn gedimensioneerd dat de maximale druk in de tank nooit de beproevingsdruk van de tank overschrijdt.

Opmerking: Een voorbeeld van een methode voor het bepalen van de omvang van drukontlastingsinrichtingen voor noodgevallen staat vermeld in bijlage 5 van het Handboek beproevingen en criteria.

 

4.2.1.13.9

Voor geïsoleerde transporttanks moeten de capaciteit en de instelling van de drukontlastingsinrichting(en) voor noodgevallen worden vastgesteld op basis van een aangenomen isolatieverlies vanaf 1% van het oppervlak.

 

4.2.1.13.10

Vacuümkleppen en veerbelaste kleppen moeten worden voorzien van beschermende voorzieningen tegen vlaminslag. Met de vermindering van de ontlastingscapaciteit door de bescherming tegen vlaminslag moet rekening worden gehouden.

 

4.2.1.13.11

Bedrijfsuitrusting zoals kleppen en uitwendige pijpsystemen moet zodanig zijn aangebracht dat er na het vullen van de transporttank geen stof in achterblijft.

 

4.2.1.13.12

Transporttanks kunnen ofwel geïsoleerd zijn, ofwel beschermd door middel van een zonneschild. Indien de SADT van de stof in de transporttank 55 oC of minder is, of de transporttank is gemaakt van aluminium, moet de transporttank volledig geïsoleerd zijn. Het buitenoppervlak moet wit of helder metaalkleurig zijn afgewerkt.

 

4.2.1.13.13

De vullingsgraad mag niet hoger zijn dan 90% bij 15 oC.

 

4.2.1.13.14

Het kenmerk zoals vereist in 6.7.2.20.2 moet het UN-nummer en de technische benaming omvatten, alsmede de toegelaten concentratie van de betrokken stof.

 

4.2.1.13.15

Organische peroxiden en zelfontledende stoffen die specifiek zijn opgenomen in transporttank-instructie T23 in 4.2.5.2.6 mogen in transporttanks worden vervoerd.

 

4.2.1.14

Aanvullende voorschriften die van toepassing zijn op het vervoer van stoffen van klasse 6.1 in transporttanks

Gereserveerd

 

4.2.1.15

Aanvullende voorschriften die van toepassing zijn op het vervoer van stoffen van klasse 6.2 in transporttanks

Gereserveerd

 

4.2.1.16

Aanvullende voorschriften die van toepassing zijn op het vervoer van stoffen van klasse 7 in transporttanks

4.2.1.16.1

Transporttanks die worden gebruikt voor het vervoer van radioactieve stoffen mogen niet worden gebruikt voor het vervoer van andere goederen.

 

4.2.1.16.2

De vullingsgraad voor transporttanks mag niet hoger zijn dan 90% of, in plaats daarvan, een andere waarde die is goedgekeurd door de bevoegde autoriteit.

 

4.2.1.17

Aanvullende voorschriften die van toepassing zijn op het vervoer van stoffen van klasse 8 in transporttanks

4.2.1.17.1

Drukontlastingsinrichtingen van transporttanks die worden gebruikt voor het vervoer van stoffen van klasse 8 moeten met tussenpozen van ten hoogste één jaar worden geïnspecteerd.

 

4.2.1.18

Aanvullende voorschriften die van toepassing zijn op het vervoer van stoffen van klasse 9 in transporttank

Gereserveerd

 

4.2.1.19

Aanvullende voorschriften die van toepassing zijn op het vervoer van vaste stoffen die worden vervoerd bij temperaturen boven hun smeltpunt.

4.2.1.19.1

Vaste stoffen die worden vervoerd of ten vervoer worden aangeboden bij temperaturen boven hun smeltpunt en waaraan in kolom (10) van tabel A van hoofdstuk 3.2 geen transporttank-instructie is toegewezen, of waarbij de toegewezen transporttank-instructie niet van toepassing is op vervoer bij temperaturen boven hun smeltpunt, mogen in transporttanks worden vervoerd, onder voorwaarde dat de vaste stoffen zijn ingedeeld in de klassen 4.1, 4.2, 4.3, 5.1, 6.1, 8 of 9 en geen bijkomend gevaar bezitten, uitgezonderd dat van klasse 6.1 of klasse 8, en in verpakkingsgroep II of III zijn ingedeeld

 

4.2.1.19.2

Tenzij anders aangegeven in tabel A van hoofdstuk 3.2, moeten transporttanks, gebruikt voor het vervoer van deze vaste stoffen bij temperaturen boven hun smeltpunt, voldoen aan de voorschriften van de transporttank-instructie T4 voor wat betreft vaste stoffen van verpakkingsgroep III of T7 voor wat betreft vaste stoffen van verpakkingsgroep II.

Een transporttank die een gelijkwaardige of grotere mate van veiligheid oplevert, mag worden gekozen overeenkomstig 4.2.5.2.5. De maximale vullingsgraad (in %) moet worden vastgesteld in overeenstemming met 4.2.1.9.5 (TP3).

 

4.2.2

Algemene voorschriften voor het gebruik van transporttanks voor het vervoer van niet sterk gekoelde, vloeibaar gemaakte gassen en chemische stoffen onder druk

4.2.2.1

Deze sectie verschaft algemene voorschriften die van toepassing zijn op het gebruik van transporttanks voor het vervoer van niet sterk gekoelde, vloeibaar gemaakte gassen en chemische stoffen onder druk.

 

4.2.2.2

Transporttanks moeten voldoen aan de voorschriften betreffende ontwerp, constructie, inspectie en beproeving die zijn aangegeven in 6.7.3. Niet sterk gekoelde, vloeibaar gemaakte gassen en chemische stoffen onder druk moeten worden vervoerd in transporttanks volgens transporttank-instructie T50, zoals beschreven in 4.2.5.2.6 en eventuele bijzondere bepalingen voor transporttanks toegekend aan specifieke niet sterk gekoelde, vloeibaar gemaakte gassen in kolom (11) van tabel A van hoofdstuk 3.2 en beschreven in 4.2.5.3.

 

4.2.2.3

Tijdens vervoer moeten transporttanks voldoende worden beschermd tegen beschadiging van het reservoir en de bedrijfsuitrusting door stoten in zijdelingse richting en in lengterichting en door kantelen.

Indien het reservoir en de bedrijfsuitrusting zo zijn geconstrueerd dat zij bestand zijn tegen stoten of kantelen, behoeft de transporttank niet op deze wijze beschermd te zijn.

Voorbeelden van een dergelijke bescherming zijn vermeld in 6.7.3.13.5.

 

4.2.2.4

Bepaalde niet sterk gekoelde, vloeibaar gemaakte gassen zijn chemisch instabiel. Zij worden alleen ten vervoer toegelaten wanneer de noodzakelijke maatregelen zijn genomen om de gevaarlijke ontleding, transformatie of polymerisatie ervan tijdens vervoer te verhinderen.

Hiertoe moet er in het bijzonder voor worden gezorgd dat transporttanks geen niet sterk gekoelde, vloeibaar gemaakte gassen bevatten die deze reacties kunnen bevorderen.

 

4.2.2.5

Tenzij de benaming van de te vervoeren gevaarlijke stoffen op de in 6.7.3.16.2 beschreven metalen plaat is aangegeven, moet een kopie van het in 6.7.3.14.1 genoemde certificaat op verzoek van een bevoegde autoriteit beschikbaar worden gesteld en onverwijld worden verschaft door de afzender, de geadresseerde of een vertegenwoordiger, al naar gelang aan de orde is.

 

4.2.2.6

Lege transporttanks die niet zijn gereinigd en niet gasvrij zijn, moeten aan dezelfde voorschriften voldoen als transporttanks die zijn gevuld met het voorgaande, niet sterk gekoelde, vloeibaar gemaakte gas.

 

4.2.2.7

Het vullen

4.2.2.7.1

Voorafgaande aan het vullen moet de transporttank worden geïnspecteerd om te waarborgen dat hij voor het niet sterk gekoelde, vloeibaar gemaakte gas of de voortdrijvende stof van de chemische stof onder druk is toegelaten en dat de transporttank niet wordt gevuld met niet sterk gekoelde, vloeibaar gemaakte gassen of met chemische stoffen onder druk die in contact met de materialen van de tank, de pakkingen, de bedrijfsuitrusting en de eventuele beschermende bekledingen gevaarlijk kunnen reageren onder vorming van gevaarlijke producten of onder aanzienlijke verzwakking van het materiaal.

Tijdens het vullen moet de temperatuur van het niet sterk gekoelde, vloeibaar gemaakte gas of de voortdrijvende stof van chemische stoffen onder druk binnen de grenswaarden van het ontwerptemperatuurbereik liggen.

 

4.2.2.7.2

De maximale massa van niet sterk gekoeld, vloeibaar gemaakt gas per liter inhoud van het reservoir (kg/l) mag niet meer zijn dan de dichtheid van het niet sterk gekoelde, vloeibaar gemaakte gas bij 50 oC vermenigvuldigd met 0,95.

Verder mag het reservoir bij 60 oC niet vol met vloeistof zijn.

 

4.2.2.7.3

Transporttanks mogen niet boven hun grootste toelaatbare bruto massa en de voor elk te vervoeren gas genoemde grootste toelaatbare massa van de lading worden gevuld.

 

4.2.2.8

Transporttanks mogen niet ten vervoer worden aangeboden:

  1. bij een vulling waardoor schommelen van de stof in de transporttank waarschijnlijk een ontoelaatbare hydraulische kracht veroorzaakt ;
  2. wanneer zij lekken;
  3. wanneer zij in zulk een mate beschadigd zijn dat de goede staat van de transporttank of zijn hef- of bevestigingsvoorzieningen kunnen zijn aangetast; en
  4. tenzij de bedrijfsuitrusting is gecontroleerd en in goede bedrijfsklare staat is bevonden.

 

4.2.2.9

Lepelsleuven van transporttanks moeten zijn afgesloten wanneer de tank gevuld is.

Deze bepaling is niet van toepassing op transporttanks die volgens 6.7.3.13.4 niet van middelen voor het afsluiten van de lepelsleuven behoeven te zijn voorzien.

 

4.2.3

Algemene voorschriften voor het gebruik van transporttanks voor het vervoer van sterk gekoelde, vloeibaar gemaakte gassen

4.2.3.1

Deze sectie verschaft algemene voorschriften die van toepassing zijn op het gebruik van transporttanks voor het vervoer van sterk gekoelde, vloeibaar gemaakte gassen.

 

4.2.3.2

Transporttanks moeten voldoen aan de voorschriften betreffende ontwerp, constructie, inspectie en beproeving die zijn aangegeven in 6.7.4.

Sterk gekoelde, vloeibaar gemaakte gassen moeten worden vervoerd in transporttanks volgens transporttank-instructie T75, zoals beschreven in 4.2.5.2.6 en de bijzondere bepalingen voor transporttanks toegekend aan specifieke sterk gekoelde, vloeibare gassen in kolom (11) van tabel A van hoofdstuk 3.2 en beschreven in 4.2.5.3.

 

4.2.3.3

Tijdens vervoer moeten transporttanks voldoende worden beschermd tegen beschadiging van het reservoir en de bedrijfsuitrusting door stoten in zijdelingse richting en in lengterichting en door kantelen.

Indien het reservoir en de bedrijfsuitrusting zo zijn geconstrueerd dat zij bestand zijn tegen stoten of kantelen, behoeven de transporttanks niet op deze wijze beschermd te zijn.

Voorbeelden van een dergelijke bescherming worden gegeven in 6.7.4.12.5.

 

4.2.3.4

Tenzij de benaming van de te vervoeren gevaarlijke stof(fen) op de in 6.7.4.15.2 beschreven metalen plaat is aangegeven, moet een kopie van het in 6.7.4.13.1 genoemde certificaat op verzoek van een bevoegde autoriteit beschikbaar worden gesteld en onverwijld worden verschaft door de afzender, de geadresseerde of een vertegenwoordiger, al naar gelang aan de orde is.

 

4.2.3.5

Lege transporttanks die niet zijn gereinigd en niet gasvrij zijn, moeten aan dezelfde voorschriften voldoen als transporttanks die met de voorgaande stof zijn gevuld.

 

4.2.3.6

Het vullen

4.2.3.6.1

Voorafgaande aan het vullen moet de transporttank worden geïnspecteerd om te waarborgen dat hij voor het sterk gekoelde, vloeibaar gemaakte gas is toegelaten en dat de transporttank niet wordt gevuld met sterk gekoelde, vloeibaar gemaakte gassen die in contact met de materialen van het reservoir, de pakkingen, de bedrijfsuitrusting en de eventuele beschermende bekledingen gevaarlijk kunnen reageren onder vorming van gevaarlijke producten of onder aanzienlijke verzwakking van het materiaal.

Tijdens het vullen moet de temperatuur van het sterk gekoelde, vloeibaar gemaakte gas binnen de grenswaarden van het ontwerptemperatuurbereik liggen.

 

4.2.3.6.2

Bij het bepalen van de initiële hoeveelheid gas waarmee de tank wordt gevuld, moet rekening worden gehouden met de noodzakelijke verblijftijd voor het bedoelde traject, met inbegrip van eventueel optredende vertragingen.

De initiële hoeveelheid gas waarmee de tank wordt gevuld, behalve zoals voorzien in 4.2.3.6.3 en 4.2.3.6.4, moet zodanig zijn dat indien de inhoud, behalve helium, op een temperatuur gebracht zou worden waarbij de dampdruk gelijk is aan de hoogst toelaatbare bedrijfsdruk (MAWP), het door vloeistof ingenomen volume niet meer zou zijn dan 98%.

 

4.2.3.6.3

Tanks bestemd voor het vervoer van helium mogen worden gevuld tot, maar niet boven de inlaatopening van de drukontlastingsinrichting

 

4.2.3.6.4

Er kan een hogere initiële hoeveelheid gas waarmee de tank wordt gevuld worden toegestaan, mits goedgekeurd door de bevoegde autoriteit, wanneer de voorziene vervoersduur aanzienlijk korter is dan de verblijftijd.

 

4.2.3.7

Werkelijke verblijftijd

4.2.3.7.1

De werkelijke verblijftijd moet voor elk traject worden berekend volgens een procedure die door de bevoegde autoriteit wordt erkend, rekening houdende met:

  1. de referentie-verblijftijd voor het te vervoeren sterk gekoelde, vloeibaar gemaakte gas (zie 6.7.4.2.8.1) (zoals aangegeven op de plaat die wordt genoemd in 6.7.4.15.1);
  2. de werkelijke vuldichtheid;
  3. de werkelijke vuldruk;
  4. de laagste ingestelde druk van de drukbegrenzende voorziening(en).

Van de berekening van de werkelijke verblijftijd mag worden afgezien wanneer het gehele traject uitsluitend over de weg plaatsvindt, zonder overslag op een ander voertuig en zonder tijdelijke tussenopslag. Wanneer wordt afgezien van de berekening van de werkelijke verblijftijd, zijn de voorschriften van 4.2.3.7.2, 4.2.3.7.3 en 4.2.3.8, onder e) en f) niet van toepassing.

 

4.2.3.7.2

De werkelijke verblijftijd moet op de transporttank zelf worden vermeld of op een metalen plaat die stevig op de transporttank is aangebracht, overeenkomstig 6.7.4.15.2.

 

4.2.3.7.3

De datum waarop de werkelijke verblijftijd eindigt moet worden vermeld op het transportdocument (zie 5.4.1.2.2(d)).

 

4.2.3.8

Transporttanks mogen niet ten vervoer worden aangeboden:

  1. bij een vulling waardoor schommelen van de stof in de transporttank waarschijnlijk een ontoelaatbare hydraulische kracht veroorzaakt ;
  2. wanneer zij lekken;
  3. wanneer zij in zulk een mate beschadigd zijn dat de goede staat van de transporttank of zijn hef- of bevestigingsvoorzieningen kunnen zijn aangetast; en
  4. tenzij de bedrijfsuitrusting is gecontroleerd en in goede bedrijfsklare staat is bevonden.
  5. tenzij de werkelijke verblijftijd voor het te vervoeren sterk gekoelde, vloeibaar gemaakt gas is vastgesteld volgens 4.2.3.7 en de transporttank wordt gemerkt volgens 6.7.4.15.2; en
  6. tenzij de duur van het vervoer, rekening houdende met eventuele vertragingen die zouden kunnen optreden, niet meer bedraagt dan de werkelijke verblijftijd.

 

4.2.3.9

Lepelsleuven van transporttanks moeten zijn afgesloten wanneer de tank gevuld is. Deze bepaling is niet van toepassing op transporttanks die volgens 6.7.4.12.4, al naar gelang de situatie, niet van middelen voor het afsluiten van de lepelsleuven behoeven te zijn voorzien.

 

4.2.4

Algemene voorschriften voor het gebruik van UN-gascontainers met meerdere elementen (MEGC's)

4.2.4.1

Deze sectie verschaft algemene voorschriften die van toepassing zijn op het gebruik van de in 6.7.5 vermelde gascontainers met meerdere elementen (MEGC's) voor het vervoer van niet sterk gekoelde gassen.

 

4.2.4.2

MEGC's moeten voldoen aan de ontwerp-, constructie-, onderzoeks- en beproevingsvoorschriften, die gedetailleerd beschreven zijn in 6.7.5. De elementen van MEGC's moeten periodiek worden geïnspecteerd overeenkomstig de in verpakkingsinstructie P200 van 4.1.4.1 en in 6.2.1.6 vermelde voorschriften.

 

4.2.4.3

Tijdens het vervoer moeten MEGC's worden beschermd tegen beschadiging van de elementen en de bedrijfsuitrusting door stoten in zijdelingse richting en in lengterichting en door kantelen.

Indien de elementen en de bedrijfsuitrusting zo zijn geconstrueerd dat zij bestand zijn tegen stoten of kantelen, behoeven zij niet op deze wijze beschermd te zijn.

Voorbeelden van een dergelijke bescherming zijn vermeld in 6.7.5.10.4.

 

4.2.4.4

De voorschriften voor periodieke beproeving en inspectie van MEGC's worden gespecificeerd in 6.7.5.12. MEGC's of hun elementen mogen niet worden geladen of gevuld nadat de termijn voor het periodiek onderzoek vervallen is, maar mogen na het verstrijken van de termijn wel vervoerd worden.

 

4.2.4.5

Het vullen

4.2.4.5.1

Voorafgaand aan het vullen moet de MEGC worden geïnspecteerd om te waarborgen dat deze voor het te vervoeren gas is toegelaten en dat aan de van toepassing zijnde voorschriften van het ADR is voldaan.

 

4.2.4.5.2

Elementen van MEGC's moeten gevuld worden in overeenstemming met de bedrijfsdrukken, vullingsgraden en vulvoorschriften, gespecificeerd in verpakkingsinstructie  P200 van 4.1.4.1 voor het specifieke gas waarmee elk element gevuld wordt.

In geen geval mag een MEGC of groep van elementen als een eenheid worden gevuld boven de laagste bedrijfsdruk van een bepaald element.

 

4.2.4.5.3

MEGC's mogen niet worden gevuld boven hun grootste toelaatbare bruto massa.

 

4.2.4.5.4

Scheidingsventielen moeten na het vullen gesloten worden en tijdens vervoer gesloten blijven. Giftige gassen (gassen van de groepen T, TF, TC, TO, TFC en TOC) mogen alleen in MEGC's vervoerd worden wanneer elk element van een scheidingsventiel voorzien is.

 

4.2.4.5.5

De vulopening(en) moet(en) worden afgesloten door middel van een dop(pen) of stop(pen). De gasdichtheid van de sluitingen en uitrusting moet na het vullen door de vuller gecontroleerd worden.

 

4.2.4.5.6

MEGC's mogen niet ter vulling aangeboden worden:

  1. indien zij dermate beschadigd zijn dat de goede staat van de drukhouders of hun constructieve uitrusting of bedrijfsuitrusting aangetast kan zijn;
  2. tenzij de drukhouders en hun constructieve uitrusting en bedrijfsuitrusting onderzocht en geheel bedrijfsklaar bevonden zijn; en
  3. tenzij de vereiste kenmerken voor de certificering, periodieke beproeving en vulling leesbaar zijn.

 

4.2.4.6

Gevulde MEGC's mogen niet ten vervoer aangeboden worden:

  1. indien zij lekken;
  2. indien zij dermate beschadigd zijn dat de goede staat van de drukhouders of hun constructieve uitrusting of bedrijfsuitrusting aangetast kan zijn;
  3. tenzij de drukhouders en hun constructieve uitrusting en bedrijfsuitrusting onderzocht en geheel bedrijfsklaar bevonden zijn; en
  4. tenzij de vereiste kenmerken voor de certificering, periodieke beproeving en vulling leesbaar zijn.

 

4.2.4.7

Lege MEGC's die niet zijn gereinigd moeten voldoen aan dezelfde voorschriften als MEGC's, gevuld met de voorafgaande stof.

 

4.2.5

Instructies en bijzondere bepalingen voor transporttanks

4.2.5.1

Algemeen

4.2.5.1.1

Deze sectie omvat de instructies en bijzondere bepalingen voor transporttanks, die van toepassing zijn op gevaarlijke stoffen waarvan het vervoer in transporttanks is toegestaan.

Elke transporttank-instructie wordt aangegeven met een alfanumerieke aanduiding (bijv. T1).

Kolom (10) van tabel A van hoofdstuk 3.2 geeft de transporttank-instructie aan die gebruikt moet worden voor elke stof waarvan het vervoer in een transporttank is toegestaan.

Als er in kolom (10) voor een specifieke gevaarlijke stof geen transporttank-instructie is aangegeven, dan is het vervoer van de stof in transporttanks niet toegestaan, tenzij goedkeuring is verleend door een bevoegde autoriteit, zoals vermeld in 6.7.1.3. Bijzondere bepalingen voor transporttanks worden toegekend aan specifieke gevaarlijke stoffen in kolom (11) van tabel A van hoofdstuk 3.2.

Elke bijzondere bepaling voor transporttanks wordt aangegeven met een alfanumerieke aanduiding (bijv. TP1). Een lijst van de bijzondere bepalingen voor transporttanks staat vermeld in 4.2.5.3.

Opmerking: De gassen die in MEGC's ten vervoer zijn toegelaten, zijn aangeduid met de letter "(M)" in kolom (10) van tabel A van hoofdstuk 3.2.

 

4.2.5.2

Transporttank-instructies

4.2.5.2.1

Transporttank-instructies zijn van toepassing op gevaarlijke stoffen van de klassen 1 t/m 9. Transporttank-instructies verschaffen specifieke informatie betreffende de voor specifieke stoffen geldende voorschriften voor transporttanks.

Aan deze voorschriften moet worden voldaan naast de algemene voorschriften in dit hoofdstuk en hoofdstuk 6.7 of hoofdstuk 6.9.

 

4.2.5.2.2

Voor stoffen van de klassen 1 en 3 t/m 9, vermelden de transporttank-instructies de minimale beproevingsdruk die van toepassing is, de minimale tankdikte, voorschriften voor openingen aan de onderzijde en drukontlastingsinrichtingen. T23 geeft een lijst van zelfontledende stoffen van klasse 4.1 en organische peroxiden van klasse 5.2, waarvan het vervoer in transporttanks is toegestaan, naast de controle- en kritieke temperaturen die van toepassing zijn.

 

4.2.5.2.3

Niet sterk gekoelde, vloeibaar gemaakte gassen zijn ingedeeld bij transport-tankinstructie T50. T50 geeft de hoogste toelaatbare bedrijfsdrukken, en de voorschriften voor de openingen beneden de vloeistofspiegel, de drukontlasting en de maximale vulverhouding voor niet sterk gekoelde, vloeibaar gemaakte gassen waarvan het vervoer in transporttanks is toegestaan.

 

4.2.5.2.4

Sterk gekoelde, vloeibaar gemaakte gassen zijn ingedeeld bij transporttank-instructie T75.

 

4.2.5.2.5

Bepaling van de juiste transporttank-instructies
Wanneer er in kolom (10) voor een specifieke gevaarlijke stoffenpositie een specifieke transporttank-instructie wordt genoemd, mag ook gebruik gemaakt worden van andere transporttanks die hogere minimale beproevingsdrukken, grotere wanddikten, stringentere voorschriften voor openingen aan de onderzijde en drukontlastingsinrichtingen voorschrijven.

De volgende richtlijnen zijn bedoeld voor het vaststellen van de geschikte transporttanks die gebruikt mogen worden voor het vervoer van bepaalde stoffen:

Vermelde transporttank instructie EVENEENS TOEGESTANE TRANSPORTTANK-INSTRUCTIES
T1 T2, T3, T4, T5, T6, T7, T8, T9, T10, T11, T12, T13, T14, T15, T16, T17, T18, T19, T20, T21, T22
T2 T4, T5, T7, T8, T9, T10, T11, T12, T13, T14, T15, T16, T17, T18, T19, T20, T21, T22
T3 T4, T5, T6, T7, T8, T9, T10, T11, T12, T13, T14, T15, T16, T17, T18, T19, T20, T21, T22
T4 T5, T7, T8, T9, T10, T11, T12, T13, T14, T15, T16, T17, T18, T19, T20, T21, T22
T5 T10, T14, T19, T20, T22
T6 T7, T8, T9, T10, T11, T12, T13, T14, T15, T16, T17, T18, T19, T20, T21, T22
T7 T8, T9, T10, T11, T12, T13, T14, T15, T16, T17, T18, T19, T20, T21, T22
T8 T9, T10, T13, T14, T19, T20, T21, T22
T9 T10, T13, T14, T19, T20, T21, T22
T10 T14, T19, T20, T22
T11 T12, T13, T14, T15, T16, T17, T18, T19, T20, T21, T22
T12 T14, T16, T18, T19, T20, T22
T13 T14, T19, T20, T21, T22
T14 T19, T20, T22
T15 T16, T17, T18, T19, T20, T21, T22
T16 T18, T19, T20, T22
T17 T18, T19, T20, T21, T22
T18 T19, T20, T22
T19 T20, T22
T20 T22
T21 T22
T22 Geen
T23 Geen

4.2.5.2.6

Transporttank-instructies
Transporttankinstructies T1 t/m T22 specificeren de minimale beproevingsdruk die van toepassing is, de minimale wanddikte van het reservoir (in mm referentiestaal) of de minimale dikte van transporttanks van vezelgewapende kunststof (FRP), alsmede de voorschriften voor drukontlasting en openingen aan de onderzijde.

T01-T22
T1 - T22                                      TRANSPORTTANK-INSTRUCTIES                                  T1 -T22
Deze  transporttank-instructies zijn van toepassing op  vloeibare en vaste stoffen van klasse 1 en de klassen 3  t/m  9.  Er  moet  voldaan  worden  aan de  algemene  voorschriften van  sectie  4.2.1  en de voorschriften van sectie 6.7.2. De instructies voor transporttanks met FRP wanden zijn van toepassing op stoffen van de klassen 1, 3, 5.1, 6.1, 6.2, 8 en 9. Daarnaast zijn de voorschriften van hoofdstuk 6.9 van
toepassing op transporttanks met FRP wanden.
Transporttank- instructie Minimale beproevings-
druk (bar)
Minimale
tankdikte (in mm referentiestaal) voor metalen
reservoirs
(zie 6.7.2.4)
Drukontlastings- inrichtingen a
(zie 6.7.2.8)
Bodem- openingen (zie 6.7.2.6) b
T1 1,5 Zie 6.7.2.4.2 Normaal Zie 6.7.2.6.2
T2 1,5 Zie 6.7.2.4.2
Normaal Zie 6.7.2.6.3
T3 2,65 Zie 6.7.2.4.2
Normaal Zie 6.7.2.6.2
T4 2,65 Zie 6.7.2.4.2
Normaal Zie 6.7.2.6.3
T5 2,65 Zie 6.7.2.4.2
Zie 6.7.2.8.3 Niet toegestaan
T6 4 Zie 6.7.2.4.2
Normaal Zie 6.7.2.6.2
T7 4 Zie 6.7.2.4.2
Normaal Zie 6.7.2.6.3
T8 4 Zie 6.7.2.4.2
Normaal Niet toegestaan
T9 4 6 mm Normaal Niet toegestaan
T10 4 6 mm Zie 6.7.2.8.3
Niet toegestaan
T11 6 Zie 6.7.2.4.2
Normaal Zie 6.7.2.6.3
T12 6 Zie 6.7.2.4.2
Zie 6.7.2.8.3
Zie 6.7.2.6.3
T13 6 6 mm Normaal Niet toegestaan
T14 6 6 mm Zie 6.7.2.8.3
Niet toegestaan
T15 10 Zie 6.7.2.4.2
Normaal Zie 6.7.2.6.3
T16 10 Zie 6.7.2.4.2
Zie 6.7.2.8.3
Zie 6.7.2.6.3
T17 10 6 mm Normaal Zie 6.7.2.6.3
T18 10 6mm Zie 6.7.2.8.3
Zie 6.7.2.6.3
T19 10 6 mm Zie 6.7.2.8.3
Niet toegestaan
T20 10 8 mm Zie 6.7.2.8.3
Niet toegestaan
T21 10 10 mm Normaal Niet toegestaan
T22 10 10 mm Zie 6.7.2.8.3
Niet toegestaan

 

a Indien het woord "Normaal" is aangegeven, zijn alle voorschriften van 6.7.2.8 van toepassing, uitgezonderd 6.7.2.8.3.

b Indien in deze kolom is aangegeven “Niet toegestaan”, dan zijn openingen aan de onderzijde niet toegestaan indien de te vervoeren stof een vloeistof is (zie 6.7.2.6.1). Indien de te vervoeren stof een vaste stof is bij alle temperaturen die onder normale vervoersomstandigheden optreden, dan zijn openingen aan de onderzijde overeenkomstig de voorschriften van 6.7.2.6.2 toegestaan.


T-23

4.2.5.2.6 : Transportinstructie T23

T23                                           TRANSPORTTANK-INSTRUCTIE                                                            T23

Deze transporttank-instructie is van toepassing op zelfontledende stoffen van klasse 4.1 en organische peroxiden van klasse 5.2. Aan de algemene voorschriften van sectie 4.2.1 en de voorschriften van sectie 6.7.2 moet worden voldaan.

Ook moet worden voldaan aan de voorschriften die specifiek zijn voor zelfontledende stoffen van klasse 4.1 en organische peroxiden van klasse 5.2 in 4.2.1.13.

De formuleringen niet opgenomen in 2.2.41.4 of in 2.2.52.4 maar hieronder kunnen ook worden vervoerd indien bij de
verpakking verpakkingsmethode OP8 van verpakkingsinstructie P 520 in 4.1.4.1 is toegepast, met dezelfde controle- en kritieke temperaturen, voor zover van toepassing.

UN
nr.
Stof Minimale beproevings- druk (bar) Minimale tankdikte (in mm referen- tiestaal) Bodem- openingen Drukontlastings- Inrichtingen Vullings-graad Controle- temp. Kritieke temp.
3109 ORGANISCH PEROXIDE, TYPE F, VLOEIBAAR

tert-Butylhydroperoxidea , ten hoogste 72% met water

Cumylhydroperoxide, ten hoogste 90% in verdunningsmiddel type A

Di-tert-butylperoxide, ten hoogste 32% in verdunningsmiddel type A

Isopropylcumyl-hydroperoxide, ten hoogste 72% in verdunningsmiddel type A

p-Menthylhydro- peroxide, ten hoogste 72% in verdunningsmiddel type A

Pinanylhydro-
peroxide, ten hoogste 50% in verdunningsmiddel type A
4 Zie 6.7.2.4.2
Zie
6.7.2.6.3
Zie
6.7.2.8.2
4.2.1.13.6
4.2.1.13.7
4.2.1.13.8
Zie
4.2.1.13.13
   
3110 ORGANISCH PEROXIDE, TYPE F, VASTE STOF

Dicumylperoxideb
4 Zie 6.7.2.4.2
Zie
6.7.2.6.3
Zie
6.7.2.8.2
4.2.1.13.6
4.2.1.13.7
4.2.1.13.8
Zie 
4.2.1.13.13
   
3119 ORGANISCH PEROXIDE, TYPE F, VLOEISTOF, MET TEMPERATUUR- BEHEERSING 4 Zie 6.7.2.4.2
Zie
6.7.2.6.3
Zie
6.7.2.8.2
4.2.1.13.6
4.2.1.13.7
4.2.1.13.8
Zie 
4.2.1.13.13
c c
  tert-Amylperoxy- neodecanoaat, ten hoogste 47 % in verdunningsmiddel type A           - 10 °C - 5 °C
  tert-Butylperoxyacetaat, ten hoogste 32% in verdunnings-middel type B           +30 oC +35 oC
  tert-Butylperoxy-2- ethylhexanoaat, ten hoogste
32% in verdunningsmiddel type B
          +15 oC +20 oC
  tert-Butylperoxypivalaat, ten hoogste 27% in verdunningsmiddel type B           +5 oC +10 oC
  tert-Butylperoxy-3,5,5- trimethylhexanoaat, ten hoogste 32% in verdunningsmiddel type B           +35 oC +40 oC
  Di-(3,5,5-trimethylhexanoyl)- peroxide, ten hoogste 38% in verdunningsmiddel type A of type B           0 oC +5 oC
  Peroxyazijnzuur,gedestil- leerd, type F, gestabiliseerd d           +30 oC +35 oC
3120 ORGANISCH PEROXIDE, TYPE F, VASTE STOF, MET TEMPERATUUR-BEHEERSING 4 Zie
6.7.2.4.2
Zie
6.7.2.6.3
Zie
6.7.2.8.2
4.2.1.13.6
4.2.1.13.7
4.2.1.13.8
Zie
4.2.1.13.13
c c
3229 ZELFONTLEDENDE VLOEISTOF, TYPE F 4 Zie 6.7.2.4.2
Zie
6.7.2.6.3
Zie
6.7.2.8.2
4.2.1.13.6
4.2.1.13.7
4.2.1.13.8
Zie
4.2.1.13.13
   
3230 ZELFONTLEDENDE VASTE STOF, TYPE F 4 Zie 6.7.2.4.2
Zie
6.7.2.6.3
Zie
6.7.2.8.2
4.2.1.13.6
4.2.1.13.7
4.2.1.13.8
Zie
4.2.1.13.13
   
3239 ZELFONTLEDENDE VLOEISTOF, TYPE F, MET TEMPERATUUR- BEHEERSING 4 Zie 6.7.2.4.2
Zie
6.7.2.6.3
Zie
6.7.2.8.2
4.2.1.13.6
4.2.1.13.7
4.2.1.13.8
Zie
4.2.1.13.13
c c
3240 ZELFONTLEDENDE VASTE STOF, TYPE F, MET TEMPERATUUR- BEHEERSING 4 Zie 6.7.2.4.2
Zie
6.7.2.6.3
Zie
6.7.2.8.2
4.2.1.13.6
4.2.1.13.7
4.2.1.13.8
Zie
4.2.1.13.13
c c

 

a Onder voorwaarde dat maatregelen zijn genomen om het veiligheidsequivalent van 65% tert-butylhydroperoxide en 35% water te verkrijgen.

b Maximale hoeveelheid per transporttank: 2000 kg.

c Zoals door de bevoegde autoriteit goedgekeurd.

d Formulering afkomstig van destillatie van peroxyazijnzuur, afkomstig van peroxyazijnzuur in een concentratie van ten hoogste 41% met water, totaal gehalte actieve zuurstof (Peroxyazijnzuur + H2O2) ≤ 9,5%, die voldoet aan de criteria van het Handboek beproevingen en criteria, paragraaf 20.4.3 (f). Etiket voor bijkomend gevaar "BIJTEND" vereist (model nr. 8, zie 5.2.2.2.2).


T-50

4.2.5.2.6 - Transportinstructie - T50

TRANSPORTTANK-INSTRUCTIE

T50

Deze transporttank-instructie is van toepassing op niet sterk gekoelde, vloeibaar gemaakte gassen  en  chemische  stoffen  onder  druk  (UN-nummers 3500, 3501, 3502, 3503, 3504  en 3505). Aan de algemene voorschriften van sectie 4.2.2 en de voorschriften van sectie 6.7.3
moet worden voldaan.
UN
Nr.
Niet sterk gekoelde, vloeibaar gemaakte gassen Max. toege-stane bedrijfsdruk (bar)

Klein;
Zonder zonneschild of isolatie;
Zonneschild; Geïsoleerd a
Openingen beneden de vloeistof- spiegel Druk ontlastings-
inricht. b (zie 6.7.3.7)
Maximale vullings-graad
1005 Ammoniak, watervrij 29,0
25,7
22,0
19,7
Toegestaan Zie 6.7.3.7.3 0,53
1009 Broomtrifluormethaan
(Koelgas R 13B1)
38,0
34,0
30,0
27,5
Toegestaan Normaal 1,13
1010 Mengsel van butadienen
en koolwaterstof,
gestabiliseerd
Zie definitie van MAWP in 6.7.3.1 Toegestaan Normaal Zie 4.2.2.7
1010 Butadienen,
gestabiliseerd
7,5
7,0
7,0
7,0
Toegestaan Normaal 0,55
1011 Butaan 7,0
7,0
7,0
7,0
Toegestaan Normaal 0,51
1012 Buteen 8,0
7,0
7,0
7,0
Toegestaan Normaal 0,53
1017 Chloor 19,0
17,0
15,0
13,5
Niet toegestaan Zie  6.7.3.7.3 1,25
1018 Chloordifluormethaan
(Koelgas R 22)
26,0
24,0
21,0
19,0
Toegestaan Normaal 1,03
1020 Chloorpentafluorethaan
(Koelgas R 115)
23,0
20,0
18,0
16,0
Toegestaan Normaal 1,06
1021 1-Chloor-1,2,2,2- tetrafluorethaan
(Koelgas R 124)
10,3
9,8
7,9
7,0
Toegestaan Normaal 1,20
1027 Cyclopropaan 18,0
16,0
14,5
13,0
Toegestaan Normaal 0,53
1028 Dichloordifluor-
methaan
(Koelgas R 12)
16,0
15,0
13,0
11,5
Toegestaan Normaal 1,15
1029 Dichloorfluormethaan
(Koelgas R 21)
7,0
7,0
7,0
7,0
Toegestaan Normaal 1,23
1030 1,1-Difluorethaan
(Koelgas R 152a)
16,0
14,0
12,4
11,0
Toegestaan Normaal 0,79
1032 Dimethylamine, watervrij 7,0
7,0
7,0
7,0
Toegestaan Normaal 0,59
1033 Dimethylether 15,5
13,8
12,0
10,6
Toegestaan Normaal 0,58
1036 Ethylamine 7,0
7,0
7,0
7,0
Toegestaan Normaal 0,61
1037 Ethylchloride 7,0
7,0
7,0
7,0
Toegestaan Normaal 0,80
1040 Ethyleenoxide met stikstof
tot een totale druk
van 1MPa (10 bar)
bij 50 °C
-
-
-
10,0
Niet toegestaan Zie 6.7.3.7.3 0,78
1041 Mengsel van ethyleen-oxide
en kooldioxide met meer
dan 9%, maar ten
hoogste 87% ethyleenoxide
Zie definitie van MAWP in 6.7.3.1 Toegestaan Normaal zie 4.2.2.7
1055 Isobuteen 8,1
7,0
7,0
7,0
Toegestaan Normaal 0,52
1060 Mengsel van methylace-tyleen
en propadieen, gestabiliseerd
28,0
24,5
22,0
20,0
Toegestaan Normaal 0,43
1061 Methylamine, watervrij 10,8
9,6
7,8
7,0
Toegestaan Normaal 0,58
1062 Methylbromide met ten
hoogste 2% chloorpikrine
7,0
7,0
7,0
7,0
Niet toegestaan Zie  6.7.3.7.3 1,51
1063 Methylchloride
(Koelgas R 40)
14,5
12,7
11,3
10,0
Toegestaan Normaal 0,81
1064 Methylmercaptaan 7,0
7,0
7,0
7,0
Niet toegestaan Zie  6.7.3.7.3 0,78
1067 Distikstoftetroxide 7,0
7,0
7,0
7,0
Niet toegestaan Zie  6.7.3.7.3 1,30
1075 Petroleumgassen,
vloeibaar gemaakt
Zie definitie van MAWP in 6.7.3.1 Toegestaan Normaal Zie 4.2.2.7
1077 Propeen 28,0
24,5
22,0
20,0
Toegestaan Normaal 0,43
1078 Koelgas, n.e.g. Zie definitie van MAWP in 6.7.3.1 Toegestaan Normaal Zie 4.2.2.7
1079 Zwaveldioxide 11,6
10,3
8,5
7,6
Niet toegestaan Zie  6.7.3.7.3 1,23
1082 Chloortrifluorethyleen, gestabiliseerd 17,0
15,0
13,1
11,6
Niet toegestaan Zie  6.7.3.7.3 1,13
1083 Trimethylamine, watervrij 7,0
7,0
7,0
7,0
Toegestaan Normaal 0,56
1085 Vinylbromide,
gestabiliseerd
7,0
7,0
7,0
7,0
Toegestaan Normaal 1,37
1086 Vinylchloride,
gestabiliseerd
10,6
9,3
8,0
7,0
Toegestaan Normaal 0,81
1087 Vinylmethylether,
gestabiliseerd
7,0
7,0
7,0
7,0
Toegestaan Normaal 0,67
1581 Mengsel van chloorpikrine en methylbromide met
meer dan 2% chloorpikrine
7,0
7,0
7,0
7,0
Niet toegestaan Zie  6.7.3.7.3 1,51
1582 Mengsel van chloorpikrine en methylchloride 19,2
16,9
15,1
13,1
Niet toegestaan Zie  6.7.3.7.3 0,81
1858 Hexafluorpropeen
(Koelgas R 1216)
19,2
16,9
15,1
13,1
Toegestaan Normaal 1,11
1912 Mengsel van methylchloride
en methyleenchloride
15,2
13,0
11,6
10,1
Toegestaan Normaal 0,81
1958 1,2-Dichloor-1,1,2,2- tetrafluorethaan
(Koelgas R 114)
7,0
7,0
7,0
7,0
Toegestaan Normaal 1,30
1965 Mengsel van
koolwaterstofgassen,
vloeibaar gemaakt, n.e.g.
Zie definitie van MAWP in 6.7.3.1 Toegestaan Normaal Zie 4.2.2.7
1969 Isobutaan 8,5
7,5
7,0
7,0
Toegestaan Normaal 0,49
1973 Mengsel van chloor- difluormethaan en chloorpentafluorethaan,
met een vast kookpunt,
dat ca. 49% chloor- difluormethaan bevat
(Koelgas R 502)
28,3
25,3
22,8
20,3
Toegestaan Normaal 1,05
1974 Broomchloordifluor-methaan
(Koelgas R 12B1)
7,4
7,0
7,0
7,0
Toegestaan Normaal 1,61
1976 Octafluorcyclobutaan
(Koelgas RC 318)
8,8
7,8
7,0
7,0
Toegestaan Normaal 1,34
1978 Propaan 22,5
20,4
18,0
16,5
Toegestaan Normaal 0,42
1983 1-Chloor-2,2,2-
trifluorethaan
(Koelgas R 133a)
7,0
7,0
7,0
7,0
Toegestaan Normaal 1,18
2035 1,1,1-Trifluorethaan
(Koelgas R 143a)
31,0
27,5
24,2
21,8
Toegestaan Normaal 0,76
2424 Octafluorpropaan
(Koelgas R 218)
23,1
20,8
18,6
16,6
Toegestaan Normaal 1,07
2517 1-Chloor-1,1- difluorethaan
(Koelgas R 142b)
8,9
7,8
7,0
7,0
Toegestaan Normaal 0,99
2602 Dichloordifluormethaan
en 1,1-difluorethaan, azeotropisch mengsel dat ca.74%
dichloordifluor-methaan
bevat (Koelgas R 500)
20,0
18,0
16,0
14,5
Toegestaan Normaal 1,01
3057 Trifluoracetylchloride 14,6
12,9
11,3
9,9
Niet toegestaan 6.7.3.7.3 1,17
3070

Mengsel van ethyleen-
oxide en dichloordifluor-methaan, dat ten hoogste 12,5% ethyleenoxide
bevat

14,0
12,0
11,0
9,0
Toegestaan 6.7.3.7.3 1,09
3153 Perfluor(methylvinyl)ether 14,3
13,4
11,2
10,2
Toegestaan Normaal 1,14
3159 1,1,1,2-Tetrafluorethaan
(Koelgas R 134a)
17,7
15,7
13,8
12,1
Toegestaan Normaal 1,04
3161 Vloeibaar gemaakt gas, brandbaar, n.e.g. Zie
definitie van MAWP
in 6.7.3.1
Toegestaan Normaal Zie 4.2.2.7
3163 Vloeibaar gemaakt gas,
n.e.g.
Zie
definitie van MAWP in 6.7.3.1
Toegestaan Normaal Zie 4.2.2.7
3220 Pentafluorethaan
(Koelgas R 125)
34,4
30,8
27,5
24,5
Toegestaan Normaal 0,87
3252 Difluormethaan
(Koelgas R 32)
43,0
39,0
34,4
30,5
Toegestaan Normaal 0,78
3296 Heptafluorpropaan
(Koelgas R 227)
16,0
14,0
12,5
11,0
Toegestaan Normaal 1,20
3297 Mengsel van ethyleen-
oxide en chloortetra- fluorethaan,
dat ten hoogste 8,8% ethyleenoxide bevat
8,1
7,0
7,0
7,0
Toegestaan Normaal 1,16
3298

Mengsel van
ethyleen-oxide en
pentafluor-ethaan, dat ten hoogste 7,9%
ethyleenoxide bevat

25,9
23,4
20,9
18,6
Toegestaan Normaal 1,02
3299 Mengsel van ethyleen-
oxide en tetra-
fluorethaan dat ten
hoogste 5,6%
ethyleenoxide bevat
16,7
14,7
12,9
11,2
Toegestaan Normaal 1,03
3318 Ammoniak, oplossing in water, relatieve dichtheid bij 15 oC
lager dan 0,880, met meer
dan 50% ammoniak
Zie definitie van MAWP in 6.7.3.1 Toegestaan Zie  6.7.3.7.3 Zie 4.2.2.7
3337 Koelgas R 404A 31,6
28,3
25,3
22,5
Toegestaan Normaal 0,84
3338 Koelgas R 407A 31,3
28,1
25,1
22,4
Toegestaan Normaal 0,95
3339 Koelgas R 407B 33,0
29,6
26,5
23,6
Toegestaan Normaal 0,95
3340 Koelgas R 407C 29,9
26,8
23,9
21,3
Toegestaan Normaal 0,95
3500 Chemische stof onder druk,
n.e.g.
Zie definitie van MAWP in 6.7.3.1 Toegestaan Zie  6.7.3.7.3 TP 4c
3501 Chemische stof onder druk, brandbaar, n.e.g. Zie definitie van MAWP in 6.7.3.1 Toegestaan Zie  6.7.3.7.3 TP 4c
3502 Chemische stof onder druk,
giftig, n.e.g.
Zie definitie van MAWP in 6.7.3.1 Toegestaan Zie  6.7.3.7.3 TP 4c
3503 Chemische stof onder druk, bijtend, n.e.g. Zie definitie van MAWP in 6.7.3.1 Toegestaan Zie  6.7.3.7.3 TP 4c
3504 Chemische stof onder druk, brandbaar, giftig, n.e.g. Zie definitie van MAWP in 6.7.3.1 Toegestaan Zie  6.7.3.7.3 TP 4c
3505 Chemische stof onder druk, brandbaar, bijtend, n.e.g. Zie definitie van MAWP in 6.7.3.1 Toegestaan Zie  6.7.3.7.3 TP 4c

 

a "Klein" heeft betrekking op tanks die een reservoir hebben met een diameter of 1,5 m of minder;

"Zonder zonneschild of isolatie" heeft betrekking op tanks die een reservoir hebben met een diameter van meer dan 1,5 m zonder isolatie of zonneschild (zie 6.7.3.2.12);

"Zonneschild" heeft betrekking op tanks die een reservoir hebben met een diameter van meer dan 1,5 m met een zonneschild (zie 6.7.3.2.12);

"Geïsoleerd" heeft betrekking op tanks die een reservoir hebben met een diameter van meer dan 1,5 m met isolatie (zie 6.7.3.2.12); (Zie de definitie van "Ontwerpreferentietemperatuur" in 6.7.3.1).

b Het woord "Normaal" in de kolom “Drukontlastingsinrichtingen” geeft aan dat een breekplaat, zoals gespecificeerd in 6.7.3.7.3, niet is vereist.

c Voor UN-nummers 3500, 3501, 3502, 3503, 3504 en 3505 moet het vullingspercentage in plaats van de maximale vulverhouding in aanmerking worden genomen.


T-75

4.2.5.2.6 : Transportinstructies T75

TRANSPORTTANK-INSTRUCTIE

T75

Deze transporttank-instructie is van toepassing op sterk gekoelde, vloeibaar gemaakte gassen. Aan de algemene voorschriften van sectie 4.2.3 en de voorschriften van sectie 6.7.4 moet worden voldaan.

 

 

 

 

4.2.5.3

Bijzondere bepalingen voor transporttanks
Bijzondere bepalingen voor transporttanks worden toegekend aan bepaalde stoffen om voorschriften aan te geven die moeten worden toegepast in aanvulling op of in plaats van die welke worden verschaft door de transporttank-instructies of de voorschriften in hoofdstuk 6.7.

Bijzondere bepalingen voor transporttanks worden aangegeven met een alfanumerieke code beginnend met de letters “TP” ("tank provision") en worden toegekend aan specifieke stoffen in kolom (11) van tabel A van hoofdstuk 3.2.

TP-01

4.2.5.3 - Bepaling TP 1

De in 4.2.1.9.2 voorgeschreven vullingsgraad mag niet worden overschreden.

4.2.5.3 TP01

 


TP-02

Bepaling TP 02

De in 4.2.1.9.3 voorgeschreven vullingsgraad mag niet worden overschreden.

4.2.5.3 TP02


TP-03

Bepaling TP 03

De maximale vullingsgraad (in %) voor vaste stoffen die bij temperaturen boven hun smeltpunt
worden vervoerd en voor verwarmde vloeistoffen moet worden vastgesteld in overeenstemming met 4.2.1.9.5.

4.2.5.3 TP03


TP-04

Bepaling TP 04

De vullingsgraad voor transporttanks mag niet hoger zijn dan 90% of, in plaats daarvan, een
andere waarde die door de bevoegde autoriteit is goedgekeurd (zie 4.2.1.16.2).

 


TP-05

Bepaling TP 05

Aan de vulbeperkingen, voorgeschreven in 4.2.3.6, moet worden voldaan.

 


TP-06

Bepaling TP 06

Om te bereiken dat de tank in geen geval, ook niet bij aanwezigheid van de tank in een brandhaard, open barst, moet de tank voorzien zijn van drukontlastingsinrichtingen die zijn afgestemd op de grootte van de tank en op de aard van de vervoerde stof. Ook moeten de inrichtingen inert ten opzichte van de stof zijn.


TP-07

Bepaling TP 07

Lucht moet met behulp van stikstof of met andere middelen uit de dampruimte worden verwijderd.


TP-08

Bepaling TP 08

De beproevingsdruk mag tot 1,5 bar worden verlaagd als het vlampunt van de vervoerde stoffen hoger dan 0o C is.


TP-09

Bepaling TP 09

Een stof die onder deze omschrijving valt, mag alleen in een transporttank worden vervoerd na goedkeuring van de bevoegde autoriteit.


TP-10

Bepaling TP 10

Een loden bekleding met een dikte van ten minste 5 mm, die jaarlijks moet worden beproefd, of een ander geschikt bekledingsmateriaal, goedgekeurd door de bevoegde autoriteit, is vereist. Een transporttank mag ten vervoer worden aangeboden binnen een termijn van ten hoogste 3 maanden na het verstrijken van de termijn vastgesteld voor de laatste inspectie van de bekleding, na lediging maar vóór reiniging, teneinde de volgende vereiste beproeving of inspectie te ondergaan, voorafgaand aan het opnieuw vullen.


TP-11

Bepaling TP 11

Gereserveerd


TP-12

Bepaling TP 12

Geschrapt


TP-13

Bepaling TP 13

Gereserveerd


TP-14

Bepaling TP 14

Gereserveerd


TP-15

Bepaling TP 15

Gereserveerd


TP-16

Bepaling TP 16

De tank moet voorzien zijn van een speciale inrichting die onder normale vervoersomstandigheden onderdruk en overdruk voorkomt. Deze inrichting moet door de bevoegde autoriteit goedgekeurd zijn. De voorschriften met betrekking tot drukontlastingsinrichtingen zoals aangegeven in 6.7.2.8.3 zijn ter voorkoming van kristallisatie van het product in de drukontlastingsinrichting.


TP-17

Bepaling TP 17

Voor de thermische isolatie van de tank mag alleen gebruik worden gemaakt van anorganische, niet brandbare materialen.


TP-18

Bepaling TP 18

De temperatuur moet tussen 18o C en 40o C worden gehouden. Transporttanks die gestold methacrylzuur bevatten, mogen tijdens vervoer niet opnieuw worden verwarmd.


TP-19

Bepaling TP 19

Tijdens de bouw moet de minimale wanddikte van het reservoir zoals bepaald in 6.7.3.4 met 3 mm worden verhoogd om ruimte te bieden voor corrosie.

De wanddikte van het reservoir moet halverwege de tijdsduur tussen twee periodieke hydraulische proefpersingen ultrasoon worden gecontroleerd, en mag nooit minder zijn dan de minimum wanddikte als vastgesteld in overeenstemming met 6.7.3.4.


TP-20

Bepaling TP 20

Deze stof mag alleen onder een stikstof deken in geïsoleerde tanks worden vervoerd.


TP-21

Bepaling TP 21

De wanddikte van het reservoir moet ten minste 8 mm zijn. Tanks moeten hydraulisch worden beproefd en inwendig geïnspecteerd met tussenpozen van ten hoogste 2,5 jaar.


TP-22

Bepaling TP 22

Smeermiddelen voor scharnieren of andere voorzieningen moeten ten opzichte van zuurstof inert zijn.


TP-23

Bepaling TP 23

Geschrapt


TP-24

Bepaling TP 24

De transporttank mag uitgerust zijn met een inrichting die zich bij maximale vulling in de dampruimte van de tank bevindt, ter voorkoming van een opbouw van overdruk vanwege de langzame ontleding van de vervoerde stof.

Deze inrichting moet ook verhinderen dat een ontoelaatbare hoeveelheid vloeistof weglekt in geval van kantelen of dat vreemde stoffen in de tank komen.

Deze inrichting moet door de bevoegde autoriteit of een door haar aangewezen instantie worden goedgekeurd.


TP-25

Bepaling TP 25

Zwaveltrioxide, ten minste 99,95% zuiver, mag zonder inhibitor in tanks vervoerd worden, onder voorwaarde dat het op een temperatuur van 32,5o C of hoger wordt gehouden.


TP-26

Bepaling TP 26

Wanneer het vervoer verwarmd plaats vindt, moet de verwarmingsvoorziening buiten het reservoir zijn aangebracht. Voor UN 3176 (1,2) geldt deze bepaling alleen wanneer de stof op gevaarlijke wijze met water reageert.


TP-27

Bepaling TP 27

Er kan van een transporttank met een minimale beproevingsdruk van 4 bar gebruik worden gemaakt indien wordt aangetoond dat volgens de definitie van beproevingsdruk in 6.7.2.1 een beproevingsdruk van 4 bar of minder aanvaardbaar is.

 


TP-28

Bepaling TP 28

Er kan van een transporttank met een minimale beproevingsdruk van 2,65 bar gebruik worden gemaakt indien wordt aangetoond dat volgens de definitie van beproevingsdruk in 6.7.2.1 een beproevingsdruk van 2,65 bar of minder aanvaardbaar is.


TP-29

Bepaling TP 29

Er kan van een transporttank met een minimale beproevingsdruk van 1,5 bar gebruik worden gemaakt indien wordt aangetoond dat volgens de definitie van beproevingsdruk in 6.7.2.1 een beproevingsdruk van 1,5 bar of minder aanvaardbaar is.


TP-30

Bepaling TP 30

Deze stof moet in geïsoleerde tanks worden vervoerd.


TP-31

Bepaling TP 31

Deze stof mag alleen in tanks worden vervoerd in de vaste toestand.


TP-32

Bepaling TP 32

Voor de UN-nummers 0331, 0332 en 3375 mogen transporttanks worden gebruikt, onder de volgende voorwaarden:

  1. Teneinde onnodige opsluiting te vermijden, moet elke van metaal of vezelgewapende kunststof vervaardigde transporttank zijn voorzien van een zelfsluitende, veerbelaste drukontlastingsinrichting, een breekplaat of een smeltveiligheid. De ingestelde aanspreekdruk of barstdruk, voor zover van toepassing, mag niet hoger zijn dan 2,65 bar voor transporttanks met een minimale beproevingsdruk groter dan 4 bar.
  2. Uitsluitend voor UN 3375 moet de geschiktheid voor vervoer in tanks worden aangetoond. Eén methode om deze geschiktheid te beoordelen is beproeving 8 (d) in testserie 8 (zie het Handboek beproevingen en criteria, deel 1, subsectie 18.7).
  3. Stoffen mogen niet zodanig lang in de transporttank blijven dat stolling het gevolg kan zijn. Geschikte maatregelen moeten worden genomen om opeenhoping en afzetting van stoffen in de tank te vermijden (bijv. reiniging, enz.).

 


TP-33

Bepaling TP 33

De transporttank-instructie die aan deze stof is toegekend, is van toepassing op korrelige en poedervormige vaste stoffen en op vaste stoffen die worden gevuld en gelost bij temperaturen boven hun smeltpunt maar die worden afgekoeld en vervoerd als een vaste massa.

Voor vaste stoffen die worden vervoerd bij temperaturen boven hun smeltpunt, zie 4.2.1.19.

 


TP-34

Bepaling TP 34

Transporttanks behoeven niet te worden onderworpen aan de oploopproef in 6.7.4.14.1 indien de transporttank op de in 6.7.4.15.1 gespecificeerde plaat en ook in letters van ten minste 10 cm hoog op beide zijden van de buitenmantel wordt gemerkt met "NIET TOEGESTAAN VOOR VERVOER PER SPOOR".


TP-35

Bepaling TP 35

Geschrapt


TP-36

Bepaling TP 36

Op transporttanks mogen smeltelementen in de dampruimte worden gebruikt.

 


TP-37

Bepaling TP 37

Geschrapt

 


TP-38

Bepaling TP 38

Geschrapt


TP-39

Bepaling TP 39

Geschrapt


TP-40

Bepaling TP 40

Transporttanks mogen niet worden vervoerd wanneer zij zijn verbonden met spuitapparatuur.


TP-41

Bepaling TP 41

Met instemming van de bevoegde autoriteit mag de interne inspectie na 2,5 jaar achterwege blijven of worden vervangen door andere beproevingsmethoden of inspectieprocedures, onder voorwaarde dat de transporttank speciaal is bestemd voor het vervoer van de metaalorganische stoffen waaraan deze bijzondere bepaling voor transporttanks is toegewezen.

Deze inspectie is echter wel verplicht als aan de voorwaarden van 6.7.2.19.7 wordt voldaan.


TP-42

Bepaling TP 42

Transporttanks zijn niet toegestaan voor het vervoer van cesium- of rubidiumdispersies.